Development and Relative Validity of a Food Frequency Questionnaire to Assess Intakes of Total and Free Sugars in Australian Toddlers
Abstract
1. Introduction
2. Materials and Methods
2.1. Study of Mothers’ and Infants’ Life Events Affecting Oral Health (SMILE)
SMILE Food Frequency Questionnaire Development
2.2. Food Frequency Questionnaire Validation
2.2.1. Participants and Recruitment
2.2.2. Data Collection
2.2.3. Data Analysis
3. Results
3.1. Participant Characteristics
3.2. Total and Free Sugars Intakes
3.3. Relative Validity of the SMILE-FFQ
3.4. Reproducibility of the SMILE-FFQ
4. Discussion
4.1. Validity
4.2. Challenges in Dietary Assessment of Pre-School Aged Children
4.3. Limitations of the Study
4.4. Opportunities
5. Conclusions
Supplementary Materials
Acknowledgments
Author Contributions
Conflicts of Interest
References
- World Health Organization. Guideline: Sugars Intake for Adults and Children; WHO: Geneva, Switzerland, 2015. [Google Scholar]
- Australian Institute of Health and Welfare. Australia’s Health 2012; AIHW: Canberra, Australia, 2012.
- Australian Institute of Health and Welfare. Oral Health and Dental Care in Australia: Key Facts and Figures 2015; AIHW: Canberra, Australia, 2015.
- Armfield, J.M.; Spencer, A.J. Quarter of a century of change: Caries experience in Australian children, 1977–2002. Aust. Dent. J. 2008, 53, 151–159. [Google Scholar] [CrossRef] [PubMed]
- Moynihan, P.J.; Kelly, S.A. Effect on Caries of Restricting Sugars Intake: Systematic Review to Inform WHO Guidelines. J. Dent. Res. 2014, 93, 8–18. [Google Scholar] [CrossRef] [PubMed]
- Moynihan, P.; Petersen, P.E. Diet, nutrition and the prevention of dental diseases. Public Health Nutr. 2004, 7, 201–226. [Google Scholar] [CrossRef] [PubMed]
- Sheiham, A.; James, W.P. A new understanding of the relationship between sugars, dental caries and fluoride use: Implications for limits on sugars consumption. Public Health Nutr. 2014, 17, 2176–2184. [Google Scholar] [CrossRef] [PubMed]
- Harris, R.; Nicoll, A.D.; Adair, P.M.; Pine, C.M. Risk factors for dental caries in young children: A systematic review of the literature. Community Dent. Health 2004, 21, 71–85. [Google Scholar] [PubMed]
- Valaitis, R.; Hesch, R.; Passarelli, C.; Sheehan, D.; Sinton, J. A systematic review of the relationship between breastfeeding and early childhood caries. Can. J. Public Health 2000, 91, 411–417. [Google Scholar] [PubMed]
- Thompson, F.E.; Subar, A.F. Dietary Assessment Methodology. In Nutrition in the Prevention and Treatment of Disease, 3rd ed.; Coulston, A.M., Boushey, C., Ferruzzi, M., Eds.; Academic Press: London, UK, 2013. [Google Scholar]
- Willett, W. Nutritional Epidemiology, 3rd ed.; Oxford University Press: Oxford, UK, 2013. [Google Scholar]
- National Institutes of Health; National Cancer Institute. Dietary Assessment Primer. Available online: http://dietassessmentprimer.cancer.gov (accessed on 22 June 2017).
- Evans, E.W.; Hayes, C.; Palmer, C.A.; Bermudez, O.I.; Naumova, E.N.; Cohen, S.A.; Must, A. Development of a pediatric cariogenicity index. J. Public Health Dent. 2013, 73, 179–186. [Google Scholar] [CrossRef] [PubMed]
- Ortiz-Andrellucchi, A.; Henríquez-Sánchez, P.; Sánchez-Villegas, A.; Peña-Quintana, L.; Mendez, M.; Serra-Majem, L. Dietary assessment methods for micronutrient intake in infants, children and adolescents: A systematic review. Br. J. Nutr. 2010, 102, S87–S117. [Google Scholar] [CrossRef] [PubMed]
- Do, L.G.; Scott, J.A.; Thomson, W.M.; Stamm, J.W.; Rugg-Gunn, A.J.; Levy, S.M.; Wong, C.; Devenish, G.; Ha, D.H.; Spencer, A.J. Common risk factor approach to address socioeconomic inequality in the oral health of preschool children—A prospective cohort study. BMC Public Health 2014, 14, 429. [Google Scholar] [CrossRef] [PubMed]
- Scott, J.A.; Binns, C.W.; Aroni, R.A. The influence of reported paternal attitudes on the decision to breast-feed. J. Paediatr. Child Health 1997, 33, 305–307. [Google Scholar] [CrossRef] [PubMed]
- Scott, J.A.; Binns, C.W.; Oddy, W.H.; Graham, K.I. Predictors of Breastfeeding Duration: Evidence from a Cohort Study. Pediatrics 2006, 117, e646–e655. [Google Scholar] [CrossRef] [PubMed]
- Australian Institute of Health and Welfare. 2010 Australian National Infant Feeding Survey: Indicator Results; AIHW: Canberra, Australia, 2011.
- Daniels, L.; Magarey, A.; Battistutta, D.; Nicholson, J.; Farrell, A.; Davidson, G.; Cleghorn, G. The NOURISH randomised control trial: Positive feeding practices and food preferences in early childhood—A primary prevention program for childhood obesity. BMC Public Health 2009, 9, 387. [Google Scholar] [CrossRef] [PubMed]
- Coulston, A.M.; Boushey, C.J.; Ferruzzi, M. Nutrition in the Prevention and Treatment of Disease, 3rd ed.; Academic Press: London, UK, 2013. [Google Scholar]
- Food Standards Australia New Zealand. AUSNUT 2011–13—Food Composition Database. 2014. Available online: http://www.foodstandards.gov.au/science/monitoringnutrients/ausnut/Pages/default.aspx (accessed on 22 June 2017).
- Marriott, L.D.; Inskip, H.M.; Borland, S.E.; Godfrey, K.M.; Law, C.M.; Robinson, S.M. What do babies eat? Evaluation of a food frequency questionnaire to assess the diets of infants aged 12 months. Public Health Nutr. 2009, 12, 967–972. [Google Scholar] [CrossRef] [PubMed]
- Andersen, L.F.; Lande, B.; Trygg, K.; Hay, G. Validation of a semi-quantitative food-frequency questionnaire used among 2-year-old Norwegian children. Public Health Nutr. 2004, 7, 757–764. [Google Scholar] [CrossRef] [PubMed]
- Watson, E.O.; Heath, A.L.; Taylor, R.W.; Mills, V.C.; Barris, A.C.; Skidmore, P.M. Relative validity and reproducibility of an FFQ to determine nutrient intakes of New Zealand toddlers aged 12–24 months. Public Health Nutr. 2015, 18, 3265–3271. [Google Scholar] [CrossRef] [PubMed]
- Flood, V.M.; Wen, L.M.; Hardy, L.L.; Rissel, C.; Simpson, J.M.; Baur, L.A. Reliability and validity of a short FFQ for assessing the dietary habits of 2–5-year-old children, Sydney, Australia. Public Health Nutr. 2013, 1–12. [Google Scholar] [CrossRef] [PubMed]
- Australian Bureau of Statistics. Australian Health Survey: Users’ Guide, 2011–13: 24-Hour Dietary Recall. 2014. Available online: http://www.abs.gov.au/ausstats/abs@.nsf/Lookup/4363.0.55.001Chapter65022011-13 (accessed on 22 June 2017).
- Louie, J.C.Y.; Moshtaghian, H.; Boylan, S.; Flood, V.M.; Rangan, A.M.; Barclay, A.W.; Brand-Miller, J.C.; Gill, T.P. A systematic methodology to estimate added sugar content of foods. Eur. J. Clin. Nutr. 2015, 69, 154–161. [Google Scholar] [CrossRef] [PubMed]
- Atkins, L.A.; McNaughton, S.A.; Campbell, K.J.; Szymlek-Gay, E.A. Iron intakes of Australian infants and toddlers: Findings from the Melbourne Infant Feeding, Activity and Nutrition Trial (InFANT) Program. Br. J. Nutr. 2016, 115, 285–293. [Google Scholar] [CrossRef] [PubMed]
- Lombard, M.J.; Steyn, N.P.; Charlton, K.E.; Senekal, M. Application and interpretation of multiple statistical tests to evaluate validity of dietary intake assessment methods. Nutr. J. 2015, 14, 40. [Google Scholar] [CrossRef] [PubMed]
- Masson, L.F.; McNeill, G.; Tomany, J.O.; Simpson, J.A.; Peace, H.S.; Wei, L.; Grubb, D.A.; Bolton-Smith, C. Statistical approaches for assessing the relative validity of a food-frequency questionnaire: Use of correlation coefficients and the kappa statistic. Public Health Nutr. 2003, 6, 313–321. [Google Scholar] [CrossRef] [PubMed]
- Bland, J.M.; Altman, D.G. Statistical Methods for Assessing Agreement between Two Methods of Clinical Measurement. Lancet 1986, 327, 307–310. [Google Scholar] [CrossRef]
- Bland, J.M.; Altman, D.G. Measuring agreement in method comparison studies. Stat. Methods Med. Res. 1999, 8, 135–160. [Google Scholar] [CrossRef] [PubMed]
- Huybrechts, I.; De Backer, G.; De Bacquer, D.; Maes, L.; De Henauw, S. Relative Validity and Reproducibility of a Food-Frequency Questionnaire for Estimating Food Intakes among Flemish Preschoolers. Int. J. Environ. Res. Public Health 2009, 6, 382–399. [Google Scholar] [CrossRef] [PubMed]
- Australian Bureau of Statistics. Australian Health Survey 2011–13; ABS: Canberra, Australia, 2014.
- Bell, L.K.; Golley, R.K.; Magarey, A.M. A short food-group-based dietary questionnaire is reliable and valid for assessing toddlers’ dietary risk in relatively advantaged samples. Br. J. Nutr. 2014, 112, 627–637. [Google Scholar] [CrossRef] [PubMed]
- Burrows, T.L.; Collins, K.; Watson, J.; Guest, M.; Boggess, M.M.; Neve, M.; Rollo, M.; Duncanson, K.; Collins, C.E. Validity of the Australian Recommended Food Score as a diet quality index for Pre-schoolers. Nutr. J. 2014, 13, 87. [Google Scholar] [CrossRef] [PubMed]
- Mills, V.C.; Skidmore, P.M.L.; Watson, E.O.; Taylor, R.W.; Fleming, E.A.; Heath, A.-L.M. Relative Validity and Reproducibility of a Food Frequency Questionnaire for Identifying the Dietary Patterns of Toddlers in New Zealand. J. Acad. Nutr. Diet. 2015, 115, 551–558. [Google Scholar] [CrossRef] [PubMed]
- Kiwanuka, S.N.; Åstrøm, A.N.; Trovik, T.A. Sugar snack consumption in Ugandan schoolchildren: Validity and reliability of a food frequency questionnaire. Community Dent. Oral Epidemiol. 2006, 34, 372–380. [Google Scholar] [CrossRef] [PubMed]
- Commonwealth Scientific Industrial Research Organisation. 2007 Australian National Children’s Nutrition and Physical Activity Survey: Main Findings; CSIRO: Canberra, Australia, 2008.
- Magarey, A.; Watson, J.; Golley, R.K.; Burrows, T.; Sutherland, R.; McNaughton, S.A.; Denney-Wilson, E.; Campbell, K.; Collins, C. Assessing dietary intake in children and adolescents: Considerations and recommendations for obesity research. Int. J. Pediatr. Obes. 2011, 6, 2–11. [Google Scholar] [CrossRef] [PubMed]
- Livingstone, M.B.; Robson, P.J.; Wallace, J.M. Issues in dietary intake assessment of children and adolescents. Br. J. Nutr. 2004, 92, S213–S222. [Google Scholar] [CrossRef] [PubMed]
- Gahagan, S. Development of Eating Behavior: Biology and Context. J. Dev. Behav. Pediatr. 2012, 33, 261–271. [Google Scholar] [CrossRef] [PubMed]
- Kobayashi, T.; Kamimura, M.; Imai, S.; Toji, C.; Okamoto, N.; Fukui, M.; Date, C. Reproducibility and validity of the food frequency questionnaire for estimating habitual dietary intake in children and adolescents. Nutr. J. 2011, 10, 27. [Google Scholar] [CrossRef] [PubMed]
- Fumagalli, F.; Pontes Monteiro, J.; Sartorelli, D.S.; Vieira, M.N.C.M.; de Lourdes Pires Bianchi, M. Validation of a food frequency questionnaire for assessing dietary nutrients in Brazilian children 5 to 10 years of age. Nutrition 2008, 24, 427–432. [Google Scholar] [CrossRef] [PubMed]
- Margetts, B.M.; Nelson, M. Design Concepts in Nutritional Epidemiology, 2nd ed.; Oxford University Press: New York, NY, USA, 1997. [Google Scholar]
- Börnhorst, C.; Huybrechts, I.; Ahrens, W.; Eiben, G.; Michels, N.; Pala, V.; Molnár, D.; Russo, P.; Barba, G.; Bel-Serrat, S.; et al. Prevalence and determinants of misreporting among European children in proxy-reported 24 h dietary recalls. Br. J. Nutr. 2012, 109, 1257–1265. [Google Scholar] [CrossRef] [PubMed]
- Radnitz, C.; Todd, L.E. Social desirability may explain why some caregivers of overweight children report less frequent high calorie food intake. Eat. Behav. 2016, 23, 48–51. [Google Scholar] [CrossRef] [PubMed]
- Mohammadifard, N.; Omidvar, N.; Houshiarrad, A.; Neyestani, T.; Naderi, G.-A.; Soleymani, B. Validity and reproducibility of a food frequency questionnaire for assessment of fruit and vegetable intake in Iranian adults. J. Res. Med. Sci. 2011, 16, 1286–1297. [Google Scholar] [PubMed]
- Subar, A.F.; Frey, C.M.; Harlan, L.C.; Kahle, L. Differences in reported food frequency by season of questionnaire administration: The 1987 National Health Interview Survey. Epidemiology 1994, 5, 226–233. [Google Scholar] [CrossRef] [PubMed]
- Tasevska, N. Urinary Sugars—A Biomarker of Total Sugars Intake. Nutrients 2015, 7, 5816–5833. [Google Scholar] [CrossRef] [PubMed]



| Characteristics | Mean (SD) |
|---|---|
| Age of mother (years) | 34.2 (±4.4) |
| Age of child (months) | 25 (±4.1) |
| Gender of child: female (%) | 43.2 |
| Mothers’ education: completed university (%) | 70.6 |
| Method | Mean ± SD | Median | Range | Percentile | Normality | ||||
|---|---|---|---|---|---|---|---|---|---|
| Raw | Transformed b | ||||||||
| 25th | 75th | Skew | K-S c p | Skew | K-S c p | ||||
| Total Sugars: | |||||||||
| FFQ1 (g) | 74.8 ± 30.8 | 66.5 | 18.9–149.7 | 51.2 | 96.3 | 0.57 | 0.001 | −0.41 | 0.200 |
| FFQ2 (g) | 68.7 ± 28.6 | 65.2 | 22.6–148.3 | 49.1 | 83.6 | 0.90 | 0.018 | −0.13 | 0.200 |
| 24HR (g) | 65.9 ± 19.3 | 64.8 | 30.0–130.4 | 52.2 | 79.0 | 0.72 | 0.200 | −0.11 | 0.200 |
| Free Sugars: | |||||||||
| FFQ1 (g) | 22.0 ± 15.5 | 19.0 | 1.0–75.6 | 11.1 | 26.9 | 1.31 | 0.000 | −0.63 | 0.160 |
| FFQ2 (g) | 21.3 ± 15.0 | 18.1 | 1.0–71.8 | 10.2 | 29.2 | 1.26 | 0.009 | −0.93 | 0.004 |
| 24HR (g) | 18.3 ± 9.7 | 17.3 | 2.1–58.7 | 10.9 | 24.9 | 1.05 | 0.036 | −0.72 | 0.091 |
| Method | Correlation | Cross-Classification | |||
|---|---|---|---|---|---|
| Pearson b | Chi-Square c | κw d | |||
| Similarly Classified (%) | Adjacently Classified (%) | Dissimilarly Classified (%) | |||
| Total Sugars: FFQ1 | 0.532 ** | 54.7 | 35.8 | 9.5 | 0.387 |
| FFQ2 | 0.642 ** | 55.8 | 40.0 | 4.2 | 0.454 |
| Free Sugars: FFQ1 | 0.392 ** | 52.6 | 37.9 | 9.5 | 0.359 |
| FFQ2 | 0.484 ** | 50.4 | 38.9 | 10.6 | 0.320 |
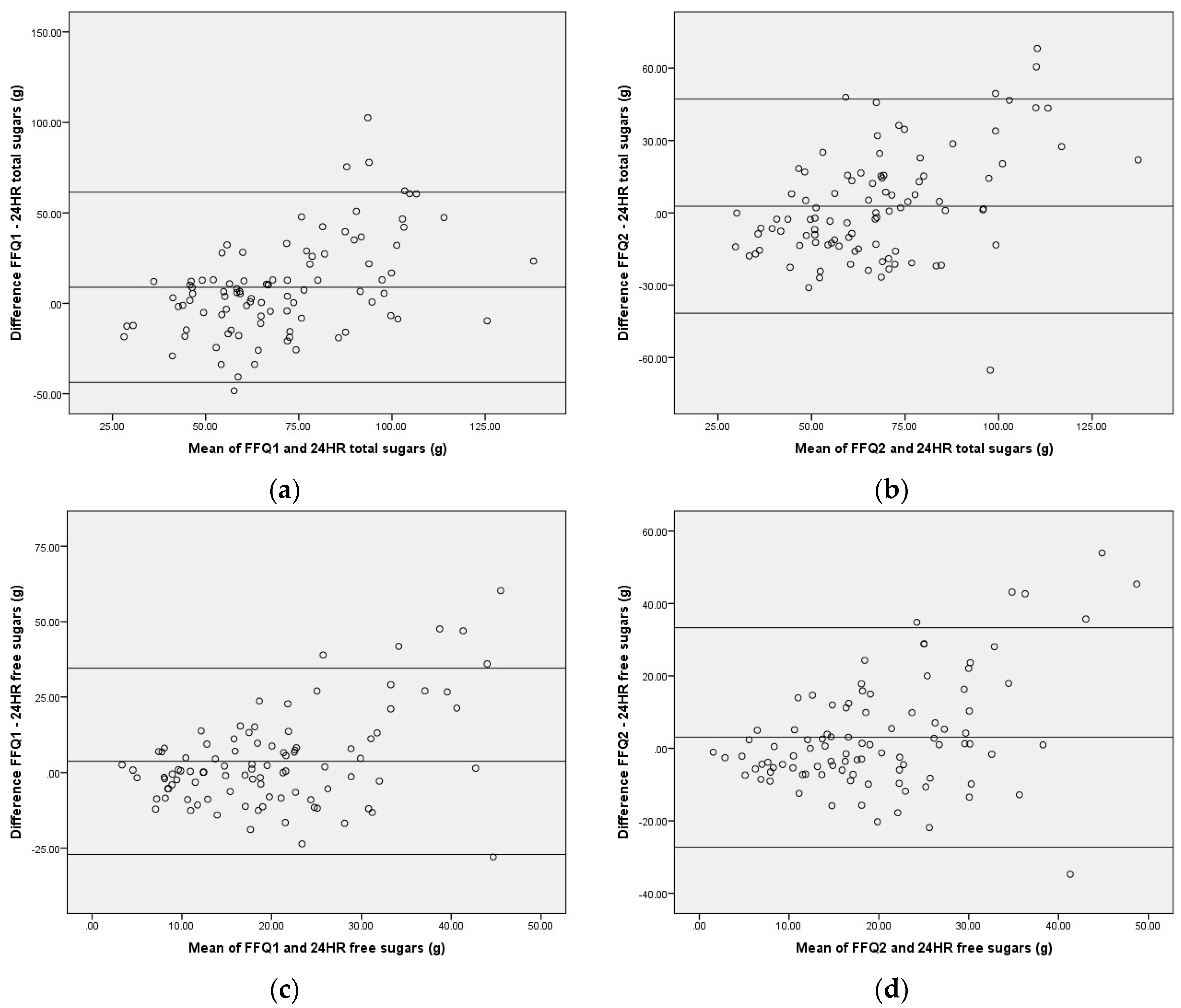
| Method | Mean Difference ± SD (g) | Agreement p Value b | Limits of Agreement LOA (g) | Bland-Altman Index c (%) |
|---|---|---|---|---|
| Total Sugars: FFQ1 | 8.9 ± 26.8 | 0.008 | −43.7, 61.4 | 5.3 |
| FFQ2 | 2.8 ± 22.6 | 0.596 | −41.6, 47.2 | 5.3 |
| Free Sugars: FFQ1 | 3.7 ± 15.7 | 0.180 | −27.1, 34.5 | 7.4 |
| FFQ2 | 3.1 ± 15.4 | 0.490 | −27.2, 33.3 | 7.4 |
| Correlation | Cross-Classification | ||||
|---|---|---|---|---|---|
| Pearson b | Chi-Square c | κw d | |||
| Similarly Classified (%) | Adjacently Classified (%) | Dissimilarly Classified (%) | |||
| Total Sugars | 0.494 ** | 51.5 | 40.0 | 8.5 | 0.359 |
| Free Sugars | 0.693 ** | 59.0 | 34.8 | 6.3 | 0.464 |
| Mean Difference ± SD (g) | Agreement p Value b | Limits of Agreement LOA (g) | Bland-Altman Index c (%) | |
|---|---|---|---|---|
| Total Sugars | 6.1 ± 28.5 | 0.027 | −49.8, 61.9 | 5.3 |
| Free Sugars | 0.6 ± 12.0 | 0.583 | −22.9, 24.2 | 6.3 |
© 2017 by the authors. Licensee MDPI, Basel, Switzerland. This article is an open access article distributed under the terms and conditions of the Creative Commons Attribution (CC BY) license (http://creativecommons.org/licenses/by/4.0/).
Share and Cite
Devenish, G.; Mukhtar, A.; Begley, A.; Do, L.; Scott, J. Development and Relative Validity of a Food Frequency Questionnaire to Assess Intakes of Total and Free Sugars in Australian Toddlers. Int. J. Environ. Res. Public Health 2017, 14, 1361. https://doi.org/10.3390/ijerph14111361
Devenish G, Mukhtar A, Begley A, Do L, Scott J. Development and Relative Validity of a Food Frequency Questionnaire to Assess Intakes of Total and Free Sugars in Australian Toddlers. International Journal of Environmental Research and Public Health. 2017; 14(11):1361. https://doi.org/10.3390/ijerph14111361
Chicago/Turabian StyleDevenish, Gemma, Aqif Mukhtar, Andrea Begley, Loc Do, and Jane Scott. 2017. "Development and Relative Validity of a Food Frequency Questionnaire to Assess Intakes of Total and Free Sugars in Australian Toddlers" International Journal of Environmental Research and Public Health 14, no. 11: 1361. https://doi.org/10.3390/ijerph14111361
APA StyleDevenish, G., Mukhtar, A., Begley, A., Do, L., & Scott, J. (2017). Development and Relative Validity of a Food Frequency Questionnaire to Assess Intakes of Total and Free Sugars in Australian Toddlers. International Journal of Environmental Research and Public Health, 14(11), 1361. https://doi.org/10.3390/ijerph14111361

