Cardiorespiratory Fitness without Exercise Testing Can Predict All-Cause Mortality Risk in a Representative Sample of Korean Older Adults
Abstract
1. Introduction
2. Materials and Methods
2.1. Study Design and Participants
2.2. Study Variables
2.2.1. Determination of CRF without Exercise Testing
2.2.2. Determination of All-Cause Mortality
2.2.3. Determination of Covariates
2.3. Statistical Analyses
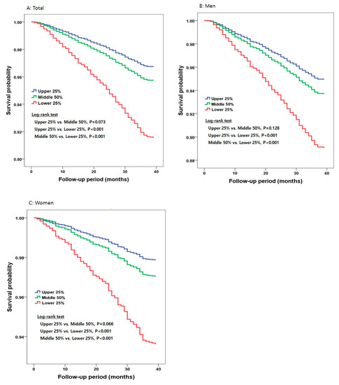
3. Results
4. Discussion
5. Conclusions
Author Contributions
Funding
Conflicts of Interest
References
- Kampert, J.B.; Blair, S.N.; Barlow, C.E.; Kohl, H.W., 3rd. Physical activity, physical fitness, and all-cause and cancer mortality: A prospective study of men and women. Ann. Epidemiol. 1996, 6, 452–457. [Google Scholar] [CrossRef]
- Zhang, P.; Sui, X.; Hand, G.A.; Hebert, J.R.; Blair, S.N. Association of changes in fitness and body composition with cancer mortality in men. Med. Sci. Sports Exerc. 2014, 46, 1366–1374. [Google Scholar] [CrossRef] [PubMed]
- Barry, V.W.; Baruth, M.; Beets, M.W.; Durstine, J.L.; Liu, L.; Blair, S.N. Fitness vs fatness on all-cause mortality: A meta-analysis. Prog. Cardiovasc. Dis. 2014, 56, 382–390. [Google Scholar] [CrossRef]
- Lee, D.C.; Artero, E.G.; Sui, X.; Blair, S.N. Mortality trends in the general population: The importance of cardiorespiratory fitness. J. Psychopharmacol. 2010, 24, 27–35. [Google Scholar] [CrossRef] [PubMed]
- Jensen, M.T.; Holtermann, A.; Bay, H.; Gyntelberg, F. Cardiorespiratory fitness and death from cancer: A 42-year follow-up from the Copenhagen Male Study. Br. J. Sports Med. 2017, 51, 1364–1369. [Google Scholar] [CrossRef]
- Al-Mallah, M.H.; Sakr, S.; Al-Qunaibet, A. Cardiorespiratory fitness and cardiovascular disease prevention: An update. Curr. Atheroscler. Rep. 2018, 20, 1. [Google Scholar] [CrossRef] [PubMed]
- Wang, Y.; Chen, S.; Zhang, J.; Zhang, Y.; Ernstsen, L.; Lavie, C.J.; Hooker, S.P.; Chen, Y.; Sui, X. Nonexercise estimated cardiorespiratory fitness and all-cancer mortality: The NHANES III Study. Mayo Clin. Proc. 2018, 93, 848–856. [Google Scholar] [CrossRef] [PubMed]
- Maranhão Neto, G.A.; de Leon, A.P.; Lira, V.A.; Farinatti, P.T. Assessment of cardiorespiratory fitness without exercise in elderly men with chronic cardiovascular and metabolic diseases. J. Aging Res. 2012, 2012, 518045. [Google Scholar] [CrossRef]
- Heil, D.P.; Freedson, P.S.; Ahlquist, L.E.; Price, J.; Rippe, J.M. Nonexercise regression models to estimate peak oxygen consumption. Med. Sci. Sports Exer. 1995, 27, 599–606. [Google Scholar] [CrossRef]
- Addoh, O.; Edwards, M.K.; Loprinzi, P.D. Predictive validity of a medical-related cardiorespiratory fitness algorithm in predicting cardiovascular disease and all-cause mortality: Implications for integration into clinical practice. Mayo Clin. Proc. 2016, 91, 1320–1321. [Google Scholar] [CrossRef] [PubMed]
- Artero, E.G.; Jackson, A.S.; Sui, X.; Lee, D.C.; O’Connor, D.P.; Lavie, C.J.; Church, T.S.; Blair, S.N. Longitudinal algorithms to estimate cardiorespiratory fitness: Associations with nonfatal cardiovascular disease and disease-specific mortality. J. Am. Coll. Cardiol. 2014, 63, 2289–2296. [Google Scholar] [CrossRef]
- Martinez-Gomez, D.; Guallar-Castillon, P.; Hallal, P.C.; Lopez-Garcia, E.; Rodriguez-Artalejo, F. Nonexercise cardiorespiratory fitness and mortality in older adults. Med. Sci. Sports Exerc. 2015, 47, 568–574. [Google Scholar] [CrossRef]
- Berlin, J.A.; Colditz, G.A. A meta-analysis of physical activity in the prevention of coronary heart disease. Am. J. Epidemiol. 1990, 132, 612–628. [Google Scholar] [CrossRef]
- Cress, M.E.; Meyer, M. Maximal voluntary and functional performance levels needed for independence in adults aged 65 to 97 years. Phys. Ther. 2003, 83, 37–48. [Google Scholar]
- Park, S.H.; Kim, D.; Cho, J.; Jin, Y.; Lee, I.; Lee, K.; Kang, H. Depressive symptoms and all-cause mortality in Korean older adults: A 3-year population-based prospective study. Geriatr. Gerontol. Int. 2018, 18, 950–956. [Google Scholar] [CrossRef]
- Jackson, A.S.; Blair, S.N.; Mahar, M.T.; Wier, L.T.; Ross, R.M.; Stuteville, J.E. Prediction of functional aerobic capacity without exercise testing. Med. Sci. Sports Exerc. 1990, 22, 863–870. [Google Scholar] [CrossRef]
- Ross, R.M.; Jackson, A.S. Exercise Concepts, Calculations, and Computer Applications; Benchmark Press: Carmel, IN, USA, 1990; pp. 95–109. [Google Scholar]
- Cho, J.; Lee, I.; Park, S.; Jin, Y.; Kim, D.; Kim, S.; Kangm, H. Physical activity and all-cause mortality in Korean older adults. Ann. Hum. Biol. 2018, 45, 337–345. [Google Scholar] [CrossRef]
- Posner, B.M.; Jette, A.M.; Smith, K.W.; Miller, D.R. Nutrition and health risks in the elderly: The nutrition screening initiative. Am. J. Public Health 1993, 83, 972–978. [Google Scholar] [CrossRef]
- Fried, L.P.; Tangen, C.M.; Walston, J.; Newman, A.B.; Hirsch, C.; Gottdiener, J.; Seeman, T.; Tracy, R.; Kop, W.J.; Burke, G.; et al. Cardiovascular Health Study Collaborative Research Group. Frailty in older adults: Evidence for a phenotype. J. Gerontol. A Biol. Sci. Med. Sci. 2001, 56, M146–M156. [Google Scholar] [CrossRef]
- Lee, D.Y.; Lee, K.U.; Lee, J.H.; Kim, K.W.; Jhoo, J.H.; Youn, J.C.; Kim, S.Y.; Woo, S.I.; Woo, J.I. A normative study of the mini-mental state examination in the Korean elderly. J. Korean Neuropsychiatr. Assoc. 2002, 41, 508–525. [Google Scholar]
- Cho, M.J.; Bae, J.N.; Suh, G.H.; Hahm, B.J.; Kim, J.K.; Lee, D.W.; Kang, M.H. Validation of geriatric depression scale, Korean version (GDS) in the assessment of DSM-Ⅲ-R major depression. J. Korean Neuropsychiatr. Assoc. 1999, 38, 48–62. [Google Scholar]
- Zhang, Y.; Zhang, J.; Zhou, J.; Ernstsen, L.; Lavie, C.J.; Hooker, S.P.; Sui, X. Nonexercise estimated cardiorespiratory fitness and mortality due to all causes and cardiovascular disease: The NHANES III Study. Mayo Clin. Proc. 2017, 1, 16–25. [Google Scholar]
- Stamatakis, E.; Hamer, M.; O’Donovan, G.; Batty, G.D.; Kivimaki, M. A non-exercise testing method for estimating cardiorespiratory fitness: Associations with all-cause and cardiovascular mortality in a pooled analysis of eight population-based cohorts. Eur. Heart J. 2013, 34, 750–758. [Google Scholar] [CrossRef]
- Holtermann, A.; Marott, J.L.; Gyntelberg, F.; Søgaard, K.; Mortensen, O.S.; Prescott, E.; Schnohr, P. Self-reported cardiorespiratory fitness: Prediction and classification of risk of cardiovascular disease mortality and longevity—A prospective investigation in the Copenhagen City Heart Study. J. Am. Heart Assoc. 2015, 4, e001495. [Google Scholar] [CrossRef]
- Nes, B.M.; Vatten, L.J.; Nauman, J.; Janszky, I.; Wisløff, U. A simple nonexercise model of cardiorespiratory fitness predicts long-term mortality. Med. Sci. Sports Exerc. 2014, 46, 1159–1165. [Google Scholar] [CrossRef]
- Nes, B.M.; Janszky, I.; Vatten, L.J.; Nilsen, T.I.L.; Aspenes, S.T.; Wisløff, U. Estimating VO2peak from a non-exercise prediction model; The HUNT Study. Norway Med. Sci. Sports Exerc. 2011, 43, 2024–2030. [Google Scholar] [CrossRef]
- Jackson, A.S.; Sui, X.; O’Connor, D.P.; Church, T.S.; Lee, D.C.; Artero, E.G.; Blair, S.N. Longitudinal cardiorespiratory fitness algorithms for clinical settings. Am. J. Prev. Med. 2012, 43, 512–519. [Google Scholar] [CrossRef]
- Fagard, R.H. Exercise is good for your blood pressure: Effects of endurance training and resistance training. Clin. Exp. Pharmacol. Physiol. 2006, 33, 853–856. [Google Scholar] [CrossRef]
- Auchincloss, A.H.; Diez Roux, A.V.; Brown, D.G.; Erdmann, C.A.; Bertoni, A.G. Neighborhood resources for physical activity and healthy foods and their association with insulin resistance. Epidemiology 2008, 19, 146–157. [Google Scholar] [CrossRef]
- Dutheil, F.; Walther, G.; Chapier, R.; Mnatzaganian, G.; Lesourd, B.; Naughton, G.; Verney, J.; Fogli, A.; Sapin, V.; Duclos, M.; et al. Atherogenic subfractions of lipoproteins in the treatment of metabolic syndrome by physical activity and diet—The RESOLVE trial. Lipids Health Dis. 2014, 13, 112. [Google Scholar] [CrossRef]
- Bird, S.R.; Hawley, J.A. Update on the effects of physical activity on insulin sensitivity in humans. BMJ Open Sport Exerc. Med. 2017, 2, e000143. [Google Scholar] [CrossRef]
- Lanier, J.B.; Bury, D.C.; Richardson, S.W. Diet and physical activity for cardiovascular disease prevention. Am. Fam. Physician 2016, 93, 919–924. [Google Scholar]
- Romeo, J.; Wärnberg, J.; Pozo, T.; Marcos, A. Physical activity, immunity and infection. Proc. Nutr. Soc. 2010, 69, 390–399. [Google Scholar] [CrossRef]
- Swift, D.L.; Johannsen, N.M.; Lavie, C.J.; Earnest, C.P.; Church, T.S. The role of exercise and physical activity in weight loss and maintenance. Prog. Cardiovasc. Dis. 2014, 56, 441–447. [Google Scholar] [CrossRef]
- Tettero, O.M.; Aronson, T.; Wolf, R.J.; Nuijten, M.A.H.; Hopman, M.T.E.; Janssen, I.M.C. Increase in physical activity after bariatric surgery demonstrates improvement in weight loss and cardiorespiratory fitness. Obes. Surg. 2018, 28, 3950–3957. [Google Scholar] [CrossRef]
- Umegaki, H.; Makino, T.; Uemura, K.; Shimada, H.; Cheng, X.W.; Kuzuya, M. Objectively measured physical activity and cognitive function in urban-dwelling older adults. Geriatr. Gerontol. Int. 2018, 18, 922–928. [Google Scholar] [CrossRef]
- Jackson, A.S.; Sui, X.; Hébert, J.R.; Church, T.S.; Blair, S.N. Role of lifestyle and aging on the longitudinal change in cardiorespiratory fitness. Arch. Intern. Med. 2009, 169, 1781–1787. [Google Scholar] [CrossRef]

| eCRF | ||||||||||||
|---|---|---|---|---|---|---|---|---|---|---|---|---|
| Total (N = 14,122, 100%) | Men (N = 6105, 43.2%) | Women (N = 8017, 56.8%) | ||||||||||
| Lower (n = 3529) | Middle (n = 7063) | Upper (n = 3530) | p for Linear Trends | Lower (n = 1525) | Middle (n = 3054) | Upper (n = 1526) | p for Linear Trends | Lower (n = 2004) | Middle (n = 4009) | Upper (n = 2004) | p for Linear Trends | |
| Age (years) | 76.2 ± 7.1 | 68.3 ± 5.6 | 65.2 ± 4.5 | <0.001 | 74.8 ± 6.8 | 67.0 ± 5.0 | 65.4 ± 4.5 | <0.001 | 77.2. ± 7.1 | 69.2 ± 5.9 | 64.9 ± 4.4 | <0.001 |
| BMI (kg/m2) | 25.6 ± 3.5 | 23.5 ± 2.8 | 22.4 ± 2.9 | <0.001 | 24.8 ± 3.1 | 22.9 ± 2.6 | 22.6 ± 3.0 | <0.001 | 26.2 ± 3.7 | 24.0 ± 2.9 | 22.3 ± 2.9 | <0.001 |
| PAR (score) | 0.77 ± 0.53 | 1.26 ± 0.87 | 3.88 ± 2.25 | <0.001 | 0.88 ± 0.54 | 1.47 ± 1.01 | 5.09 ± 1.98 | <0.001 | 0.69 ± 0.51 | 1.11 ± 0.72 | 2.97 ± 2.00 | <0.001 |
| Estimated VO2 (mL·min−1·kg−1) | 14.3 ± 7.0 | 19.8 ± 6.8 | 26.8 ± 7.9 | <0.001 | 21.8 ± 2.2 | 27.3 ± 1.8 | 35.2 ± 3.0 | <0.001 | 8.5 ± 2.1 | 14.1 ± 1.6 | 20.5 ± 3.2 | <0.001 |
| Parameters of health behaviors | ||||||||||||
| Education (years) | 5.0 ± 4.9 | 6.5 ± 4.7 | 7.9 ± 4.7 | <0.001 | 7.6 ± 4.9 | 8.7 ± 4.4 | 9.6 ± 4.3 | <0.001 | 3.0 ± 3.8 | 4.9 ± 4.2 | 6.6 ± 4.5 | <0.001 |
| Income (1000 won) | 1410.9 ± 2151.8 | 1559.0 ± 1637.1 | 1846.5 ± 2058.3 | <0.001 | 1541.7 ± 2207.3 | 1793.6 ± 1763.5 | 2142.5 ± 2475.1 | <0.001 | 1311.4 ± 2103.6 | 1380.3 ± 1509.8 | 1621.2 ± 1637.9 | <0.001 |
| Solitary (%) | 831 (23.6) | 1118 (15.8) | 375 (10.6) | <0.001 | 129 (8.5) | 157 (5.1) | 62 (4.1) | <0.001 | 702 (35.0) | 961 (24.0) | 313 (15.6) | <0.001 |
| Nutritional risk (%) | 2013 (57.1) | 3085 (43.7) | 1249 (35.4) | <0.001 | 778 (51.0) | 1179 (38.6) | 464 (30.4) | <0.001 | 1235 (61.6) | 1905 (47.5) | 785 (39.2) | <0.001 |
| Smoking (%) | 1227 (34.8) | 2507 (35.5) | 1200 (34.0) | 0.489 | 1028 (67.4) | 2276 (74.5) | 1102 (72.2) | 0.003 | 199 (9.9) | 231 (5.8) | 97 (4.8) | <0.001 |
| Alcohol intake (%) | 494 (14.0) | 1265 (17.9) | 669 (19.0) | <0.001 | 406 (26.6) | 1090 (35.7) | 561 (36.8) | <0.001 | 88 (4.4) | 175 (4.4) | 108 (5.4) | 0.133 |
| Parameters of health conditions | ||||||||||||
| Frailty (%) | 340 (14.5) | 287 (5.4) | 45 (1.6) | <0.001 | 152 (14.1) | 114 (4.8) | 12 (0.9) | <0.001 | 188 (14.8) | 174 (5.9) | 33 (2.1) | <0.001 |
| Impaired ADL (%) | 482 (13.7) | 443 (6.3) | 111 (3.1) | <0.001 | 194 (12.7) | 152 (5.0) | 51 (3.3) | <0.001 | 289 (14.4) | 290 (7.2) | 60 (3.0) | <0.001 |
| Hospitalization (%) | 561 (15.9) | 874 (12.4) | 363 (10.3) | <0.001 | 232 (15.2) | 377 (12.3) | 118 (7.7) | <0.001 | 328 (16.4) | 497 (12.4) | 245 (12.2) | <0.001 |
| Falling (%) | 682 (19.3) | 981 (13.9) | 372 (10.5) | <0.001 | 203 (13.3) | 296 (9.7) | 106 (6.9) | <0.001 | 479 (23.9) | 685 (17.1) | 266 (13.3) | <0.001 |
| Impaired cognition (%) | 889 (26.5) | 1440 (21.4) | 646 (19.1) | <0.001 | 481 (33.2) | 694 (23.8) | 284 (19.5) | <0.001 | 408 (21.5) | 745 (19.6) | 362 (18.9) | 0.044 |
| Depressive symptoms (%) | 1303 (37.3) | 1715 (24.5) | 520 (14.8) | <0.001 | 462 (30.8) | 594 (19.6) | 153 (10.1) | <0.001 | 841 (42.3) | 1121 (28.2) | 367 (18.5) | <0.001 |
| Prevalence of chronic diseases | ||||||||||||
| Hypertension (%) | 2017 (57.2) | 2968 (42.0) | 1255 (35.6) | <0.001 | 777 (51.0) | 1137 (37.2) | 485 (31.8) | <0.001 | 1241 (61.9) | 1832 (45.7) | 769 (38.4) | <0.001 |
| Diabetes (%) | 659 (18.7) | 1099 (15.6) | 415 (11.8) | <0.001 | 269 (17.6) | 452 (14.8) | 158 (10.4) | <0.001 | 390 (19.5) | 647 (16.1) | 257 (12.8) | <0.001 |
| CAD (%) | 347 (9.8) | 489 (6.9) | 211 (6.0) | <0.001 | 135 (8.9) | 204 (6.7) | 85 (5.6) | <0.001 | 212 (10.6) | 284 (7.1) | 126 (6.3) | <0.001 |
| Stroke (%) | 279 (7.9) | 366 (5.2) | 112 (3.2) | <0.001 | 173 (11.3) | 187 (6.1) | 35 (2.3) | <0.001 | 107 (5.3) | 179 (4.5) | 77 (3.8) | 0.023 |
| Lung diseases (%) | 240 (6.8) | 338 (4.8) | 132 (3.7) | <0.001 | 128 (8.4) | 167 (5.5) | 76 (5.0) | <0.001 | 112 (5.6) | 172 (4.3) | 55 (2.7) | <0.001 |
| 3-Year Mortality Risk | 2-Year Mortality Risk | |||
|---|---|---|---|---|
| Model 1 | Model 2 | Model 1 | Model 2 | |
| Total (N = 14,122) | ||||
| Upper | 1 (reference) | 1 (reference) | 1 (reference) | 1 (reference) |
| Middle | 1.313 (1.048–1.645) | 1.059 (0.814–1.378) | 1.445 (1.106–1.889) | 1.189 (0.868–1.628) |
| Lower | 2.648 (2.121–3.307) | 1.714 (1.304–2.253) | 2.810 (2.156–3.663) | 1.883 (1.358–2.612) |
| p for linear trends | <0.001 | <0.001 | <0.001 | <0.001 |
| Men (N = 6105) | ||||
| Upper | 1 (reference) | 1 (reference) | 1 (reference) | 1 (reference) |
| Middle | 1.253 (0.936–1.676) | 1.011 (0.716–1.427) | 1.366 (0.969–1.926) | 1.084 (0.724–1.623) |
| Lower | 2.227 (1.673–2.967) | 1.566 (1.098–2.234) | 2.252 (1.601–3.168) | 1.653 (1.090–2.508) |
| p for linear trends | <0.001 | <0.001 | <0.001 | <0.001 |
| Women (N = 8017) | ||||
| Upper | 1 (reference) | 1 (reference) | 1 (reference) | 1 (reference) |
| Middle | 1.393 (0.976–1.989) | 1.064 (0.707–1.602) | 1.558 (1.106–2.390) | 1.274 (0.769–2.112) |
| Lower | 3.056 (2.151–4.343) | 1.599 (1.032–2.478) | 3.479 (2.281–5.306) | 1.865 (1.089–3.195) |
| p for linear trends | <0.001 | <0.001 | <0.001 | <0.001 |
© 2019 by the authors. Licensee MDPI, Basel, Switzerland. This article is an open access article distributed under the terms and conditions of the Creative Commons Attribution (CC BY) license (http://creativecommons.org/licenses/by/4.0/).
Share and Cite
Song, M.; Lee, I.; Kang, H. Cardiorespiratory Fitness without Exercise Testing Can Predict All-Cause Mortality Risk in a Representative Sample of Korean Older Adults. Int. J. Environ. Res. Public Health 2019, 16, 1633. https://doi.org/10.3390/ijerph16091633
Song M, Lee I, Kang H. Cardiorespiratory Fitness without Exercise Testing Can Predict All-Cause Mortality Risk in a Representative Sample of Korean Older Adults. International Journal of Environmental Research and Public Health. 2019; 16(9):1633. https://doi.org/10.3390/ijerph16091633
Chicago/Turabian StyleSong, Moongu, Inhwan Lee, and Hyunsik Kang. 2019. "Cardiorespiratory Fitness without Exercise Testing Can Predict All-Cause Mortality Risk in a Representative Sample of Korean Older Adults" International Journal of Environmental Research and Public Health 16, no. 9: 1633. https://doi.org/10.3390/ijerph16091633
APA StyleSong, M., Lee, I., & Kang, H. (2019). Cardiorespiratory Fitness without Exercise Testing Can Predict All-Cause Mortality Risk in a Representative Sample of Korean Older Adults. International Journal of Environmental Research and Public Health, 16(9), 1633. https://doi.org/10.3390/ijerph16091633

