Chitosan from Marine Amphipods Inhibits the Wilt Banana Pathogen Fusarium oxysporum f. sp. Cubense Tropical Race 4
Abstract
:1. Introduction
2. Results
2.1. Chitosan Extraction
2.2. Spectroscopical Characterization of Chitin and Chitosan
Deacetylation Degree (%DD)
2.3. Effect of Chitosan on Spore Germination
2.3.1. Pochonia chlamydosporia Isolate 123
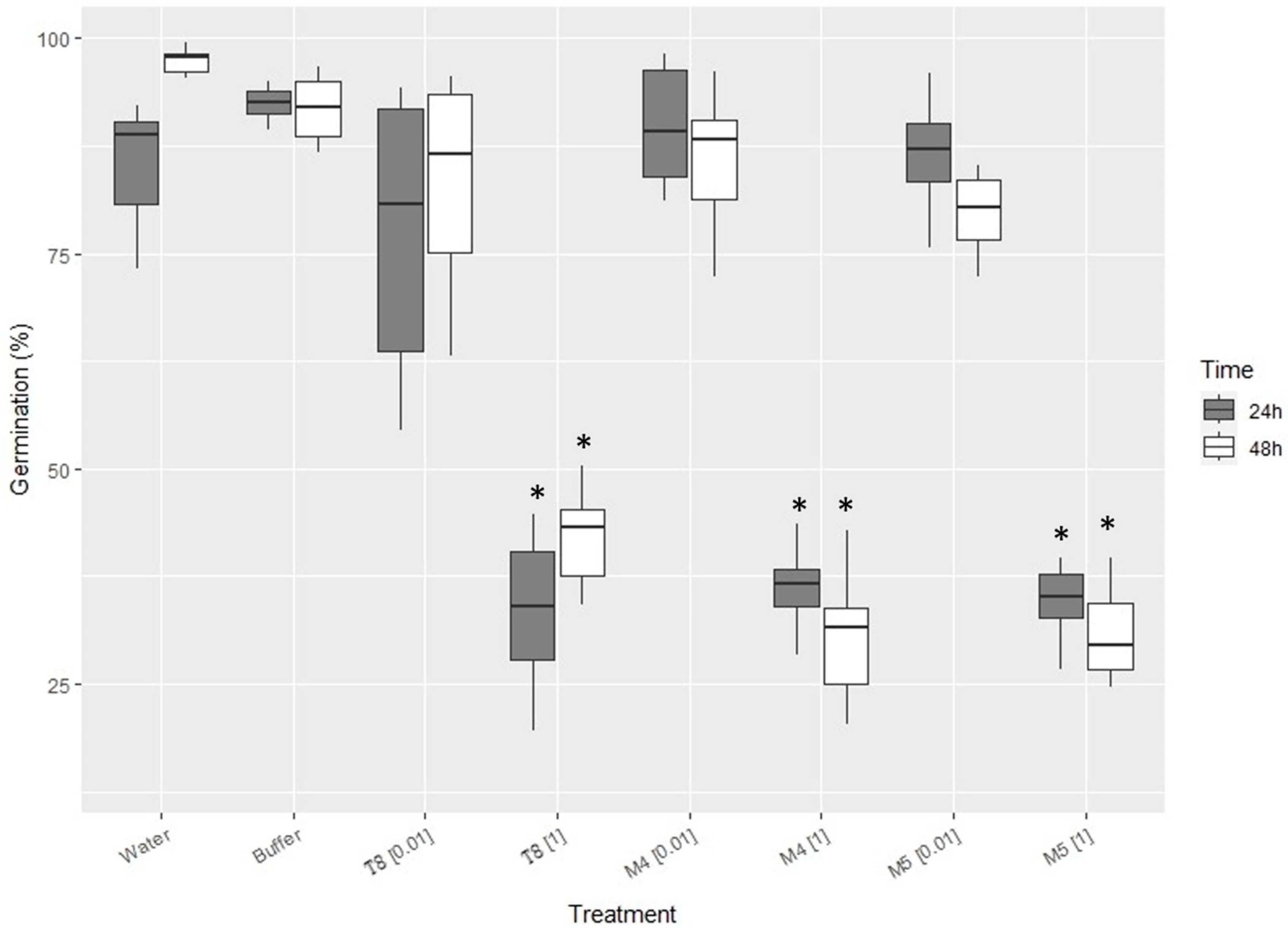
2.3.2. Fusarium oxysporum f. sp. cubense Tropical Race 4
3. Discussion
4. Conclusions
5. Materials and Methods
5.1. Sample Collection and Preparation
5.2. Chitosan Extraction
5.3. Chitosan Characterization
5.4. Preparation of Chitosan Solutions
5.5. Effect of Chitosan on Spore Germination
5.6. Statistical Analysis
Author Contributions
Funding
Institutional Review Board Statement
Data Availability Statement
Acknowledgments
Conflicts of Interest
References
- Lillebø, A.I.; Pita, C.; Rodrigues, J.G.; Ramos, S.; Villasante, S. How can marine ecosystem services support the Blue Growth agenda? Mar. Policy 2017, 81, 132–142. [Google Scholar] [CrossRef]
- FAO Agriculture Organization of the United Nations. Fisheries Department. The State of World Fisheries and Aquaculture, 2014 (Volume 3). Food and Agriculture Org. Available online: https://www.fao.org/3/i3720e/i3720e.pdf (accessed on 1 July 2023).
- COM/2021/236 Final. Strategic Guidelines for a More Sustainable and Competitive EU Aquaculture for the Period 2021 to 2030. Communication from the Commission to the European Parliament, the Council, the European Economic and Social Committee and the Committee of the Regions. 2021. Available online: https://eur-lex.europa.eu/legal-content/ES/TXT/HTML/?uri=CELEX:52021DC0236&from=EN (accessed on 7 July 2023).
- Kalantzi, I.; Karakassis, I. Benthic impacts of fish farming: Meta-analysis of community and geochemical data. Mar. Pollut. Bull. 2006, 52, 484–493. [Google Scholar] [CrossRef]
- Rosa, J.; Lemos, M.F.; Crespo, D.; Nunes, M.; Freitas, A.; Ramos, F.; Leston, S. Integrated multitrophic aquaculture systems–Potential risks for food safety. Trends Food Sci. Technol. 2020, 96, 79–90. [Google Scholar] [CrossRef]
- Gonzalez-Silvera, D.; Izquierdo-Gomez, D.; Fernandez-Gonzalez, V.; Martínez-López, F.J.; López-Jiménez, J.A.; Sanchez-Jerez, P. Mediterranean fouling communities assimilate the organic matter derived from coastal fish farms as a new trophic resource. Mar. Pollut. Bul. 2015, 91, 45–53. [Google Scholar] [CrossRef] [PubMed]
- Fernandez-Gonzalez, V.; Toledo-Guedes, K.; Valero-Rodriguez, J.M.; Agraso, M.D.M.; Sanchez-Jerez, P. Harvesting amphipods applying the integrated multitrophic aquaculture (IMTA) concept in off-shore areas. Aquaculture 2018, 489, 62–69. [Google Scholar] [CrossRef]
- MacArthur, E. Towards the Circular Economy: Accelerating the Scale-Up across Global Supply Chains; World Economic Forum: Cologny, Switzerland, 2014. [Google Scholar]
- Lett, L.A. Las amenazas globales, el reciclaje de residuos y el concepto de economía circular. Rev. Argent. Microbiol. 2014, 46, 1–2. [Google Scholar] [CrossRef] [PubMed]
- Martínez-Vázquez, R.M.; Milán-García, J.; de Pablo Valenciano, J. Challenges of the Blue Economy: Evidence and research trends. Environ. Sci. Eur. 2021, 33, 61. [Google Scholar] [CrossRef]
- König, G.M.; Kehraus, S.; Seibert, S.F.; Abdel-Lateff, A.; Müller, D. Natural products from marine organisms and their associated microbes. ChemBioChem 2006, 7, 229–238. [Google Scholar] [CrossRef]
- Cohen-Kupiec, R.; Chet, I. The molecular biology of chitin digestion. Curr. Opin. Biotechnol. 1998, 9, 270–277. [Google Scholar] [CrossRef]
- Kumar, M.N.V.R. A review of chitin and chitosan applications. React. Funct. Polym. 2000, 46, 1–27. [Google Scholar] [CrossRef]
- Pillai, C.K.S.; Paul, W.; Sharma, C.P. Chitin and chitosan polymers: Chemistry, solubility and fiber formation. Prog. Polym. Sci. 2009, 34, 641–678. [Google Scholar] [CrossRef]
- Mármol, Z.; Páez, G.; Rincón, M.; Araujo, K.; Aiello, C.; Chandler, C.; y Gutiérrez, E. Quitina y Quitosano polímeros amigables. Una revisión de sus aplicaciones/Chitin and Chitosan friendly polymer. A review of their applications. Rev. Tecnocientífica URU 2013, 1, 53–58. [Google Scholar]
- Zhao, D.; Yu, S.; Sun, B.; Gao, S.; Guo, S.; Zhao, K. Biomedical applications of chitosan and its derivative nanoparticles. Polymers 2018, 10, 462. [Google Scholar] [CrossRef] [PubMed]
- Palma-Guerrero, J.; Jansson, H.B.; Salinas, J.; López-Llorca, L.V. Effect of chitosan on hyphal growth and spore germination of plant pathogenic and biocontrol fungi. J. Appl. Microbiol. 2008, 104, 541–553. [Google Scholar] [CrossRef] [PubMed]
- Al-Hetar, M.Y.; Zainal Abidin, M.A.; Sariah, M.; Wong, M.Y. Antifungal activity of chitosan against Fusarium oxysporum f. sp. cubense. J. Appl. Polym. Sci. 2011, 120, 2434–2439. [Google Scholar] [CrossRef]
- Lopez-Moya, F.; Martin-Urdiroz, M.; Oses-Ruiz, M.; Were, V.M.; Fricker, M.D.; Littlejohn, G.; Lopez-Llorca, L.V.; Talbot, N.J. Chitosan inhibits septin-mediated plant infection by the rice blast fungus Magnaporthe oryzae in a protein kinase C and Nox1 NADPH oxidase-dependent manner. New Phytol. 2021, 230, 1578–1593. [Google Scholar] [CrossRef]
- Ren, J.; Tong, J.; Li, P.; Huang, X.; Dong, P.; Ren, M. Chitosan is an effective inhibitor against potato dry rot caused by Fusarium oxysporum. Physiol. Mol. Plant. Pathol. 2021, 113, 101601. [Google Scholar] [CrossRef]
- Palma-Guerrero, J.; Huang, I.C.; Jansson, H.B.; Salinas, J.; Lopez-Llorca, L.V.; Read, N.D. Chitosan permeabilizes the plasma membrane and kills cells of Neurospora crassa in an energy dependent manner. Fungal Genet. Biol. Fungal Genet. Biol. 2009, 46, 585–594. [Google Scholar] [CrossRef]
- Palma-Guerrero, J.; Lopez-Jimenez, J.A.; Pérez-Berná, A.J.; Huang, I.C.; Jansson, H.B.; Salinas, J.; Villalaín, J.; Read, N.D.; Lopez-Llorca, L.V. Membrane fluidity determines sensitivity of filamentous fungi to chitosan. Mol. Microbiol. 2010, 75, 1021–1032. [Google Scholar] [CrossRef]
- Larriba, E.; Jaime, M.D.; Carbonell-Caballero, J.; Conesa, A.; Dopazo, J.; Nislow, C.; Martín-Nieto, J.; Lopez-Llorca, L.V. Sequencing and functional analysis of the genome of a nematode egg-parasitic fungus, Pochonia chlamydosporia. Fungal Genet. Biol. 2014, 65, 69–80. [Google Scholar] [CrossRef]
- Aranda-Martinez, A.; Lenfant, N.; Escudero, N.; Zavala-Gonzalez, E.A.; Henrissat, B.; Lopez-Llorca, L.V. CAZyme content of Pochonia chlamydosporia reflects that chitin and chitosan modification are involved in nematode parasitism. Env. Microbiol. 2016, 18, 4200–4215. [Google Scholar] [CrossRef] [PubMed]
- Kaya, M.; Dudakli, F.; Asan-Ozusaglam, M.; Cakmak, Y.S.; Baran, T.; Mentes, A.; Erdogan, S. Porous and nanofiber α-chitosan obtained from blue crab (Callinectes sapidus) tested for antimicrobial and antioxidant activities. LWT-Food Sci. Technol. 2016, 65, 1109–1117. [Google Scholar] [CrossRef]
- Smith, E.; Dent, G. Modern Raman Spectroscopy: A Practical Approach; John Wiley and Sons: Hoboken, NJ, USA, 2019. [Google Scholar]
- Agarwal, U.P. Analysis of cellulose and lignocellulose materials by Raman spectroscopy: A review of the current status. Molecules 2019, 24, 1659. [Google Scholar] [CrossRef]
- Escobar Sierra, D.M.; Castro Ramírez, A.M.; y Vergara Castrillón, N.A. Determining the Relation between the Proportion of the Amino Group and the Degree of Deacetylation of Chitosan. Rev. Cienc. 2014, 18, 73–88. [Google Scholar]
- Grifoll-Romero, L.; Pascual, S.; Aragunde, H.; Biarnés, X.; Planas, A. Chitin deacetylases: Structures, specificities, and biotech applications. Polymers 2018, 10, 352. [Google Scholar] [CrossRef]
- Escudero, N.; Sebastiao, R.F.; Lopez-Moya, F.; Naranjo-Ortiz, M.A.; Marin-Ortiz, A.I.; Thornton, C.R.; Lopez-Llorca, L.V. Chitosan enhances parasitism of Meloidogyne javanica eggs by the nematophagous fungus Pochonia chlamydosporia. Fungal Biol. 2016, 120, 572–585. [Google Scholar] [CrossRef] [PubMed]
- Escudero, N.; Lopez-Moya, F.; Ghahremani, Z.; Zavala-Gonzalez, E.A.; Alaguero-Cordovilla, A.; Ros-Ibañez, C.; Lopez-Llorca, L.V. Chitosan increases tomato root colonization by Pochonia chlamydosporia and their combination reduces root-knot nematode damage. Front. Plant Sci. 2017, 8, 1415. [Google Scholar] [CrossRef]
- Lopez-Moya, F.; Suarez-Fernandez, M.; Lopez-Llorca, L.V. Molecular Mechanisms of Chitosan Interactions with Fungi and Plants. Int. J. Mol. Sci. 2019, 20, 332. [Google Scholar] [CrossRef]
- Jabnoun-Khiareddine, H.; El-Mohamed, R.S.R.; Abdel-Kareem, F.; Aydi Ben Abdallah, R.; Gueddes-Chahed, M.; Daami-Remadi, M. Variation in chitosan and salicylic acid efficacy towards soil-borne and air-borne fungi and their suppressive effect of tomato wilt severity. J. Plant Pathol. Microbiol. 2015, 6, 325. [Google Scholar] [CrossRef]
- Mejdoub-Trabelsi, B.; Touihri, S.; Ammar, N.; Riahi, A.; Daami-Remadi, M. Effect of chitosan for the control of potato diseases caused by Fusarium species. J. Phytopathol. 2020, 168, 18–27. [Google Scholar] [CrossRef]
- Lopez-Moya, F.; Escudero, N.; Zavala-Gonzalez, E.A.; Esteve-Bruna, D.; Blázquez, M.A.; Alabadí, D.; Lopez-Llorca, L.V. Induction of auxin biosynthesis and WOX5 repression mediate changes in root development in Arabidopsis exposed to chitosan. Sci. Rep. 2017, 7, 16813. [Google Scholar] [CrossRef] [PubMed]
- Cauchie, H.M. Chitin production by arthropods in the hydrosphere. Hydrobiologia 2002, 470, 63–95. [Google Scholar] [CrossRef]
- Escobar Sierra, D.M.; Urrea Llano, C.A.; Gutiérrez Guerra, M.; y Zapata Ocampo, P.A. Producción de matrices de quitosano extraído de crustáceos. Rev. Ing. Biomédica 2011, 5, 20–25. [Google Scholar]
- Queiroz, M.F.; Teodosio Melo, K.R.; Sabry, D.A.; Sassaki, G.L.; Rocha, H.A.O. Does the use of chitosan contribute to oxalate kidney stone formation? Mar. Drugs 2014, 13, 141–158. [Google Scholar] [CrossRef]
- Kumari, S.; Rath, P.; Kumar, A.S.H.; y Tiwari, T.N. Extraction and characterization of chitin and chitosan from fishery waste by chemical method. Environ. Technol. Innov. 2015, 3, 77–85. [Google Scholar] [CrossRef]
- Paulino, A.T.; Simionato, J.I.; Garcia, J.C.; Nozaki, J. Characterization of chitosan and chitin produced from silkworm crysalides. Carbohydr. Polym. 2006, 64, 98–103. [Google Scholar] [CrossRef]
- Rinaudo, M. Chitin and chitosan: Properties and applications. Prog. Polym. Sci. 2006, 31, 603–632. [Google Scholar] [CrossRef]
- Yen, M.T.; Yang, J.H.; Mau, J.L. Physicochemical characterization of chitin and chitosan from crab shells. Carbohydr. Polym. 2009, 75, 15–21. [Google Scholar] [CrossRef]
- R Core Team. R: A Language and Environment for Statistical Computing; R Foundation for Statistical Computing: Vienna, Austria, 2020; Available online: https://www.R-project.org/ (accessed on 20 July 2023).



| Step | Sample Weight (g) | ||||
|---|---|---|---|---|---|
| M1 | M2 | M3 | M4 | M5 | |
| Ground-dried amphipods | 1.205 | 1.302 | 1.188 | 14.1 | 49.31 |
| Demineralization | 0.416 | 0.56 | 0.469 | 5.45 | 20.52 |
| Deproteinization | 0.156 | 0.151 | 0.121 | 2.955 | 2.85 |
| Chitin | 0.093 | 0.083 | 0.064 | 0.983 | 2.024 |
| Chitosan | 0.034 | 0.037 | 0.027 | 0.312 | 1.198 |
| Chitin Yield (%) | 7.72 | 6.37 | 5.39 | 6.97 | 4.1 |
| Chitosan Yield (%) | 2.82 | 2.84 | 2.27 | 2.21 | 2.43 |
| Biofouling Amphipods (M1–M4) Chitin Yield (% ± SD) | 6.61± 0.98 | ||||
| Biofouling Amphipods (M1–M4) Chitosan Yield (% ± SD) | 2.55 ± 0.34 | ||||
| Chitosan Source | %DD |
|---|---|
| T8 | 85.2–(90.1 *) |
| M1 | 85.7 |
| M2 | 85.3 |
| M3 | 85.3 |
| M4 | 84.3 |
| M5 | 83.3 |
| Genus/Species | Percentage (%) |
|---|---|
| Jassa spp. | 59.7 |
| Ericthonius punctatus | 27.7 |
| Elasmopus rapax | 5.5 |
| Stenothoe spp. | 5 |
| Caprella equilibra | 2.3 |
Disclaimer/Publisher’s Note: The statements, opinions and data contained in all publications are solely those of the individual author(s) and contributor(s) and not of MDPI and/or the editor(s). MDPI and/or the editor(s) disclaim responsibility for any injury to people or property resulting from any ideas, methods, instructions or products referred to in the content. |
© 2023 by the authors. Licensee MDPI, Basel, Switzerland. This article is an open access article distributed under the terms and conditions of the Creative Commons Attribution (CC BY) license (https://creativecommons.org/licenses/by/4.0/).
Share and Cite
Roig-Puche, M.; Lopez-Moya, F.; Valverde-Urrea, M.; Sanchez-Jerez, P.; Lopez-Llorca, L.V.; Fernandez-Gonzalez, V. Chitosan from Marine Amphipods Inhibits the Wilt Banana Pathogen Fusarium oxysporum f. sp. Cubense Tropical Race 4. Mar. Drugs 2023, 21, 601. https://doi.org/10.3390/md21120601
Roig-Puche M, Lopez-Moya F, Valverde-Urrea M, Sanchez-Jerez P, Lopez-Llorca LV, Fernandez-Gonzalez V. Chitosan from Marine Amphipods Inhibits the Wilt Banana Pathogen Fusarium oxysporum f. sp. Cubense Tropical Race 4. Marine Drugs. 2023; 21(12):601. https://doi.org/10.3390/md21120601
Chicago/Turabian StyleRoig-Puche, Marc, Federico Lopez-Moya, Miguel Valverde-Urrea, Pablo Sanchez-Jerez, Luis Vicente Lopez-Llorca, and Victoria Fernandez-Gonzalez. 2023. "Chitosan from Marine Amphipods Inhibits the Wilt Banana Pathogen Fusarium oxysporum f. sp. Cubense Tropical Race 4" Marine Drugs 21, no. 12: 601. https://doi.org/10.3390/md21120601
APA StyleRoig-Puche, M., Lopez-Moya, F., Valverde-Urrea, M., Sanchez-Jerez, P., Lopez-Llorca, L. V., & Fernandez-Gonzalez, V. (2023). Chitosan from Marine Amphipods Inhibits the Wilt Banana Pathogen Fusarium oxysporum f. sp. Cubense Tropical Race 4. Marine Drugs, 21(12), 601. https://doi.org/10.3390/md21120601

