Notch Signaling Pathway in Pancreatobiliary Tumors
Abstract
1. Introduction
2. Materials and Methods
3. Results
3.1. Patient and Tumor Characteristics
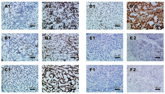
3.2. Comparison between Tumor and Non-Malignant Tissue
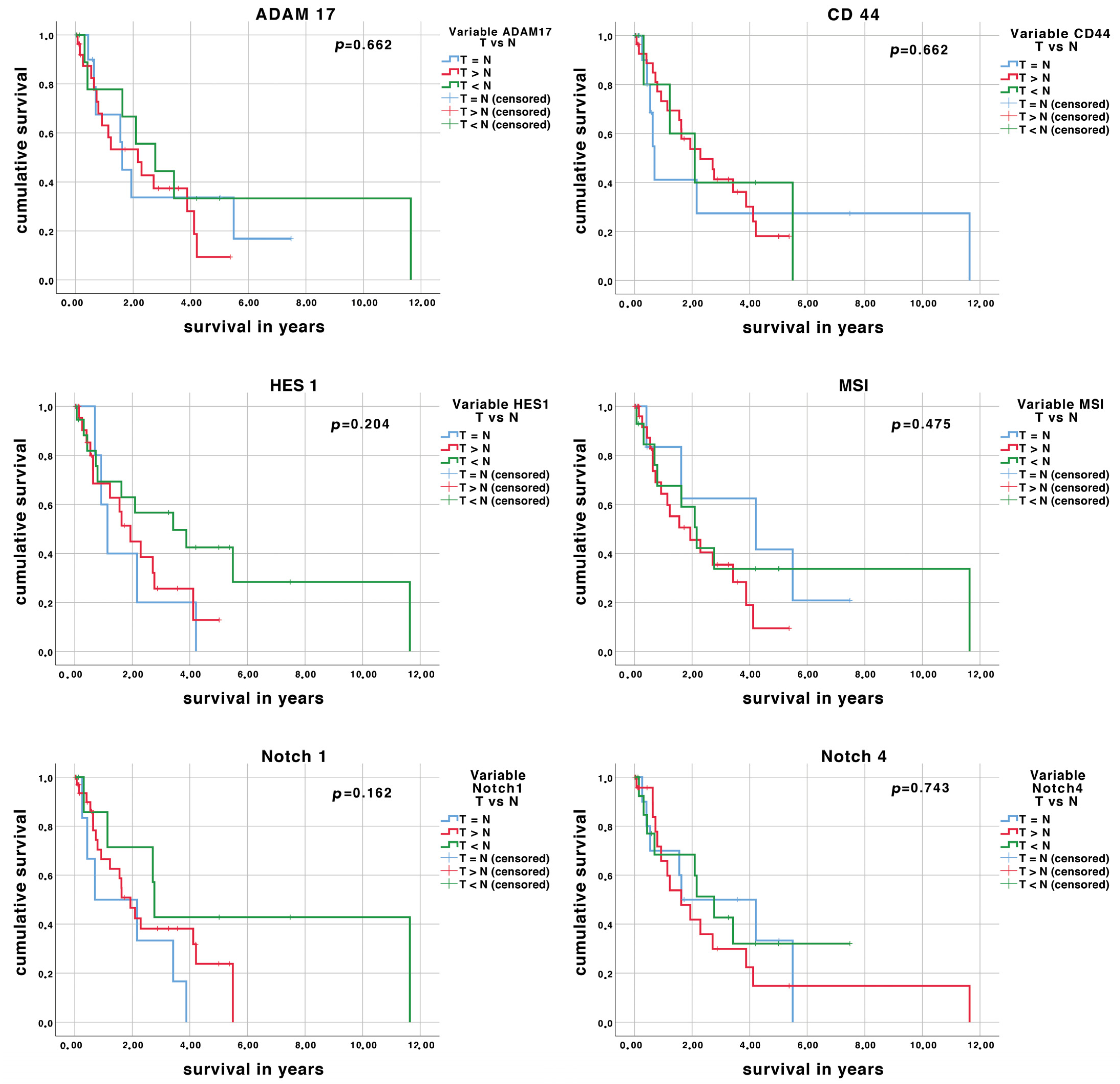
3.3. Effect of Expression of Notch Pathway on Patient Survival
4. Discussion
5. Conclusions
Author Contributions
Funding
Institutional Review Board Statement
Informed Consent Statement
Data Availability Statement
Acknowledgments
Conflicts of Interest
References
- Lucas, A.L.; Malvezzi, M.; Carioli, G.; Negri, E.; La Vecchia, C.; Boffetta, P.; Bosetti, C. Global Trends in Pancreatic Cancer Mortality From 1980 Through 2013 and Predictions for 2017. Clin. Gastroenterol. Hepatol. 2016, 14, 1452–1462.e4. [Google Scholar] [CrossRef] [PubMed]
- Razumilava, N.; Gores, G.J. Classification, Diagnosis, and Management of Cholangiocarcinoma. Clin. Gastroenterol. Hepatol. 2013, 11, 13–21.e1. [Google Scholar] [CrossRef] [PubMed]
- Schmuck, R.B.; de Carvalho-Fischer, C.V.; Neumann, C.; Pratschke, J.; Bahra, M. Distal bile duct carcinomas and pan-creatic ductal adenocarcinomas: Postulating a common tumor entity. Cancer Med. 2016, 5, 88–99. [Google Scholar] [CrossRef] [PubMed]
- Nakanuma, Y. A novel approach to biliary tract pathology based on similarities to pancreatic counterparts: Is the biliary tract an incomplete pancreas? Pathol. Int. 2010, 60, 419–429. [Google Scholar] [CrossRef] [PubMed]
- Ando, H. Embryology of the Biliary Tract. Dig. Surg. 2010, 27, 87–89. [Google Scholar] [CrossRef]
- Bolós, V.; Grego-Bessa, J.; De La Pompa, J.L. Notch Signaling in Development and Cancer. Endocr. Rev. 2007, 28, 339–363. [Google Scholar] [CrossRef] [PubMed]
- Kopan, R. Notch Signaling. Cold Spring Harb. Perspect. Biol. 2012, 4, a011213. [Google Scholar] [CrossRef]
- Zhu, Q.; Shen, Y.; Chen, X.; He, J.; Liu, J.; Zu, X. Self-Renewal Signalling Pathway Inhibitors: Perspectives on Therapeutic Approaches for Cancer Stem Cells. OncoTargets Ther. 2020, 13, 525–540. [Google Scholar] [CrossRef]
- Teoh, S.L.; Das, S. Notch Signalling Pathways and Their Importance in the Treatment of Cancers. Curr. Drug Targets 2018, 19, 128–143. [Google Scholar] [CrossRef]
- Gao, J.; Long, B.; Wang, Z. Role of Notch signaling pathway in pancreatic cancer. Am. J. Cancer Res. 2017, 7, 173–186. [Google Scholar]
- Cigliano, A.; Wang, J.; Chen, X.; Calvisi, D.F. Role of the Notch signaling in cholangiocarcinoma. Expert Opin. Ther. Targets 2017, 21, 471–483. [Google Scholar] [CrossRef] [PubMed]
- Song, H.; Wang, Y.; Lan, H.; Zhang, Y. Expression of Notch receptors and their ligands in pancreatic ductal adenocarcinoma. Exp. Ther. Med. 2018, 16, 53–60. [Google Scholar] [CrossRef] [PubMed]
- Qian, C.-J.; Chen, Y.-Y.; Zhang, X.; Liu, F.-Q.; Yue, T.-T.; Ye, B.; Yao, J. Notch4 inhibition reduces migration and invasion and enhances sensitivity to docetaxel by inhibiting Akt/fascin in pancreatic cancer cells. Oncol. Lett. 2016, 12, 3499–3505. [Google Scholar] [CrossRef] [PubMed]
- Yoon, H.A.; Noh, M.H.; Kim, B.G.; Han, J.S.; Jang, J.S.; Choi, S.R.; Jeong, J.S.; Chun, J.H. Clinicopathological significance of altered Notch signaling in extrahepatic cholangiocarcinoma and gallbladder carcinoma. World J. Gastroenterol. 2011, 17, 4023–4030. [Google Scholar] [CrossRef] [PubMed]
- Wu, W.-R.; Shi, X.-D.; Zhang, R.; Zhu, M.-S.; Xu, L.-B.; Yu, X.-H.; Zeng, H.; Wang, J.; Liu, C. Clinicopathological significance of aberrant Notch receptors in intrahepatic cholangiocarcinoma. Int. J. Clin. Exp. Pathol. 2014, 7, 3272–3279. [Google Scholar]
- Wu, W.-R.; Zhang, R.; Shi, X.-D.; Zhu, M.-S.; Xu, L.-B.; Zeng, H.; Liu, C. Notch1 is overexpressed in human intrahepatic cholangiocarcinoma and is associated with its proliferation, invasiveness and sensitivity to 5-fluorouracil in vitro. Oncol. Rep. 2014, 31, 2515–2524. [Google Scholar] [CrossRef]
- Espinoza, I.; Pochampally, R.; Xing, F.; Watabe, K.; Miele, L. Notch signaling: Targeting cancer stem cells and epitheli-al-to-mesenchymal transition. Onco Targets Ther. 2013, 6, 1249–1259. [Google Scholar]
- Kar, R.; Jha, N.K.; Jha, S.K.; Sharma, A.; Dholpuria, S.; Asthana, N.; Chaurasiya, K.; Singh, V.K.; Burgee, S.; Nand, P. A “NOTCH” Deeper into the Epithelial-To-Mesenchymal Transition (EMT) Program in Breast Cancer. Genes 2019, 10, 961. [Google Scholar] [CrossRef]
- Sabbah, M.; Emami, S.; Redeuilh, G.; Julien, S.; Prévost, G.; Zimber, A.; Ouelaa, R.; Bracke, M.; De Wever, O.; Gespach, C. Molecular signature and therapeutic perspective of the epithelial-to-mesenchymal transitions in epithelial cancers. Drug Resist. Updat. 2008, 11, 123–151. [Google Scholar] [CrossRef]
- Li, L.Q.; Pan, D.; Zhang, S.W.; Xie, D.-Y.; Zheng, X.L.; Chen, H. Autophagy regulates chemoresistance of gastric cancer stem cells via the Notch signaling pathway. Eur. Rev. Med. Pharmacol. Sci. 2018, 22, 3402–3407. [Google Scholar] [CrossRef]
- Wang, W.; Wang, L.; Mizokami, A.; Shi, J.; Zou, C.; Dai, J.; Keller, E.T.; Lu, Y.; Zhang, J. Down-regulation of E-cadherin enhances prostate cancer chemoresistance via Notch signaling. Chin. J. Cancer 2017, 36, 1–13. [Google Scholar] [CrossRef] [PubMed]
- Hu, H.; Zhou, L.; Awadallah, A.; Xin, W. Significance of Notch1-signaling pathway in human pancreatic develop-ment and carcinogenesis. Appl. Immunohistochem. Mol. Morphol. 2013, 21, 242–247. [Google Scholar] [PubMed]
- Yang, L.; Shi, P.; Zhao, G.; Xu, J.; Peng, W.; Zhang, J.; Zhang, G.; Wang, X.; Dong, Z.; Chen, F.; et al. Targeting cancer stem cell pathways for cancer therapy. Signal Transduct. Target. Ther. 2020, 5, 1–35. [Google Scholar] [CrossRef] [PubMed]
- Aoki, S.; Mizuma, M.; Takahashi, Y.; Haji, Y.; Okada, R.; Abe, T.; Karasawa, H.; Tamai, K.; Okada, T.; Morikawa, T.; et al. Aberrant activation of Notch signaling in extrahepatic cholangiocarcinoma: Clinicopathological features and therapeutic potential for cancer stem cell-like properties. BMC Cancer 2016, 16, 854. [Google Scholar] [CrossRef] [PubMed]
- Zhou, Q.; Wang, Y.; Peng, B.; Liang, L.; Li, J. The roles of Notch1 expression in the migration of intrahepatic cholangiocarcinoma. BMC Cancer 2013, 13, 244. [Google Scholar] [CrossRef]
- Jiao, X.; Yu, W.; Qian, J.; Chen, Y.; Wei, P.; Fang, W.; Yu, G. ADAM-17 is a poor prognostic indicator for patients with hilar cholangiocarcinoma and is regulated by FoxM1. BMC Cancer 2018, 18, 570. [Google Scholar] [CrossRef]
- Ringel, J.; Jesnowski, R.; Moniaux, N.; Lüttges, J.; Ringel, J.; Choudhury, A.; Batra, S.K.; Klöppel, G.; Löhr, M. Aber-rant expression of a disintegrin and metalloproteinase 17/tumor necrosis factor-alpha converting enzyme increases the ma-lignant potential in human pancreatic ductal adenocarcinoma. Cancer Res. 2006, 66, 9045–9053. [Google Scholar] [CrossRef]
- Ye, J.; Yuen, S.M.; Murphy, G.; Xie, R.; Kwok, H.F. Anti-tumor effects of a ‘human & mouse cross-reactive’ anti-ADAM17 antibody in a pancreatic cancer model in vivo. Eur. J. Pharm. Sci. 2017, 110, 62–69. [Google Scholar] [CrossRef]
- Saad, M.I.; Rose-John, S.; Jenkins, B.J. ADAM17: An Emerging Therapeutic Target for Lung Cancer. Cancers 2019, 11, 1218. [Google Scholar] [CrossRef] [PubMed]
- Hedemann, N.; Rogmans, C.; Sebens, S.; Wesch, D.; Reichert, M.; Schmidt-Arras, D.; Oberg, H.-H.; Pecks, U.; Van Mackelenbergh, M.; Weimer, J.; et al. ADAM17 inhibition enhances platinum efficiency in ovarian cancer. Oncotarget 2018, 9, 16043–16058. [Google Scholar] [CrossRef] [PubMed]
- Hidalgo-Sastre, A.; Brodylo, R.L.; Lubeseder-Martellato, C.; Sipos, B.; Steiger, K.; Lee, M.; Von Figura, G.; Grünwald, B.; Zhong, S.; Trajkovic-Arsic, M.; et al. Hes1 Controls Exocrine Cell Plasticity and Restricts Development of Pancreatic Ductal Adenocarcinoma in a Mouse Model. Am. J. Pathol. 2016, 186, 2934–2944. [Google Scholar] [CrossRef] [PubMed]
- Guest, R.V.; Boulter, L.; Dwyer, B.J.; Kendall, T.J.; Man, T.-Y.; Minnis-Lyons, S.E.; Lu, W.-Y.; Robson, A.J.; Gonzalez, S.F.; Raven, A.; et al. Notch3 drives development and progression of cholangiocarcinoma. Proc. Natl. Acad. Sci. USA 2016, 113, 12250–12255. [Google Scholar] [CrossRef] [PubMed]
- Cao, F.; Li, J.; Sun, H.; Liu, S.; Cui, Y.; Li, F. HES 1 is essential for chemoresistance induced by stellate cells and is as-sociated with poor prognosis in pancreatic cancer. Oncol. Rep. 2015, 33, 1883–1889. [Google Scholar] [CrossRef] [PubMed]
- Liu, C.; Liu, L.; Chen, X.; Cheng, J.; Zhang, H.; Zhang, C.; Shan, J.; Shen, J.; Qian, C. LSD1 Stimulates Cancer-Associated Fibroblasts to Drive Notch3-Dependent Self-Renewal of Liver Cancer Stem–like Cells. Cancer Res. 2018, 78, 938–949. [Google Scholar] [CrossRef] [PubMed]
- Meurette, O.; Mehlen, P. Notch Signaling in the Tumor Microenvironment. Cancer Cell 2018, 34, 536–548. [Google Scholar] [CrossRef]
- Meurette, O. Shaping of the Tumor Microenvironment by Notch Signaling. Adv. Exp. Med. Biol. 2020, 1223, 1–16. [Google Scholar] [CrossRef] [PubMed]
- Kabakov, A.; Yakimova, A.; Matchuk, O. Molecular Chaperones in Cancer Stem Cells: Determinants of Stemness and Potential Targets for Antitumor Therapy. Cells 2020, 9, 892. [Google Scholar] [CrossRef]
- Rezza, A.; Skah, S.; Roche, C.; Nadjar, J.; Samarut, J.; Plateroti, M. The overexpression of the putative gut stem cell marker Musashi-1 induces tumorigenesis through Wnt and Notch activation. J. Cell Sci. 2010, 123, 3256–3265. [Google Scholar] [CrossRef]
- Li, X.-P.; Zhang, X.-W.; Zheng, L.-Z.; Guo, W.-J. Expression of CD44 in pancreatic cancer and its significance. Int. J. Clin. Exp. Pathol. 2015, 8, 6724–6731. [Google Scholar]
- Suwannakul, N.; Ma, N.; Thanan, R.; Pinlaor, S.; Ungarreevittaya, P.; Midorikawa, K.; Hiraku, Y.; Oikawa, S.; Kawanishi, S.; Murata, M. Overexpression of CD44 Variant 9: A Novel Cancer Stem Cell Marker in Human Cholangiocarcinoma in Relation to Inflammation. Mediat. Inflamm. 2018, 2018, 4867234. [Google Scholar] [CrossRef]
- Gzil, A.; Zarębska, I.; Bursiewicz, W.; Antosik, P.; Grzanka, D.; Szylberg, Ł. Markers of pancreatic cancer stem cells and their clinical and therapeutic implications. Mol. Biol. Rep. 2019, 46, 6629–6645. [Google Scholar] [CrossRef] [PubMed]
- Wu, H.-J.; Chu, P.-Y. Role of Cancer Stem Cells in Cholangiocarcinoma and Therapeutic Implications. Int. J. Mol. Sci. 2019, 20, 4154. [Google Scholar] [CrossRef] [PubMed]


| Clinical Variable | iCC | eCC | PDAC | p-Value |
|---|---|---|---|---|
| (n = 24) | (n = 22) | (n = 14) | ||
| Gender | 0.17 | |||
| Female | 19 (79) | 13 (59) | 7 (50) | |
| Male | 5 (21) | 9 (41) | 7 (50) | |
| Median age (years) | 65 | 63.5 | 60.5 | 0.524 |
| Range (years) | 39–79 | 41–83 | 43–80 | |
| Median survival (months) | 21.5 | 8 | 10.5 | 0.658 |
| Range (months) | 0–140 | 1–90 | 1–66 | |
| UICC | 0.638 | |||
| UICC I | 5 (21) | 1 (5) | 0 (0) | |
| UICC II | 5 (21) | 8 (36) | 10 (71) | |
| UICC III | 2 (8) | 9 (41) | 0 (0) | |
| UICC IV | 12 (50) | 4 (18) | 4 (19) | |
| T | 0.011 | |||
| T1 | 8 (33) | 2 (9) | 1 (7) | |
| T2 | 7 (29) | 8 (36) | 0 (0) | |
| T3 | 7 (29) | 10 (45) | 12 (86) | |
| T4 | 1 (4) | 2 (9) | 0 (0) | |
| N | 0.06 | |||
| N0 | 14 (58) | 9 (41) | 3 (21) | |
| N1 | 8 (33) | 11 (50) | 10 (71) | |
| N2 | 0 (0) | 2 (9) | 0 (0) | |
| M | 0.289 | |||
| M0 | 19 (79) | 20 (91) | 9 (64) | |
| M1 | 5 (21) | 2 (9) | 4 (29) | |
| G | 0.478 | |||
| G0 | 0 (0) | 2 (9) | 0 (0) | |
| G1 | 1 (4) | 1 (5) | 0 (0) | |
| G2 | 16 (67) | 13 (59) | 8 (57) | |
| G3 | 5 (21) | 6 (27) | 5 (36) | |
| LC | 0.024 | |||
| yes | 8 (33) | 9 (41) | 11 (79) | |
| no | 16 (67) | 13 (59) | 3 (21) |
| Tumor Entity | N ADAM17 | N CD44 | N HES1 | N MSI | N Notch1 | N Notch4 |
|---|---|---|---|---|---|---|
| T ADAM17 | T CD44 | T HES1 | T MSI | T Notch1 | T Notch4 | |
| eCC | 2.95 | 3.43 | 2.67 | 3.1 | 2.57 | 3.05 |
| 3.5 | 3.94 | 3.44 | 3.72 | 2.83 | 2.78 | |
| p-value | 0.142 | 0.043 | 0.062 | 0.1 | 0.472 | 0.629 |
| iCC | 3.17 | 3.48 | 3.09 | 3.3 | 1.78 | 2.96 |
| 3.78 | 4.04 | 3.52 | 3.91 | 2.87 | 3.22 | |
| p-value | 0.164 | 0.026 | 0.299 | 0.122 | 0 | 0.155 |
| PDAC | 1.73 | 2.27 | 4.27 | 2.55 | 0.64 | 0.91 |
| 3.43 | 3.64 | 2.5 | 3.36 | 2.21 | 2.86 | |
| p-value | 0.008 | 0.012 | 0.012 | 0.125 | 0.012 | 0.008 |
| Variables | Entities Cumulative | iCC | eCC | PDAC |
|---|---|---|---|---|
| Gender p-value | p = 0.431 | p = 0.219 | p = 0.189 | p = 0.307 |
| female | ||||
| median survival (months) | 19.0 (1–140) | 25.0 (1–140) | 8.00 (1–90) | 10.0 (1–46) |
| male | ||||
| median survival (months) | 8.0 (0–66) | 2.0 (0–60) | 8.0 (0–50) | 12.0 (1–66) |
| UICC p-value | p = 0.150 | p = 0.009 | p = 0.113 | p = 0.051 |
| UICC I | ||||
| median survival (months) | 8.00 (0–43) | 2.0 (0–43) | - | |
| UICC II | ||||
| median survival (months) | 12.0 (1–140) | 60.0 (36–140) | 2.5 (1–50) | 11.5 (1–66) |
| UICC III | ||||
| median survival (months) | 19.0 (2–90) | 13.0 (7–19) | 21.0 (2–90) | |
| UICC IV | ||||
| median survival (months) | 8.5 (1–51) | 21.5 (2–51) | 7.5 (4–26) | 7.5 (1–27) |
| T p-value | p = 0.249 | p = 0.023 | p = 0.573 | p = 0.700 |
| T1 | ||||
| median survival (months) | 11.0 (0–43) | 5.0 (0–43) | 34.5 (26–43) | - |
| T2 | ||||
| median survival (months) | 33.0 (1–140) | 51.0 (5–140) | 7.5 (1–50) | |
| T3 | ||||
| median survival (months) | 12.0 (1–90) | 20.0 (2–41) | 11.0 (1–90) | 10.0 (1–66) |
| T4 | ||||
| median survival (months) | 7.0 (2–25) | - | 4.5 (2–7) | |
| N p-value | p = 0.319 | p = 0.066 | p = 0.598 | p = 0.355 |
| N0 | ||||
| median survival (months) | 27.5 (0–140) | 30.5 (0–140) | 21.0 (1–50) | 46.0 (9–66) |
| N1 | ||||
| median survival (months) | 8.0 (1–90) | 13.5 (2–41) | 7.0 (1–90) | 10.0 (1–65) |
| N2 | ||||
| median survival (months) | 20.0 (14–26) | 20.0 (14–26) | ||
| M p-value | p = 0.134 | p = 0.785 | p = 0.275 | p = 0.054 |
| M0 | ||||
| median survival (months) | 14.0 (0–140) | 20.0 (0–140) | 8.0 (1–90) | 12.0 (1–66) |
| M1 | ||||
| median survival (months) | 9.0 (1–51) | 39.0 (2–51) | 16.5 (7–26) | 7.5 (1–27) |
| G p-value | p = 0.017 | p = 0.28 | p = 0.068 | p = 0.979 |
| G0 | ||||
| median survival (months) | 17.0 (8–26) | 17.0 (8–26) | ||
| G1 | ||||
| median survival (months) | 35.0 (21–49) | - | - | |
| G2 | ||||
| median survival (months) | 12.0 (0–140) | 21.5 (0–140) | 8.0 (1–90) | 9.5 (1–65) |
| G3 | ||||
| median survival (months) | 10.5 (1–66) | 14.0 (1–36) | 5.5 (1–33) | 11.0 (1–66) |
| LC | p = 0.461 | p = 0.507 | p = 0.731 | p = 0.953 |
| yes | ||||
| median survival (months) | ||||
| no | 13.0 (1–90) | 24.0 (5–60) | 14.0 (1–90) | 10.0 (1–66) |
| median survival (months) | ||||
| 11.5 (0–140) | 16.5 (0–140) | 7.0 (1–85) | 27.0 (9–46) | |
| ADAM17 p-value | p = 0.662 | p = 0.562 | p = 0.977 | p = 0.724 |
| equal | ||||
| median survival (months) | 19.0 (0–90) | 21.0 (0–60) | 8.0 (7–90) | 19.0 (6–66) |
| more | ||||
| median survival (months) | 10.5 (1–65) | 8.0 (2–51) | 14.0 (1–43) | 10.5 (1–65) |
| less | ||||
| median survival (months) | 25.0 (1–140) | 25.0 (1–140) | 18.5 (4–50) | |
| CD44 p-value | p = 0.969 | p = 0.499 | p = 0.766 | p = 0.079 |
| equal | ||||
| median survival (months) | 6.5 (0–140) | 3.5 (0–140) | 7.0 (2–90) | - |
| more | ||||
| median survival (months) | 21.0 (1–65) | 36.5 (2–60) | 17.5 (1–43) | 11.0 (1–65) |
| less | ||||
| median survival (months) | 14.0 (1–66) | 8.0 (1–25) | 27.0 (4–50) | - |
| HES1 p-value | p = 0.204 | p = 0.162 | p = 0.319 | p = 0.887 |
| equal | ||||
| median survival (months) | 11.0 (0–51) | 25.5 (0–51) | 11.0 (1–26) | - |
| more | ||||
| median survival (months) | 11.0 (1–60) | 14.0 (1–60) | 7.5 (2–43) | - |
| less | ||||
| median survival (months) | 25.0 (1–140) | 39.0 (2–140) | 50.0 (4–90) | 10.0 (1–66) |
| MSI p-value | p = 0.475 | p = 0.093 | p = 0.931 | p = 0.089 |
| equal | ||||
| median survival (months) | 19.0 (1–90) | 28.0 (5–51) | 47.0 (4–90) | 19.0 (1–66) |
| more | ||||
| median survival (months) | 11.0 (0–65) | 14.0 (0–49) | 7.5 (1–43) | 19.0 (6–65) |
| less | ||||
| median survival (months) | 22.5 (1–140) | 25.0 (2–140) | 26.0 (4–50) | 5.5 (1–10) |
| Notch1 p-value | p = 0.162 | p = 0.161 | p = 0.149 | p = 0.904 |
| equal | ||||
| median survival (months) | 8.0 (2–46) | - | 5.5 (2–26) | 26.0 (6–46) |
| more | ||||
| median survival (months) | 12.5 (0–66) | 16.5 (0–60) | 7.5 (1–50) | 15.0 (1–66) |
| less | ||||
| median survival (months) | 32.0 (1–140) | 60.0 (2–140) | 32.0 (4–90) | |
| Notch4 p-value | p = 0.743 | p = 0.925 | p = 0.614 | p = 0.079 |
| equal | ||||
| median survival (months) | 20.5 (3–66) | 21.0 (7–60) | 12.5 (3–43) | - |
| more | ||||
| median survival (months) | 10.0 (0–140) | 8.0 (0–140) | 8.0 (1–32) | 11.0 (1–65) |
| less | ||||
| median survival (months) | 25.0 (1–90) | 32.0 (1–60) | 15.0 (2–90) | - |
Publisher’s Note: MDPI stays neutral with regard to jurisdictional claims in published maps and institutional affiliations. |
© 2021 by the authors. Licensee MDPI, Basel, Switzerland. This article is an open access article distributed under the terms and conditions of the Creative Commons Attribution (CC BY) license (http://creativecommons.org/licenses/by/4.0/).
Share and Cite
Borlak, F.; Reutzel-Selke, A.; Schirmeier, A.; Gogolok, J.; von Hoerschelmann, E.; Sauer, I.M.; Pratschke, J.; Bahra, M.; Schmuck, R.B. Notch Signaling Pathway in Pancreatobiliary Tumors. Medicina 2021, 57, 105. https://doi.org/10.3390/medicina57020105
Borlak F, Reutzel-Selke A, Schirmeier A, Gogolok J, von Hoerschelmann E, Sauer IM, Pratschke J, Bahra M, Schmuck RB. Notch Signaling Pathway in Pancreatobiliary Tumors. Medicina. 2021; 57(2):105. https://doi.org/10.3390/medicina57020105
Chicago/Turabian StyleBorlak, Francesca, Anja Reutzel-Selke, Anja Schirmeier, Julia Gogolok, Ellen von Hoerschelmann, Igor M. Sauer, Johann Pratschke, Marcus Bahra, and Rosa B. Schmuck. 2021. "Notch Signaling Pathway in Pancreatobiliary Tumors" Medicina 57, no. 2: 105. https://doi.org/10.3390/medicina57020105
APA StyleBorlak, F., Reutzel-Selke, A., Schirmeier, A., Gogolok, J., von Hoerschelmann, E., Sauer, I. M., Pratschke, J., Bahra, M., & Schmuck, R. B. (2021). Notch Signaling Pathway in Pancreatobiliary Tumors. Medicina, 57(2), 105. https://doi.org/10.3390/medicina57020105

