Functional and Bioactive Benefits of Selected Microalgal Hydrolysates Assessed In Silico and In Vitro
Abstract
1. Introduction
2. Results
2.1. Hydrolysate Generation and Proximate Analysis
2.2. Techno-Functional Analysis
2.2.1. Protein Solubility
2.2.2. Water Holding Capacity (WHC) and Oil Holding Capacity (OHC)
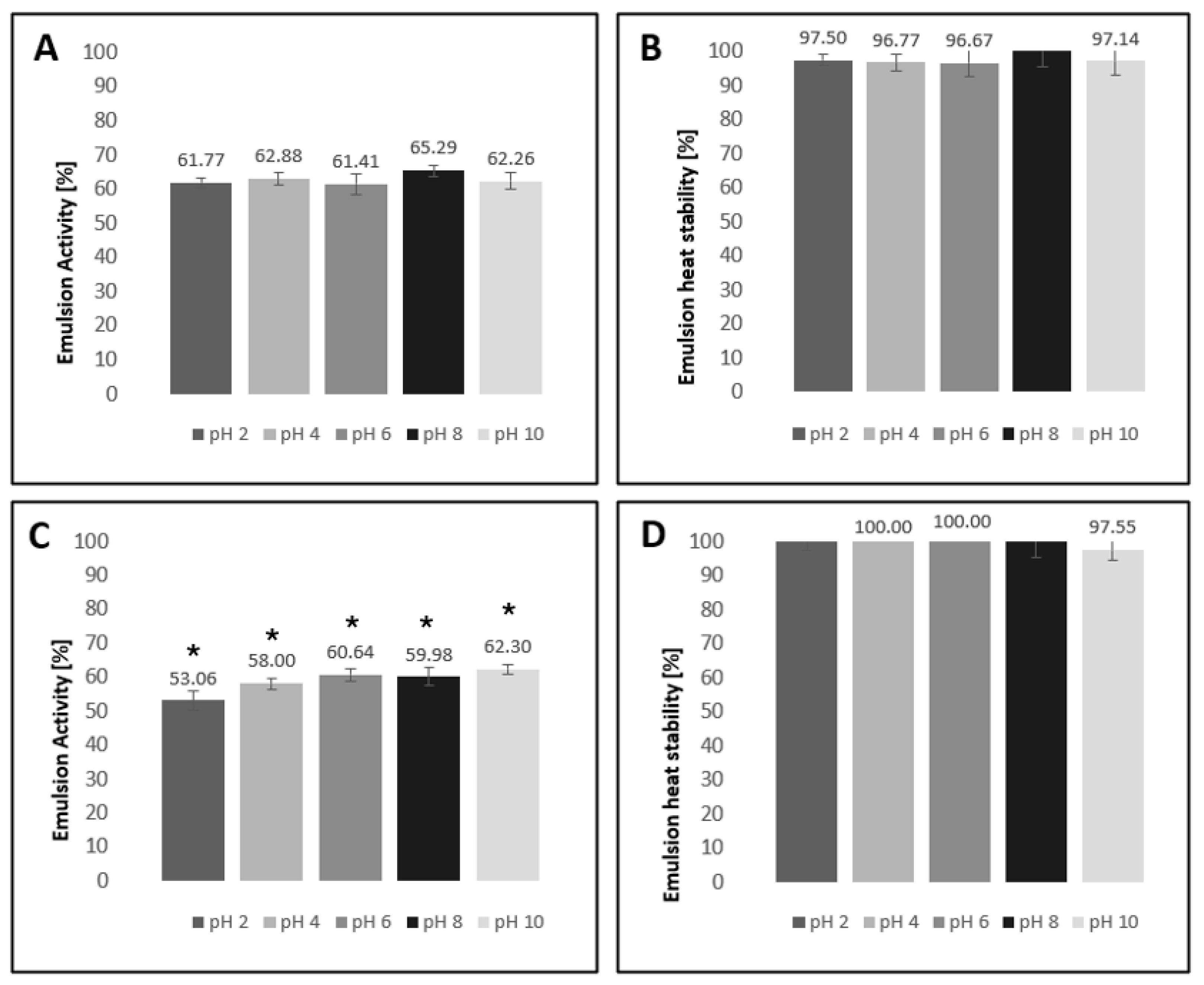
2.2.3. Emulsion Activity and Heat Stability
2.3. Bioactivity Assessment of 3 kDa Microalgal Permeates
2.3.1. ACE-1 Inhibition
2.3.2. ABTS Radical Scavenging Effect
2.3.3. α-Amylase Inhibitory Activity
2.4. MS and In Silico Analysis of 3 kDa Permeate Fractions Generated from Chlorella Mix and Scenedesmus Mix Viscozyme and Alcalase Hydrolysates
3. Discussion
3.1. Hydrolysate Generation
3.2. Techno-Functional Activities
3.2.1. Solubility
3.2.2. Water and Oil Holding Capacities of Microalgal Hydrolysates
3.2.3. Emulsion Activity and Stability
3.3. Bioactivity Assessments
3.3.1. ACE-1 Inhibition
3.3.2. Alpha-Amylase Inhibition
3.3.3. Antioxidant Activities
3.4. MS and In Silico Analysis
3.5. Cyclooxygenase-2 (COX-2) Inhibitory Activity
4. Materials and Methods
4.1. Biomass
4.2. Chemicals
4.3. Protein Extraction Using Hydrolysis
4.4. Proximate Compositional Analysis
4.5. Mass Spectrometry in Tandem Analysis
Peptide Identification
4.6. Bioactivity Assays
4.6.1. ACE-1 Inhibition
4.6.2. ABTS Radical Scavenging Capacity
4.6.3. α-Amylase Inhibition
4.6.4. Cyclooxygenase Inhibitory Activity Assessment
4.7. Techno-Functional Activities
4.7.1. Solubility
4.7.2. Water Holding (WHC) and Oil Holding Capacity (OHC)
4.7.3. Emulsion Activity
4.8. Statistical Analysis
5. Conclusions
Author Contributions
Funding
Institutional Review Board Statement
Data Availability Statement
Acknowledgments
Conflicts of Interest
References
- Smith, K.; Watson, A.W.; Lonnie, M.; Peeters, W.M.; Oonincx, D.; Tsoutsoura, N.; Simon-Miquel, G.; Szepe, K.; Cochetel, N.; Pearson, A.G.; et al. Meeting the global protein supply requirements of a growing and ageing population. Eur. J. Nutr. 2024, 63, 1425–1433. [Google Scholar] [CrossRef]
- Bedsaul-Fryer, J.R.; Monroy-Gomez, J.; van Zutphen-Küffer, K.G.; Kraemer, K. An Introduction to Traditional and Novel Alternative Proteins for Low- and Middle-Income Countries. Curr. Dev. Nutr. 2023, 8 (Suppl. S1), 102014. [Google Scholar] [CrossRef] [PubMed] [PubMed Central]
- Henchion, M.; Hayes, M.; Mullen, A.M.; Fenelon, M.; Tiwari, B. Future Protein Supply and Demand: Strategies and Factors Influencing a Sustainable Equilibrium. Foods 2017, 6, 53. [Google Scholar] [CrossRef] [PubMed] [PubMed Central]
- Mosibo, O.K.; Ferrentino, G.; Udenigwe, C.C. Microalgae Proteins as Sustainable Ingredients in Novel Foods: Recent Developments and Challenges. Foods 2024, 13, 733. [Google Scholar] [CrossRef]
- Wang, Y.; Tibbetts, S.M.; McGinn, P.J. Microalgae as Sources of High-Quality Protein for Human Food and Protein Supplements. Foods 2021, 10, 3002. [Google Scholar] [CrossRef] [PubMed] [PubMed Central]
- Phusunti, N.; Cheirsilp, B. Integrated protein extraction with bio-oil production for microalgal biorefinery. Algal Res. 2020, 48, 101918. [Google Scholar] [CrossRef]
- Bleakley, S.; Hayes, M. Algal Proteins: Extraction, Application, and Challenges Concerning Production. Foods 2017, 6, 33. [Google Scholar] [CrossRef] [PubMed] [PubMed Central]
- Appel, J.; Hueren, V.; Boehm, M.; Gutekunst, K. Cyanobacterial in vivo solar hydrogen production using a photosystem I–hydrogenase (PsaD-HoxYH) fusion complex. Nat. Energy 2020, 5, 458–467. [Google Scholar] [CrossRef]
- Soto-Sierra, L.; Stoykova, P.; Nikolov, Z.L. Extraction and Fractionation of Microalgae-Based Protein Products. Algal Res. 2018, 36, 175–192. [Google Scholar] [CrossRef]
- Coelho, D.; Lopes, P.A.; Cardoso, V.; Ponte, P.; Brás, J.; Madeira, M.S.; Alfaia, C.M.; Bandarra, N.M.; Gerken, H.G.; Fontes, C.M.G.A.; et al. Novel combination of feed enzymes to improve the degradation of Chlorella vulgaris recalcitrant cell wall. Sci. Rep. 2019, 9, 5382. [Google Scholar] [CrossRef]
- Bauer, L.; Ranglová, K.; Masojídek, J.; Drosg, B.; Meixner, K. Digestate as Sustainable Nutrient Source for Microalgae—Challenges and Prospects. Appl. Sci. 2021, 11, 1056. [Google Scholar] [CrossRef]
- Wang, Y.; Tibbetts, S.M.; Berrue, F.; McGinn, P.J.; MacQuarrie, S.P.; Puttaswamy, A.; Patelakis, S.; Schmidt, D.; Melanson, R.; MacKenzie, S.E. A Rat Study to Evaluate the Protein Quality of Three Green Microalgal Species and the Impact of Mechanical Cell Wall Disruption. Foods 2020, 9, 1531. [Google Scholar] [CrossRef] [PubMed] [PubMed Central]
- Blanco-Llamero, C.; García-García, P.; Señoráns, F.J. Combination of Synergic Enzymes and Ultrasounds as an Effective Pretreatment Process to Break Microalgal Cell Wall and Enhance Algal Oil Extraction. Foods 2021, 10, 1928. [Google Scholar] [CrossRef]
- Verni, M.; Demarinis, C.; Rizzello, C.G.; Pontonio, E. Bioprocessing to Preserve and Improve Microalgae Nutritional and Functional Potential: Novel Insight and Perspectives. Foods 2023, 12, 983. [Google Scholar] [CrossRef] [PubMed] [PubMed Central]
- Zhao, X.; Fu, Y.; Song, C. Proteins. In Essentials of Food Chemistry; Kan, J., Chen, K., Eds.; Springer: Singapore, 2021. [Google Scholar] [CrossRef]
- Kose, A.; Oncel, S.S. Properties of microalgal enzymatic protein hydrolysates: Biochemical composition, protein distribution and FTIR characteristics. Biotechnol. Rep. 2015, 6, 137–143. [Google Scholar] [CrossRef]
- Molina-Peñate, E.; Artola, A.; Sánchez, A. Exploring biorefinery alternatives for biowaste valorization: A techno-economic assessment of enzymatic hydrolysis coupled with anaerobic digestion or solid-state fermentation for high-value bioproducts. Bioengineered 2024, 15, 2307668. [Google Scholar] [CrossRef] [PubMed]
- Costa, M.M.; Spínola, M.P.; Alves, V.P.; Prates, J.A.M. Improving protein extraction and peptide production from Chlorella vulgaris using combined mechanical/physical and enzymatic pre-treatment. Heliyon 2024, 10, e32704. [Google Scholar] [CrossRef] [PubMed]
- Durmaz, Y.; Kilicli, M.; Toker, O.S.; Konar, N.; Palabiyik, I.; Tamtürk, F. Using spray-dried microalgae in ice cream formulation as a natural colorant: Effect on physicochemical and functional properties. Algal Res. 2020, 47, 101811. [Google Scholar] [CrossRef]
- Garcia, E.S.; van Leeuwen, J.J.A.; Safi, C.; Sijtsma, L.; van den Broek, L.A.M.; Eppink, M.H.M.; Wijffels, R.H.; van den Berg, C. Techno-Functional Properties of Crude Extracts from the Green Microalga Tetraselmis suecica. J. Agric. Food Chem. 2018, 66, 7831–7838. [Google Scholar] [CrossRef]
- Bertsch, P.; Böcker, L.; Mathys, A.; Fischer, P. Proteins from microalgae for the stabilization of fluid interfaces, emulsions, and foams. Trends Food Sci. Technol. 2021, 108, 326–342. [Google Scholar] [CrossRef]
- Peighambardoust, S.H.; Karami, Z.; Pateiro, M.; Lorenzo, J.M. A Review on Health-Promoting, Biological, and Functional Aspects of Bioactive Peptides in Food Applications. Biomolecules 2021, 11, 631. [Google Scholar] [CrossRef] [PubMed] [PubMed Central]
- Toldrá, F.; Mora, L. Chapter One—Peptidomics as a useful tool in the follow-up of food bioactive peptides. In Advances in Food and Nutrition Research; Toldrá, F., Ed.; Academic Press: Cambridge, MA, USA, 2022; Volume 100, pp. 1–47. [Google Scholar] [CrossRef]
- Mótyán, J.A.; Tóth, F.; Tőzsér, J. Research applications of proteolytic enzymes in molecular biology. Biomolecules 2013, 3, 923–942. [Google Scholar] [CrossRef] [PubMed] [PubMed Central]
- Ko, S.-C.; Kim, D.; Jeon, Y.-J. Protective effect of a novel antioxidative peptide purified from a marine Chlorella ellipsoidea protein against free radical-induced oxidative stress. Food Chem. Toxicol. 2012, 50, 2294–2302. [Google Scholar] [CrossRef] [PubMed]
- Tadesse, S.A.; Emire, S.A. Production and processing of antioxidant bioactive peptides: A driving force for the functional food market. Heliyon 2020, 6, e04765. [Google Scholar] [CrossRef] [PubMed]
- Alcocer, L.A.; Bryce, A.; De Padua Brasil, D.; Lara, J.; Cortes, J.M.; Quesada, D.; Rodriguez, P. The Pivotal Role of Angiotensin-Converting Enzyme Inhibitors and Angiotensin II Receptor Blockers in Hypertension Management and Cardiovascular and Renal Protection: A Critical Appraisal and Comparison of International Guidelines. Am. J. Cardiovasc. Drugs 2023, 23, 663–682. [Google Scholar] [CrossRef] [PubMed] [PubMed Central]
- Sheih, I.C.; Wu, T.K.; Fang, T.J. Antioxidant Properties of a New Antioxidative Peptide from Algae Protein Waste Hydrolysate in Different Oxidation Systems. Bioresour. Technol. 2009, 100, 3419–3425. [Google Scholar] [CrossRef]
- Suetsuna, K.; Chen, J.-R. Identification of Antihypertensive Peptides from Peptic Digest of Two Microalgae, Chlorella vulgaris and Spirulina platensis. Mar. Biotechnol. 2001, 3, 305–309. [Google Scholar] [CrossRef]
- Verspreet, J.; Soetemans, L.; Gargan, C.; Hayes, M.; Bastiaens, L. Nutritional Profiling and Preliminary Bioactivity Screening of Five Micro-Algae Strains Cultivated in Northwest Europe. Foods 2021, 10, 1516. [Google Scholar] [CrossRef] [PubMed] [PubMed Central]
- Fang, Y.; Cai, Y.; Zhang, Q.; Ruan, R.; Zhou, T. Research status and prospects for bioactive compounds of Chlorella species: Composition, extraction, production, and biosynthesis pathways. Process Saf. Environ. Prot. 2024, 191 Pt A, 345–355. [Google Scholar] [CrossRef]
- Li, Y.; Aiello, G.; Fassi, E.M.A.; Boschin, G.; Bartolomei, M.; Bollati, C.; Roda, G.; Arnoldi, A.; Grazioso, G.; Lammi, C. Investigation of Chlorella pyrenoidosa Protein as a Source of Novel Angiotensin I-Converting Enzyme (ACE) and Dipeptidyl Peptidase-IV (DPP-IV) Inhibitory Peptides. Nutrients 2021, 13, 1624. [Google Scholar] [CrossRef] [PubMed]
- Jiang, Q.; Chen, Q.; Zhang, T.; Liu, M.; Duan, S.; Sun, X. The Antihypertensive Effects and Potential Molecular Mechanism of Microalgal Angiotensin I-Converting Enzyme Inhibitor-Like Peptides: A Mini Review. Int. J. Mol. Sci. 2021, 22, 4068. [Google Scholar] [CrossRef] [PubMed] [PubMed Central]
- Hayes, M.; Naik, A.; Mora, L.; Iñarra, B.; Ibarruri, J.; Bald, C.; Cariou, T.; Reid, D.; Gallagher, M.; Dragøy, R.; et al. Generation, Characterisation and Identification of Bioactive Peptides from Mesopelagic Fish Protein Hydrolysates Using In Silico and In Vitro Approaches. Mar. Drugs 2024, 22, 297. [Google Scholar] [CrossRef] [PubMed]
- Hayes, M.; Aluko, R.E.; Aurino, E.; Mora, L. Generation of Bioactive Peptides from Porphyridium sp. and Assessment of Their Potential for Use in the Prevention of Hypertension, Inflammation and Pain. Mar. Drugs 2023, 21, 422. [Google Scholar] [CrossRef] [PubMed]
- Hayes, M.; Mora, L.; Lucakova, S. Identification of Bioactive Peptides from Nannochloropsis oculata Using a Combination of Enzymatic Treatment, in Silico Analysis and Chemical Synthesis. Biomolecules 2022, 12, 1806. [Google Scholar] [CrossRef] [PubMed]
- Morena, F.; Cencini, C.; Calzoni, E.; Martino, S.; Emiliani, C. A Novel Workflow for In Silico Prediction of Bioactive Peptides: An Exploration of Solanum lycopersicum By-Products. Biomolecules 2024, 14, 930. [Google Scholar] [CrossRef]
- Fernando, R.; Sun, X.; Rupasinghe, H.P.V. Production of Bioactive Peptides from Microalgae and Their Biological Properties Related to Cardiovascular Disease. Macromol 2024, 4, 582–596. [Google Scholar] [CrossRef]
- de Souza, M.F.; Rodrigues, M.A.; Freitas, S.P.; da Silva Bon, E.P. Effect of milling and enzymatic hydrolysis in the production of glucose from starch-rich Chlorella sorokiniana biomass. Algal Res. 2020, 50, 101961. [Google Scholar] [CrossRef]
- Garcia-Moscoso, J.L.; Obeid, W.; Kumar, S.; Hatcher, P.G. Flash hydrolysis of microalgae (Scenedesmus sp.) for protein extraction and production of biofuels intermediates. J. Supercrit. Fluids 2013, 82, 183–190. [Google Scholar] [CrossRef]
- Vogelsang-O’Dwyer, M.; Sahin, A.W.; Arendt, E.K.; Zannini, E. Enzymatic Hydrolysis of Pulse Proteins as a Tool to Improve Techno-Functional Properties. Foods 2022, 11, 1307. [Google Scholar] [CrossRef] [PubMed] [PubMed Central]
- Romero-García, J.M.; González-López, C.V.; Brindley, C.; Fernández-Sevilla, J.M.; Acién-Fernández, F.G. Simulation and Techno-Economical Evaluation of a Microalgal Biofertilizer Production Process. Biology 2022, 11, 1359. [Google Scholar] [CrossRef] [PubMed]
- Tokmakov, A.A.; Kurotani, A.; Sato, K.I. Protein pI and Intracellular Localization. Front. Mol. Biosci. 2021, 8, 775736. [Google Scholar] [CrossRef] [PubMed] [PubMed Central]
- Isengard, H.-D. Water content, one of the most important properties of food. Food Control 2001, 12, 395–400. [Google Scholar] [CrossRef]
- Fadillah, U.; Dirpan, A.; Syarifuddin, A. Fat replacers in food system: A focus on ingredients, fabrication methods, and applications in food products. Future Foods 2024, 10, 100490. [Google Scholar] [CrossRef]
- Liu, S.; Sun, H.; Ma, G.; Zhang, T.; Wang, L.; Pei, H.; Li, X.; Gao, L. Insights into flavor and key influencing factors of Maillard reaction products: A recent update. Front. Nutr. 2022, 9, 973677. [Google Scholar] [CrossRef] [PubMed] [PubMed Central]
- Ma, K.K.; Grossmann, L.; Nolden, A.A.; McClements, D.J.; Kinchla, A.J. Functional and physical properties of commercial pulse proteins compared to soy derived protein. Future Foods 2022, 6, 100155. [Google Scholar] [CrossRef]
- Ramírez-Rodrigues, M.M.; Estrada-Beristain, C.; Metri-Ojeda, J.; Pérez-Alva, A.; Baigts-Allende, D.K. Spirulina platensis Protein as Sustainable Ingredient for Nutritional Food Products Development. Sustainability 2021, 13, 6849. [Google Scholar] [CrossRef]
- Karabulut, G.; Purkiewicz, A.; Goksen, G. Recent developments and challenges in algal protein and peptide extraction strategies, functional and technological properties, bioaccessibility, and commercial applications. Compr. Rev. Food Sci. Food Saf. 2024, 23, e13372. [Google Scholar] [CrossRef]
- Severo, I.A.; de Lira, G.S.; Ambati, R.R.; Gokare, R.A.; Vargas JV, C.; Ordonez, J.; Mariano, A.B. Disruptive potential of microalgae proteins: Shaping the future of the Food Industry. Future Foods 2024, 9, 100318. [Google Scholar] [CrossRef]
- Zayas, J.F. Oil and Fat Binding Properties of Proteins. In Functionality of Proteins in Food; Springer: Berlin/Heidelberg, Germany, 1997. [Google Scholar] [CrossRef]
- Suo, Q.; Wang, J.; Wu, N.; Geng, L.; Zhang, Q.; Yue, Q. Discovery of a novel nanomolar angiotensin-1-converting enzyme inhibitory peptide with unusual binding mechanisms derived from Chlorella pyrenoidosa. Macromol. 2024, 280, 135873. [Google Scholar] [CrossRef]
- Tejano, L.A.; Peralta, J.P.; Yap, E.E.S.; Chang, Y.-W. Bioactivities of enzymatic protein hydrolysates derived from Chlorella sorokiniana. Food Sci. Nutr. 2019, 7, 2381–2390. [Google Scholar] [CrossRef]
- Alzahrani, M. Proteins and Their Enzymatic Hydrolysates from the Marine Diatom Nitzschia laevis and Screening for Their In Vitro Antioxidant, Antihypertension, Anti-Inflammatory and Antimicrobial Activities. Ph.D. Thesis, ResearchSpace@ Auckland, Auckland, New Zealand, 2018. [Google Scholar]
- Afify, A.E.M.R.; El Baroty, G.S.; El Baz, F.K.; Abd El Baky, H.H.; Murad, S.A. Scenedesmus obliquus: Antioxidant and antiviral activity of proteins hydrolyzed by three enzymes. J. Genet. Eng. Biotechnol. 2018, 16, 399–408. [Google Scholar] [CrossRef] [PubMed] [PubMed Central]
- Lafarga, T.; O’Connor, P.; Hayes, M. Identification of novel dipeptidyl peptidase-IV and angiotensin-I-converting enzyme inhibitory peptides from meat proteins using in silico analysis. Peptides 2014, 59, 53–62. [Google Scholar] [CrossRef] [PubMed]
- Mooney, C.; Haslam, N.J.; Pollastri, G.; Shields, D.C. Towards the Improved Discovery and Design of Functional Peptides: Common Features of Diverse Classes Permit Generalized Prediction of Bioactivity. PLoS ONE 2012, 7, e45012. [Google Scholar] [CrossRef]
- Khatun, M.S.; Hasan, M.M.; Kurata, H. PreAIP: Computational Prediction of Anti-inflammatory Peptides by Integrating Multiple Complementary Features. Front. Genet. 2019, 10, 129. [Google Scholar] [CrossRef] [PubMed] [PubMed Central]
- Liu, Z.; Zhu, Y.; Wang, W.; Zhou, X.; Chen, G.; Liu, Y. Seven novel umami peptides from Takifugu rubripes and their taste characteristics. Food Chem. 2020, 330, 127204. [Google Scholar] [CrossRef] [PubMed]
- Chen, X.; Huang, J.; He, B. AntiDMPpred: A web service for identifying anti-diabetic peptides. PeerJ 2022, 10, e13581. [Google Scholar] [CrossRef]
- Naseri, A.; Marinho, G.S.; Holdt, S.L.; Bartela, J.M.; Jacobsen, C. Enzyme-assisted extraction and characterization of protein from red seaweed Palmaria palmata. Algal Res. 2020, 47, 101849. [Google Scholar] [CrossRef]
- Horne, D. Casein Interactions: Casting Light on the Black Boxes, the Structure in Dairy Products. Int. Dairy J. 1998, 8, 171–177. [Google Scholar] [CrossRef]
- Lupatini, A.L.; Colla, L.M.; Canan, C.; Colla, E. Potential application of microalga Spirulina platensis as a protein source. J. Sci. Food Agric. 2017, 97, 724–732. [Google Scholar] [CrossRef] [PubMed]
- Padial-Domínguez, M.; Espejo-Carpio, F.J.; Pérez-Gálvez, R.; Guadix, A.; Guadix, E.M. Optimization of the Emulsifying Properties of Food Protein Hydrolysates for the Production of Fish Oil-in-Water Emulsions. Foods 2020, 9, 636. [Google Scholar] [CrossRef] [PubMed] [PubMed Central]
- Daskaya-Dikmen, C.; Yucetepe, A.; Karbancioglu-Guler, F.; Daskaya, H.; Ozcelik, B. Angiotensin-I-Converting Enzyme (ACE)-Inhibitory Peptides from Plants. Nutrients 2017, 9, 316. [Google Scholar] [CrossRef] [PubMed] [PubMed Central]
- Sahoo, S.; Samantaray, M.; Jena, M.; Gosu, V.; Bhuyan, P.P.; Shin, D.; Pradhan, B. In Vitro and in silico studies to explore potent antidiabetic inhibitor against human pancreatic alpha-amylase from the methanolic extract of the green microalga Chlorella vulgaris. J. Biomol. Struct. Dyn. 2024, 42, 8089–8099. [Google Scholar] [CrossRef] [PubMed]
- Keller, C.; Wei, P.; Wancewicz, B.; Cross, T.L.; Rey, F.E.; Li, L. Extraction optimization for combined metabolomics, peptidomics, and proteomics analysis of gut microbiota samples. J. Mass Spectrom. 2021, 56, e4625. [Google Scholar] [CrossRef] [PubMed] [PubMed Central]
- Sheih, I.C.; Fang, T.J.; Wu, T.K.; Lin, P.H. Anticancer and antioxidant activities of the peptide fraction from algae protein waste. J. Agric. Food Chem. 2010, 58, 1202–1207. [Google Scholar] [CrossRef] [PubMed]
- da Silva, M.E.T.; Leal, M.A.; de Oliveira Resende, M.; Martins, M.A.; Coimbra, J.S.d.R. Scenedesmus obliquus protein concentrate: A sustainable alternative emulsifier for the food industry. Algal Res. 2021, 59, 102468. [Google Scholar] [CrossRef]
- Hoyle, N.T.; Merrltt, J.H. Quality of fish protein hydrolysates from herring (Clupea harengus). J. Food Sci. 1994, 59, 76–79. [Google Scholar] [CrossRef]
- Moore, J.C.; DeVries, J.W.; Lipp, M.; Griffiths, J.C.; Abernethy, D.R. Total Protein Methods and Their Potential Utility to Reduce the Risk of Food Protein Adulteration. Compr. Rev. Food Sci. Food Saf. 2010, 9, 330–357. [Google Scholar] [CrossRef] [PubMed]
- Beuchat, L.R.; Cherry, J.F.; Quinn, M.R. Physicochemical properties of peanut flour as affected by proteolysis. J. Agric. Food Chem. 1975, 23, 617–620. [Google Scholar] [CrossRef] [PubMed]
- Bencini, M. Functional properties of drum-dried chickpea (Cicer arietinum L.) flours. J. Food Sci. 1986, 51, 1518–1521. [Google Scholar] [CrossRef]
- Naczk, M.; Amarowicz, R.; Sullivan, A.; Shahidi, F. Current Research Developments on Polyphenolics of Rapeseed/Canola: A Review. Food Chem. 1998, 62, 489–502. [Google Scholar] [CrossRef]




| Substrate | Enzyme | DH% |
|---|---|---|
| Chlorella mix | Viscozyme | 25.41 |
| Chlorella mix | Viscozyme + Alcalase | 48.44 |
| Scenedesmus mix | Viscozyme | 27.46 |
| Scenedesmus mix | Viscozyme + Alcalase | 46.35 |
| Chlorella Mix Fractions | ||||
|---|---|---|---|---|
| Chlorella Mix Whole Biomass | Chlorella Mix Hydrolysate | Chlorella Mix Permeate | Chlorella Mix Retentate | |
| Protein % | 38.02 | 35.80 | 44.73 | 28.72 |
| Fat % | 13.95 | 13.61 | 0.65 | 12.05 |
| Moisture % | 7.93 | 8.85 | 16.16 | 8.16 |
| Ash % | 4.85 | 5.27 | 10.10 | 10.33 |
| Scenedesmus mix fractions | ||||
| Scenedesmus mix whole biomass | Scenedesmus mix hydrolysate | Scenedesmus mix permeate | Scenedesmus mix retentate | |
| Protein % | 37.81 | 36.74 | 41.14 | 26.37 |
| Fat % | 10.16 | 6.32 | 1.07 | 5.58 |
| Moisture % | 12.96 | 12.48 | 16.93 | 31.35 |
| Ash % | 2.03 | 4.53 | 7.50 | 2.08 |
| Sample | ACE-1 Inhibition (%) | Antioxidant Activity (%) | Relative α-Amylase Inhibition (%) |
|---|---|---|---|
| Chlorella mix 3 kDa Permeate | 88.07 ± 1.69 | 72.54 ± 18.16 | 71.32 ± 12.30 |
| Scenedesmus mix 3 kDa Permeate | 86.24 ± 2.89 | 76.17 ± 8.92 | 28.78 ± 0.77 |
| Peptide Sequence | Protein of Origin | Peptide Ranker | BIOPEP-UWM Search | PreAIP | Umami-MRNN | Anti-DMP-Pred | Microalgal Biomass Origin |
|---|---|---|---|---|---|---|---|
| YDYIGNNPAKGGLF (99%) | Photosystem II CP47 reaction center protein OS = Pdinomonas minor OX = 3159 GN = pbB PE = 3 SV = 1; | 0.735 | Novel | 0.428 (medium confidence anti-inflammatory peptide (AIP)) | non-umami | 0.49 (Not an anti-diabetic peptide) | Chlorella sp. mix-derived peptide |
| YIGNNPAKGGLF (95%) | Photosystem II CP47 reaction center protein OS = Pdinomonas minor OX = 3159 GN = pbB PE = 3 SV = 1; | 0.806 | Novel | 0.374 (low confidence AIP) | umami, predicted threshold: 29.685139 mmol/L | 0.46 (Not an anti-diabetic peptide) | Chlorella sp. mix-derived peptide |
| IEWYGPDRPKFL (99%) | Chlorophyll a-b binding protein, chloroplastic OS = Chlamydomonas reinhardtii OX = 3055 GN = LhcII-3 PE = 1 V = 1 | 0.811 | Novel | 0.627 (High confidence AIP) | non-umami | 0.33 (Not an anti-diabetic peptide) | Scenedesmus sp. mix-derived peptide |
| RSPTGEIIFGGETM (99%) | Photosystem II CP47 reaction center protein OS = Pdinomonas minor OX = 3159 GN = pbB PE = 3 SV = 1; | 0.258 | Novel | 0.451 (Medium confidence AIP) | umami, predicted threshold: 10.636716 mmol/L | 0.6 (likely to have anti-diabetic properties) | Scenedesmus sp. mix-derived peptide |
| TVQIPGGERVPFLF (99%) | Oxygen-evolving enhancer (Fragment) OS = Cyanidioschyzon merolae OX = 45,157 GN = pbO PE = 3 SV = 1 | 0.592 | Novel | 0.522 (High confidence AIP) | umami, predicted threshold: 19.447886 mmol/L | 0.57 (likely to have anti-diabetic properties) | Scenedesmus sp. mix-derived peptide |
| IEWYGPDRPKFLGPF (99%) | Chlorophyll a-b binding protein, chloroplastic OS = Chlamydomonas reinhardtii OX = 3055 GN = LhcII-3 PE = 1 V = 1 | 0.904 | Novel | 0.472 (High confidence AIP) | non-umami | 0.43 (Not an anti-diabetic peptide) | Scenedesmus sp. mix-derived peptide |
| Algal Mixture Name | Composition | (%) | Form Delivered |
|---|---|---|---|
| Scenedesmus mixture | Scenedesmus sp. | 80 | Spray-dried |
| Diatomee | 17 | ||
| Chlorella sp. | 3 | ||
| Chlorella mixture | Chlorella sp. | 92.5 | Spray-dried |
| Scenedesmus sp. | 5 | ||
| Chlorococcum | 2.5 |
Disclaimer/Publisher’s Note: The statements, opinions and data contained in all publications are solely those of the individual author(s) and contributor(s) and not of MDPI and/or the editor(s). MDPI and/or the editor(s) disclaim responsibility for any injury to people or property resulting from any ideas, methods, instructions or products referred to in the content. |
© 2025 by the authors. Licensee MDPI, Basel, Switzerland. This article is an open access article distributed under the terms and conditions of the Creative Commons Attribution (CC BY) license (https://creativecommons.org/licenses/by/4.0/).
Share and Cite
Aurino, E.; Mora, L.; Marzocchella, A.; Kuchendorf, C.M.; Ackermann, B.; Hayes, M. Functional and Bioactive Benefits of Selected Microalgal Hydrolysates Assessed In Silico and In Vitro. Mar. Drugs 2025, 23, 53. https://doi.org/10.3390/md23020053
Aurino E, Mora L, Marzocchella A, Kuchendorf CM, Ackermann B, Hayes M. Functional and Bioactive Benefits of Selected Microalgal Hydrolysates Assessed In Silico and In Vitro. Marine Drugs. 2025; 23(2):53. https://doi.org/10.3390/md23020053
Chicago/Turabian StyleAurino, Elena, Leticia Mora, Antonio Marzocchella, Christina M. Kuchendorf, Bärbel Ackermann, and Maria Hayes. 2025. "Functional and Bioactive Benefits of Selected Microalgal Hydrolysates Assessed In Silico and In Vitro" Marine Drugs 23, no. 2: 53. https://doi.org/10.3390/md23020053
APA StyleAurino, E., Mora, L., Marzocchella, A., Kuchendorf, C. M., Ackermann, B., & Hayes, M. (2025). Functional and Bioactive Benefits of Selected Microalgal Hydrolysates Assessed In Silico and In Vitro. Marine Drugs, 23(2), 53. https://doi.org/10.3390/md23020053

