Controlled Release of Metformin Hydrochloride from Core-Shell Nanofibers with Fish Sarcoplasmic Protein
Abstract
1. Introduction
2. Materials and Methods
2.1. Sarcoplasmic Protein (SP) Preparation
2.2. Preparation of Spinning Solutions
2.3. Coaxial Electrospinning
2.4. Protein Composition of FSP
2.5. Scanning Electron Microscopy (SEM)
2.6. Fourier-Transform Infrared Spectroscopy
2.7. MTT Assay
2.8. In Vitro Release Studies
2.9. In Vitro Release Kinetics
2.10. Thermal Analysis
3. Results
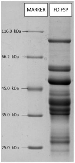
3.1. SDS-PAGE Assay
3.2. Morphological Characterization of Nanofibers
3.3. Fourier-Transform Infrared Spectroscopy (FTIR)
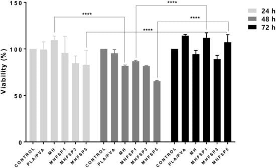
3.4. MTT Assay
3.5. Drug Release Studies and Kinetic Investigation
3.6. Thermal Behaviour
4. Conclusions
Author Contributions
Funding
Acknowledgments
Conflicts of Interest
References
- Xie, Z.; Paras, C.B.; Weng, H.; Punnakitikashem, P.; Su, L.C.; Vu, K.; Tang, L.; Yang, J.; Nguyen, K.T. Dual growth factor releasing multi-functional nanofibers for wound healing. Acta Biomater. 2013, 9, 9351–9359. [Google Scholar] [CrossRef] [PubMed]
- Barrientos, S.; Stojadinovic, O.; Golinko, M.S.; Brem, H.; Tomic-Canic, M. Growth factors and cytokines in wound healing. Wound Repair Regen. 2008, 16, 585–601. [Google Scholar] [CrossRef] [PubMed]
- Dahlin, R.L.; Kasper, F.K.; Mikos, A.G. Polymeric Nanofibers in Tissue Engineering. Tissue Eng. Part B Rev. 2011, 17, 349–364. [Google Scholar] [CrossRef] [PubMed]
- Rieger, K.A.; Birch, N.P.; Schi, J.D. Designing electrospun nanofiber mats to promote wound healing—A review. J. Mater. Chem. B 2013, 1, 4531–4541. [Google Scholar] [CrossRef]
- Kim, G.; Kim, W. Highly Porous 3D Nanofiber Scaffold Using an Electrospinning Technique. J. Biomed. Mater. Res. Part B Appl. Biomater. 2006, 81, 104–110. [Google Scholar] [CrossRef]
- Barnes, C.P.; Sell, S.A.; Boland, E.D.; Simpson, D.G.; Bowlin, G.L. Nanofiber technology: Designing the next generation of tissue engineering scaffolds. Adv. Drug Deliv. Rev. 2007, 59, 1413–1433. [Google Scholar] [CrossRef]
- Persano, L.; Camposeo, A.; Tekmen, C.; Pisignano, D. Industrial Upscaling of Electrospinning and Applications of Polymer Nanofibers: A Review. Macromol. Mater. Eng. 2013, 298, 504–520. [Google Scholar] [CrossRef]
- Zhang, Y.Z.; Wang, X.; Feng, Y.; Li, J.; Lim, C.T.; Ramakrishna, S. Coaxial electrospinning of (fluorescein isothiocyanate-conjugated bovine serum albumin)-encapsulated poly(ε-caprolactone) nanofibers for sustained release. Biomacromolecules 2006, 7, 1049–1057. [Google Scholar] [CrossRef]
- Hu, X.; Liu, S.; Zhou, G.; Huang, Y.; Xie, Z.; Jing, X. Electrospinning of polymeric nanofibers for drug delivery applications. J. Control. Release 2014, 185, 12–21. [Google Scholar] [CrossRef]
- Zamani, M.; Prabhakaran, M.P.; Thian, E.S.; Ramakrishna, S. Protein encapsulated core-shell structured particles prepared by coaxial electrospraying: Investigation on material and processing variables. Int. J. Pharm. 2014, 473, 134–143. [Google Scholar] [CrossRef]
- Park, K.E.; Jung, S.Y.; Lee, S.J.; Min, B.M.; Park, W.H. Biomimetic nanofibrous scaffolds: Preparation and characterization of chitin/silk fibroin blend nanofibers. Int. J. Biol. Macromol. 2006, 38, 165–173. [Google Scholar] [CrossRef] [PubMed]
- Li, M.; Mondrinos, M.J.; Gandhi, M.R.; Ko, F.K.; Weiss, A.S.; Lelkes, P.I. Electrospun protein fibers as matrices for tissue engineering. Biomaterials 2005, 26, 5999–6008. [Google Scholar] [CrossRef] [PubMed]
- Eltayeb, M.; Stride, E.; Edirisinghe, M. Electrosprayed core-shell polymer-lipid nanoparticles for active component delivery. Nanotechnology 2013, 24, 465604. [Google Scholar] [CrossRef] [PubMed]
- Khadka, D.B.; Haynie, D.T. Protein- and peptide-based electrospun nanofibers in medical biomaterials. Nanomed. Nanotechnol. Biol. Med. 2012, 8, 1242–1262. [Google Scholar] [CrossRef] [PubMed]
- Stephansen, K.; Chronakis, I.S.; Jessen, F. Bioactive electrospun fish sarcoplasmic proteins as a drug delivery system. Colloids Surf. B Biointerfaces 2014, 122, 158–165. [Google Scholar] [CrossRef] [PubMed]
- Verreck, G.; Chun, I.; Rosenblatt, J.; Peeters, J.; Van Dijck, A.; Mensch, J.; Noppe, M.; Brewster, M.E. Incorporation of drugs in an amorphous state into electrospun nanofibers composed of a water-insoluble, nonbiodegradable polymer. J. Control. Release 2003, 92, 349–360. [Google Scholar] [CrossRef]
- Park, J.Y.; Lee, I.H. Controlled release of ketoprofen from electrospun porous polylactic acid (PLA) nanofibers. J. Polym. Res. 2011, 18, 1287–1291. [Google Scholar] [CrossRef]
- Huang, Z.M.; Zhang, Y.Z.; Kotaki, M.; Ramakrishna, S. A review on polymer nanofibers by electrospinning and their applications in nanocomposites. Compos. Sci. Technol. 2003, 63, 2223–2253. [Google Scholar] [CrossRef]
- Ferreira, M.C.; Tuma, P.; Carvalho, V.F.; Kamamoto, F. Complex wounds. Clinics 2006, 61, 571–578. [Google Scholar] [CrossRef]
- Lee, C.H.; Hsieh, M.J.; Chang, S.H.; Lin, Y.H.; Liu, S.J.; Lin, T.Y.; Hung, K.C.; Pang, J.H.S.; Juang, J.H. Enhancement of diabetic wound repair using biodegradable nanofibrous metformin-eluting membranes: In vitro and in vivo. ACS Appl. Mater. Interfaces 2014, 6, 3979–3986. [Google Scholar] [CrossRef]
- Chereddy, K.K. PLGA based drug delivery systems: Promising carriers for wound healing activity. Wound Repair Regen. 2016, 24, 223–236. [Google Scholar] [CrossRef] [PubMed]
- Ahmed, S.M.; Ahmed, H.; Tian, C.; Tu, Q.; Guo, Y.; Wang, J. Whey protein concentrate doped electrospun poly(epsilon-caprolactone) fibers for antibiotic release improvement. Colloids Surf. B Biointerfaces 2016, 143, 371–381. [Google Scholar] [CrossRef] [PubMed]
- Xiao, J.; Shi, C.; Zheng, H.; Shi, Z.; Jiang, D.; Li, Y.; Huang, Q. Kafirin Protein Based Electrospun Fibers with Tunable Mechanical Property, Wettability, and Release Profile. J. Agric. Food Chem. 2016, 64, 3226–3233. [Google Scholar] [CrossRef] [PubMed]
- Sahin, Y.M.; Su, S.; Ozbek, B.; Yücel, S.; Pinar, O.; Kazan, D.; Oktar, F.N.; Ekren, N.; Gunduz, O. Production and characterization of electrospun fish sarcoplasmic protein based nanofibers. J. Food Eng. 2018, 222, 54–62. [Google Scholar] [CrossRef]
- Hemung, B.O.; Chin, K.B. Effects of fish sarcoplasmic proteins on the properties of myofibrillar protein gels mediated by microbial transglutaminase. LWT Food Sci. Technol. 2013, 53, 184–190. [Google Scholar] [CrossRef]
- Lopez-Enriquez, R.L.; Ocano-Higuera, V.M.; Torres-Arreola, W.; Ezquerra-Brauer, J.M.; Marquez-Rios, E. Chemical and Functional Characterization of Sarcoplasmic Proteins from Giant Squid (Dosidicus gigas) Mantle. J. Chem. 2015, 2015, 538721. [Google Scholar] [CrossRef][Green Version]
- Bazrafshan, Z.; Stylios, G.K. A novel approach to enhance the spinnability of collagen fibers by graft polymerization. Mater. Sci. Eng. C 2019, 94, 108–116. [Google Scholar] [CrossRef]
- Bazrafshan, Z.; Stylios, G.K. Custom-built electrostatics and supplementary bonding in the design of reinforced Collagen-g-P(methyl methacrylate-co-ethyl acrylate)/nylon 66 core-shell fibers. J. Mech. Behav. Biomed. Mater. 2018, 87, 19–29. [Google Scholar] [CrossRef]
- Colin-Orozco, J.; Zapata-Torres, M.; Rodriguez-Gattorno, G.; Pedroza-Islas, R. Properties of Poly (ethylene oxide)/whey Protein Isolate Nanofibers Prepared by Electrospinning. Food Biophys. 2015, 10, 134–144. [Google Scholar] [CrossRef]
- Wongsasulak, S.; Patapeejumruswong, M.; Weiss, J.; Supaphol, P.; Yoovidhya, T. Electrospinning of food-grade nanofibers from cellulose acetate and egg albumen blends. J. Food Eng. 2010, 98, 370–376. [Google Scholar] [CrossRef]
- Sammon, C.; Mura, C.; Yarwood, J.; Everall, N.; Swart, R.; Hodge, D. FTIR–ATR Studies of the Structure and Dynamics of Water Molecules in Polymeric Matrixes. A Comparison of PET and PVC. J. Phys. Chem. B 1998, 102, 3402–3411. [Google Scholar] [CrossRef]
- Suarez-Franco, J.L.; Vázquez-Vázquez, F.C.; Pozos-Guillen, A.; Montesinos, J.J.; Alvarez-Fregoso, O.; Alvarez-Perez, M.A. Influence of diameter of fiber membrane scaffolds on the biocompatibility of hPDL mesenchymal stromal cells. Dent. Mater. J. 2018, 37, 465–473. [Google Scholar] [CrossRef] [PubMed]
- Chieng, B.W.; Ibrahim, N.A.; Yunus, W.M.Z.W.; Hussein, M.Z. Poly(lactic acid)/poly(ethylene glycol) polymer nanocomposites: Effects of graphene nanoplatelets. Polymers 2014, 6, 93–104. [Google Scholar] [CrossRef]
- Gonçalves, R.P.; da Silva, F.F.F.; Picciani, P.H.S.; Dias, M.L. Morphology and Thermal Properties of Core-Shell PVA/PLA Ultrafine Fibers Produced by Coaxial Electrospinning. Mater. Sci. Appl. 2015, 6, 189–199. [Google Scholar] [CrossRef]
- Chou, S.; Carson, D.; Woodrow, K.A. Current strategies for sustaining drug release from electrospun nanofibers. J. Control. Release 2015, 220, 584–591. [Google Scholar] [CrossRef] [PubMed]
- Huang, X.; Brazel, C.S. On the importance and mechanisms of burst release in matrix-controlled drug delivery systems. J. Control. Release 2001, 73, 121–136. [Google Scholar] [CrossRef]
- Doustgani, A. Doxorubicin release from optimized electrospun polylactic acid nanofibers. J. Ind. Text. 2017, 47, 71–88. [Google Scholar] [CrossRef]
- Torres-Giner, S.; Martinez-Abad, A.; Gimeno-Alcañiz, J.V.; Ocio, M.J.; Lagaron, J.M. Controlled delivery of gentamicin antibiotic from bioactive electrospun polylactide-based ultrathin fibers. Adv. Eng. Mater. 2012, 14, 112–122. [Google Scholar] [CrossRef]
- Ritger, P.L.; Peppas, N.A. A simple equation for description of solute release. J. Control. Release 1987, 5, 23–36. [Google Scholar] [CrossRef]
- Guerrini, L.M.; Branciforti, M.C.; Canova, T.; Bretas, R.E.S. Electrospinning and characterization of polyamide 66 nanofibers with different molecular weights. Mater. Res. 2009, 12, 181–190. [Google Scholar] [CrossRef]
- He, M.; Zhang, B.; Dou, Y.; Yin, G.; Cui, Y.; Chen, X.; Matsuo, M.; Huang, D.; Kim, H.-Y. Fabrication and characterization of electrospun feather keratin/poly(vinyl alcohol) composite nanofibers. RSC Adv. 2017, 7, 9854–9861. [Google Scholar] [CrossRef]







| Samples | Core | Shell |
|---|---|---|
| MH | 5% PVA + MH | 8% PLA |
| MHFSP1 | 5% PVA + MH + 1% FSP | 8% PLA |
| MHFSP3 | 5% PVA + MH + 3% FSP | 8% PLA |
| MHFSP5 | 5% PVA + MH + 5% FSP | 8% PLA |
| Sample | Zero Order | First Order | Higuchi | Korsmeyer-Peppas | ||||
|---|---|---|---|---|---|---|---|---|
| R2 | Ko | R2 | K1 | R2 | Kh | R2 | n | |
| MH | 0.6243 | 0.001 | 0.9162 | −0.0053 | 0.79 | 2.9301 | 0.7929 | 0.3327 |
| MHFSP1 | 0.6535 | 0.133 | 0.9542 | −0.0025 | 0.8407 | 3.4182 | 0.7968 | 0.4764 |
| MHFSP3 | 0,7339 | 0.149 | 0.9679 | −0.0025 | 0.8944 | 3.6765 | 0.8809 | 0.3911 |
| MHFSP5 | 0.7775 | 0.128 | 0.9557 | −0.0016 | 0.9191 | 3.1012 | 0.9314 | 0.2751 |
| Samples | Tm (°C) | ΔHm (j/g) |
|---|---|---|
| Neat PLA/PVA | 165.5 | 23.48 |
| MH | 165.1 | 22.96 |
| MHFSP1 | 150.2 | 16.3 |
| MHFSP3 | 150.5 | 11.1 |
| MHFSP5 | 150.8 | 10.8 |
© 2019 by the authors. Licensee MDPI, Basel, Switzerland. This article is an open access article distributed under the terms and conditions of the Creative Commons Attribution (CC BY) license (http://creativecommons.org/licenses/by/4.0/).
Share and Cite
Sena, S.; Sumeyra, K.N.; Ulkugul, G.; Sema, A.; Betul, K.; Muge, S.B.; Sayip, E.M.; Muhammet, U.; Cevriye, K.; Mahir, M.; et al. Controlled Release of Metformin Hydrochloride from Core-Shell Nanofibers with Fish Sarcoplasmic Protein. Medicina 2019, 55, 682. https://doi.org/10.3390/medicina55100682
Sena S, Sumeyra KN, Ulkugul G, Sema A, Betul K, Muge SB, Sayip EM, Muhammet U, Cevriye K, Mahir M, et al. Controlled Release of Metformin Hydrochloride from Core-Shell Nanofibers with Fish Sarcoplasmic Protein. Medicina. 2019; 55(10):682. https://doi.org/10.3390/medicina55100682
Chicago/Turabian StyleSena, Su, Korkmaz Nalan Sumeyra, Guven Ulkugul, Arslan Sema, Karademir Betul, Sennaroglu Bostan Muge, Eroglu Mehmet Sayip, Uzun Muhammet, Kalkandelen Cevriye, Mahirogullari Mahir, and et al. 2019. "Controlled Release of Metformin Hydrochloride from Core-Shell Nanofibers with Fish Sarcoplasmic Protein" Medicina 55, no. 10: 682. https://doi.org/10.3390/medicina55100682
APA StyleSena, S., Sumeyra, K. N., Ulkugul, G., Sema, A., Betul, K., Muge, S. B., Sayip, E. M., Muhammet, U., Cevriye, K., Mahir, M., Titu, M. A., Ficai, D., Ficai, A., & Gunduz, O. (2019). Controlled Release of Metformin Hydrochloride from Core-Shell Nanofibers with Fish Sarcoplasmic Protein. Medicina, 55(10), 682. https://doi.org/10.3390/medicina55100682

