Biodegradability of Trimethylbenzene Isomers under Denitrifying and Sulfate-Reducing Conditions
Abstract
1. Introduction
2. Materials and Methods
2.1. Site Description
2.2. Aquifer Material and Medium
2.3. Setup of the Microcosm Experiments
2.4. Setup of the Column Experiment
2.5. Analytics
2.6. Calculation of Degradation Rates
- A0 = initial molar concentration of reactant A (mol/L)
- A = molar concentration of reactant (mol/L)
- k = rate constant (s−1)
- t = time (s)
2.7. Calculation Mass Balance
3. Results and Discussion
3.1. Microcosm Experiments
3.1.1. Electron Acceptor Nitrate
3.1.2. Electron Acceptor Sulfate
3.2. Column Experiment
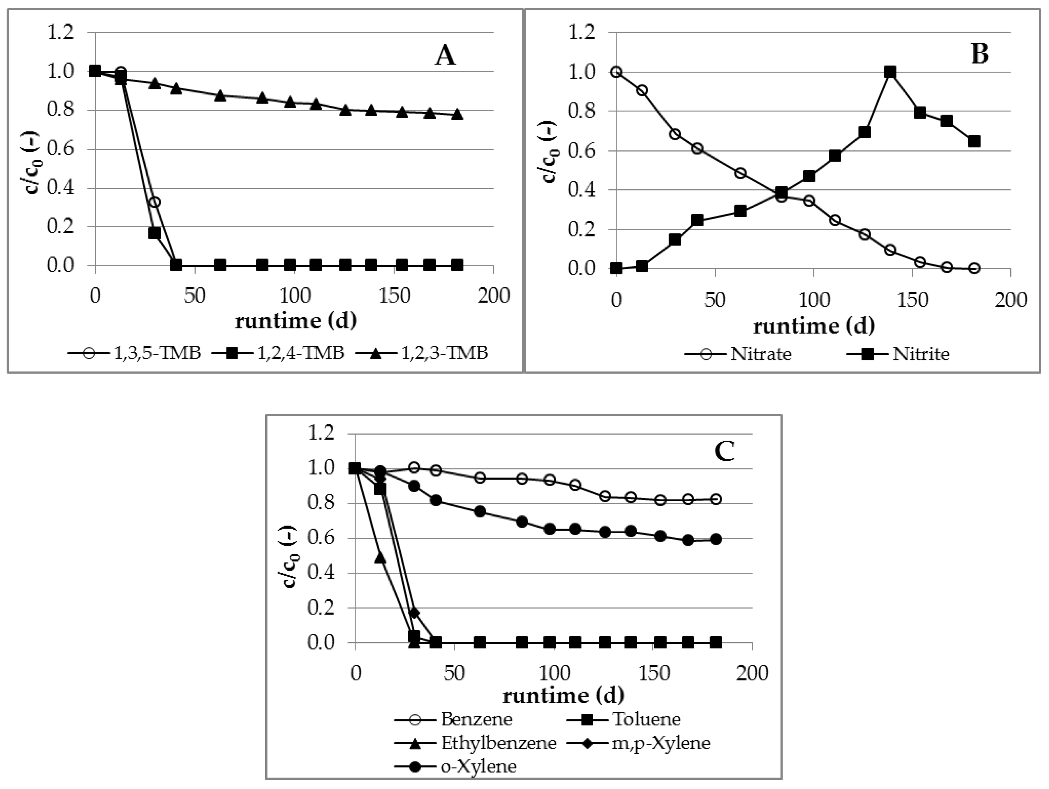
3.2.1. Biodegradation of TMB-Isomers
1,3,5-TMB—Electron Acceptor Nitrate (Experimental Phase 1 to 4)
1,3,5-TMB—Electron Acceptor Sulfate (Experimental Phase 5)
1,2,4-TMB—Electron Acceptor Nitrate (Experimental Phase 1 to 4)
1,2,4-TMB—Electron Acceptor Sulfate (Experimental Phase 5)
1,2,3-TMB—Electron Acceptor Nitrate (Experimental Phase 1 to 4)
1,2,3-TMB—Electron Acceptor Sulfate (Experimental Phase 5)
3.2.2. Biodegradation of BTEX
BTEX—Electron Acceptor Nitrate (Experimental Phase 1 to 4)
BTEX—Electron Acceptor Sulfate (Experimental Phase 5)
3.2.3. Degradation Rates
3.2.4. Ions
Nitrate and Nitrite
Sulfate
3.2.5. Mass Balance
4. Conclusions
Author Contributions
Funding
Acknowledgments
Conflicts of Interest
References
- Barbaro, J.R.; Butler, B.J.; Barker, J.F. Biotransformation of Gasoline-Contaminated Groundwater under Mixed Electron-Acceptor Conditions: Project Summary; U.S. Environmental Protection Agency, National Risk Management Research Laboratory: Ada, OK, USA, 1999.
- Hutchins, S.R.; Sewell, G.W.; Kovacs, D.A.; Smith, G.A. Biodegradation of aromatic hydrocarbons by aquifer microorganisms under denitrifying conditions. Environ. Sci. Technol. 1991, 25, 68–76. [Google Scholar] [CrossRef]
- Chen, Y.D.; Gui, L.; Barker, J.F.; Jiang, Y. Biodegradability of trimethylbenzene isomers under the strictly anaerobic conditions in groundwater contaminated by gasoline. Environ. Geol. 2008, 56, 1123–1128. [Google Scholar] [CrossRef]
- Cozzarelli, I.M.; Bekins, B.A.; Baedecker, M.J.; Aiken, G.R.; Eganhouse, R.P.; Tuccillo, M.E. Progression of natural attenuation processes at a crude-oil spill site: I. Geochemical evolution of the plume. J. Contam. Hydrol. 2001, 53, 369–385. [Google Scholar] [CrossRef]
- Fuchs, G.; Boll, M.; Heider, J. Microbial degradation of aromatic compounds—From one strategy to four. Nat. Rev. Microbiol. 2011, 9, 803–816. [Google Scholar] [CrossRef] [PubMed]
- Ladino-Orjuela, G.; Gomes, E.; da Silva, R.; Salt, C.; Parsons, J.R. Metabolic Pathways for Degradation of Aromatic Hydrocarbons by Bacteria. Rev. Environ. Contam. Toxicol. 2015, 237, 105–121. [Google Scholar]
- Haner, A.; Hohener, P.; Zeyer, J. Degradation of Trimethylbenzene Isomers by an Enrichment Culture under N(inf2)O-Reducing Conditions. Appl. Environ. Microbiol. 1997, 63, 1171. [Google Scholar] [PubMed]
- Delhoménie, M.-C.; Bibeau, L.; Gendron, J.; Brzezinski, R.; Heitz, M. Degradation of toluene, xylene, and trimethylbenzene vapors by biofiltration: A comparison. J. Air Waste Manag. Assoc. 2003, 53, 217–226. [Google Scholar] [CrossRef] [PubMed]
- Barker, J.F.; Tessmann, J.S.; Plotz, P.E.; Reinhard, M. The organic geochemistry of a sanitary landfill leachate plume. J. Contam. Hydrol. 1986, 1, 171–189. [Google Scholar] [CrossRef]
- Richnow, H.H.; Meckenstock, R.U.; Ask Reitzel, L.; Baun, A.; Ledin, A.; Christensen, T.H. In situ biodegradation determined by carbon isotope fractionation of aromatic hydrocarbons in an anaerobic landfill leachate plume (Vejen, Denmark). J. Contam. Hydrol. 2003, 64, 59–72. [Google Scholar] [CrossRef]
- Acton, D.W.; Barker, J.F. In situ biodegradation potential of aromatic hydrocarbons in anaerobic groundwater. J. Contam. Hydrol. 1992, 9, 325–352. [Google Scholar] [CrossRef]
- Wilson, J.T.; Sewell, G.W.; Caron, D.; Doyle, G.; Miller, R.N. Intrinsic Bioremediation of Jet Fuel Contamination at George Air Force Base; Hinchee, R.E., Wilson, J.T., Downey, D.C., Eds.; Intrinsic bioremediation, Battelle Press: Columbus, OH, USA, 1995; pp. 91–100. [Google Scholar]
- Zheng, Z.; Breedveld, G.; Aagaard, P. Biodegradation of soluble aromatic compounds of jet fuel under anaerobic conditions: Laboratory batch experiments. Appl. Microbiol. Biotechnol. 2001, 57, 572–578. [Google Scholar] [PubMed]
- Haag, F.; Reinhard, M.; Mccarty, P.L. Degradation of toluene and p-xylene in anaerobic microcosms: Evidence for sulfate as a terminal electron acceptor. Environ. Toxicol. Chem. 1991, 10, 1379–1389. [Google Scholar] [CrossRef]
- Thierrin, J.; Davis, G.B.; Barber, C. A Ground-Water Tracer Test with Deuterated Compounds for Monitoring In Situ Biodegradation and Retardation of Aromatic Hydrocarbons. Ground Water 1995, 33, 469–475. [Google Scholar] [CrossRef]
- Kłonowski, M.R.; Breedveld, G.D.; Aagaard, P. Natural gradient experiment on transport of jet fuel derived hydrocarbons in an unconfined sandy aquifer. Environ. Geol. 2005, 48, 1040–1057. [Google Scholar] [CrossRef]
- Wiedemeier, T.H.; Swanson, M.A.; Wilson, J.T.; Kampbell, D.H.; Miller, R.N.; Hansen, J.E. Approximation of Biodegradation Rate Constants for Monoaromatic Hydrocarbons (BTEX) in Ground Water. Ground Water Monit. Remediat. 1996, 16, 186–194. [Google Scholar] [CrossRef]
- Barker, J.F.; Wilson, J.T. Natural Biological Attenuation of Aromatic Hydrocarbons under Anaerobic Conditions; Ward, C.H., Cherry, J.A., Scalf, M.R., Eds.; Subsurface Restoration, Ann Arbor Press: Chelsea, MI, USA, 1997; pp. 289–300. [Google Scholar]
- Kao, C.M.; Wang, Y.S. Field investigation of the natural attenuation and intrinsic biodegradation rates at an underground storage tank site. Environ. Geol. 2001, 40, 622–631. [Google Scholar] [CrossRef]
- Hunkeler, D.; Jörger, D.; Häberli, K.; Höhener, P.; Zeyer, J. Petroleum hydrocarbon mineralization in anaerobic laboratory aquifer columns. J. Contam. Hydrol. 1998, 32, 41–61. [Google Scholar] [CrossRef]
- Wiedemeier, T.H. Technical Protocol for Implementing Intrinsic Remediation with Long-Term Monitoring for Natural Attenuation of Fuel Contamination Dissolved in Groundwater. Volume II; Air Force Center for Environmental Excellence Technology Transfer Division Brooks AFB: San Antonio, TX, USA, 1999; Volume II.
- Atlas, R.M. Handbook of Microbiological Media, 4th ed.; CRC Press: Boca Raton, FL, USA, 2010. [Google Scholar]
- International Organization for Standardization. ISO 11423-1 Water Quality—Determination of Benzene and Some Derivatives—Part 1: Head-Space Gas Chromatograhic Method; International Organization for Standardization: Geneva, Switzerland, 1997. [Google Scholar]
- International Organization for Standardization. ISO 10304-1 Water Quality—Determination of Dissolved anions by Liquid Chromatography of Ions—Part 1: Determination of Bromide, Chloride, Fluoride, Nitrate, Nitrite, Phosphate and Sulfate; International Organization for Standardization: Geneva, Switzerland, 2007. [Google Scholar]
- Silberberg, M. Principles of General Chemistry, 2nd ed.; McGraw-Hill Science/Engineering/Math: Dubuque, IA, USA, 2009; ISBN 978-0-07-727432-0. [Google Scholar]
- Burland, S.M.; Edwards, E.A. Anaerobic Benzene Biodegradation Linked to Nitrate Reduction. Appl. Environ. Microbiol. 1999, 65, 529–533. [Google Scholar] [PubMed]
- Kao, C.M.; Huang, W.Y.; Chang, L.J.; Chen, T.Y.; Chien, H.Y.; Hou, F. Application of monitored natural attenuation to remediate a petroleum-hydrocarbon spill site. Water Sci Technol. 2006, 53, 321–328. [Google Scholar] [CrossRef] [PubMed]
- Cunningham, J.A.; Rahme, H.; Hopkins, G.D.; Lebron, C.; Reinhard, M. Enhanced In Situ Bioremediation of BTEX-Contaminated Groundwater by Combined Injection of Nitrate and Sulfate. Environ. Sci. Technol. 2001, 35, 1663–1670. [Google Scholar] [CrossRef] [PubMed]
- Appelo, C.A.J.; Postma, D. Geochemistry, Groundwater and Pollution, 2nd ed.; CRC Press: Boca Raton, FL, USA, 2005. [Google Scholar]






| Benzene | Toluene | Ethyl-benzene | m,p-Xylene | o-Xylene | 1,3,5-TMB | 1,2,4-TMB | 1,2,3-TMB | NO3− | SO42− |
|---|---|---|---|---|---|---|---|---|---|
| 1.5 (0.6/2.5) | 4.0 (2.2/6.9) | 1.5 (1.2/2.5) | 3.8 (1.4/6.4) | 1.3 (0.7/2.8) | 0.2 (0.08/0.36) | 0.8 (0.4/1.3) | 0.3 (0.2/0.5) | 8 * (4/16) | 40 * (33/45) |
| ZnSO4·7H2O | 100 | CaCl2·H2O | 197 | FeSO4·7H2O | 100 | AlK(SO4)2·12H2O | 10 |
| NiCl2·6H2O | 10 | H3BO3 | 20 | MgSO4·7H2O | 3.0 | ||
| CuSO4·5H2O | 10 | Na2MoO4·2H2O | 100 | Na2WO4·2H2O | 10 | ||
| MnSO4·H2O | 500 | Co(NO3)2·6H2O | 10 | Na2SeO3 | 1 |
| Total BTEX | 1,3,5-TMB | 1,2,4-TMB | 1,2,3-TMB | NO3− | SO42− | PO43− | TES | NaN3 | |
|---|---|---|---|---|---|---|---|---|---|
| Nitrate microcosm | 14.1 | 0.26 | 0.91 | 0.33 | 200 | 40 * | 30 | 3 | 1500 ** |
| Sulfate microcosm | 14.1 | 0.26 | 0.91 | 0.33 | 8 | 300 | 30 | 3 | 1500 ** |
| Temp. (°C) | Exchanged Pore Volumes (EPV) (-) | Residence Time (d) | Flow Velocity (m/s) or (m/a) | Addition of Electron Acceptors/Macro Nutrients after x EPV | Exp. Phase |
|---|---|---|---|---|---|
| 20 | 0.0–23.2 | 16 | 1.09 × 10−6 or 34.2 | from EPV 0 120 mg/L nitrate 30 mg/L phosphate 3 mg/L TES from EPV 8.4 200 mg/L nitrate 60 mg/L phosphate 3 mg/L TES from EPV 14.1 300 mg/L nitrate 60 mg/L phosphate 3 mg/L TES | 1 |
| 23.2–32.7 | 29 | 6.0 × 10−7 or 18.8 | No changes | 2 | |
| 10–12 | 32.7–40.6 | 29 | 6.0 × 10−7 or 18.8 | No changes | 3 |
| 20 | 40.6–43.0 | 29 | 6.0 × 10−7 or 18.8 | No Changes | 4 |
| 43.0–54.8 | 29 | 6.0 × 10−7 or 18.8 | from EPV 43.0 300 mg/L sulfate 60 mg/L phosphate 3 mg/L TES | 5 |
| Complete Denitrification | Incomplete Denitrification | Sulfate-reducing Conditions | |
|---|---|---|---|
| Benzene | 4.77 | 11.9 | 4.61 |
| Toluene | 4.85 | 12.1 | 4.7 |
| Ethylbenzene | 4.91 | 12.3 | 4.75 |
| Xylene | 4.91 | 12.3 | 4.75 |
| TMB | 4.96 | 12.4 | 4.8 |
| P0-P5 | P0-P1 | P1-P2 | P2-P3 | P3-P4 | P4-P5 | ||
|---|---|---|---|---|---|---|---|
| Phase 1 | 1,3,5-TMB | 0.09 | 0.49 | 0.05 | 0.08 | 0.02 | 0.03 |
| 1,2,4-TMB | 0.09 | 0.42 | 0.05 | 0.06 | 0.04 | 0.03 | |
| 1,2,3-TMB | 0.02 | 0.04 | 0.04 | 0.004 | <0.01 | 0.04 | |
| Phase 2 | 1,3,5-TMB | 0.20 | 0.61 | 0.37 | <0.01 | 0.14 | 0.14 |
| 1,2,4-TMB | 0.08 | 0.49 | 0.14 | 0.01 | <0.01 | 0.02 | |
| 1,2,3-TMB | 0.04 | 0.15 | 0.11 | 0.02 | <0.01 | <0.01 | |
| Phase 3 | 1,3,5-TMB | 0.21 | 1.33 | n.d. | n.d. | n.d. | n.d. |
| 1,2,4-TMB | 0.19 | 1.03 | 0.28 | 0.04 | <0.01 | 0.28 | |
| 1,2,3-TMB | 0.03 | 0.05 | 0.05 | 0.04 | 0.04 | 0.04 | |
| Phase 4 | 1,3,5-TMB | 0.18 | 0.93 | 0.15 | n.d. | n.d. | n.d. |
| 1,2,4-TMB | 0.16 | 0.81 | 0.13 | <0.01 | <0.01 | 0.17 | |
| 1,2,3-TMB | 0.01 | 0.10 | 0.003 | <0.01 | <0.01 | 0.01 | |
| Phase 5 | 1,3,5-TMB | 0.05 | 0.22 | 0.03 | 0.04 | 0.04 | 0.01 |
| 1,2,4-TMB | 0.07 | 0.02 | 0.02 | 0.01 | 0.11 | 0.15 | |
| 1,2,3-TMB | 0.11 | 0.04 | 0.03 | 0.02 | 0.19 | 0.21 | |
| Phase 1–4 | Phase 5 | |
|---|---|---|
| BTEX/TMB inflow | 11.8 | 2.7 |
| BTEX/TMB outflow | 2.0 | 0.3 |
| BTEX/TMB mineralized | 5.9 | 1.5 |
| Nitrate inflow | 218.8 | 1.7 |
| Nitrate outflow | 100.3 | 1.4 |
| Nitrate consumed | 118.5 | 0.3 |
| Theoretical demand of nitrate for complete denitrification | 28.5 | 7.2 |
| Theoretical demand of nitrate incomplete denitrification | 71.3 | 18.1 |
| Sulfate inflow | 37.2 | 70.8 |
| Sulfate outflow | 38.1 | 61.2 |
| Sulfate consumed | −0.9 | 9.6 |
| Theoretical demand of sulfate | 27.1 | 6.9 |
© 2019 by the authors. Licensee MDPI, Basel, Switzerland. This article is an open access article distributed under the terms and conditions of the Creative Commons Attribution (CC BY) license (http://creativecommons.org/licenses/by/4.0/).
Share and Cite
Fichtner, T.; Fischer, A.R.; Dornack, C. Biodegradability of Trimethylbenzene Isomers under Denitrifying and Sulfate-Reducing Conditions. Int. J. Environ. Res. Public Health 2019, 16, 615. https://doi.org/10.3390/ijerph16040615
Fichtner T, Fischer AR, Dornack C. Biodegradability of Trimethylbenzene Isomers under Denitrifying and Sulfate-Reducing Conditions. International Journal of Environmental Research and Public Health. 2019; 16(4):615. https://doi.org/10.3390/ijerph16040615
Chicago/Turabian StyleFichtner, Thomas, Axel Rene Fischer, and Christina Dornack. 2019. "Biodegradability of Trimethylbenzene Isomers under Denitrifying and Sulfate-Reducing Conditions" International Journal of Environmental Research and Public Health 16, no. 4: 615. https://doi.org/10.3390/ijerph16040615
APA StyleFichtner, T., Fischer, A. R., & Dornack, C. (2019). Biodegradability of Trimethylbenzene Isomers under Denitrifying and Sulfate-Reducing Conditions. International Journal of Environmental Research and Public Health, 16(4), 615. https://doi.org/10.3390/ijerph16040615

