Anti-Oxidative and Anti-Apoptotic Oligosaccharides from Pichia pastoris-Fermented Cress Polysaccharides Ameliorate Chromium-Induced Liver Toxicity
Abstract
1. Introduction
2. Results
2.1. Polysaccharides Digestion via Yeast Fermentation
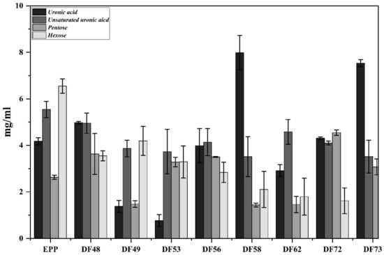
2.2. Total Carbohydrates Contents
2.3. Fourier Transformed Infrared (FT-IR) Spectroscopy of Fractions
2.4. Mono- and Disaccharides Composition
2.5. Percent DPPH Free Radical Scavenging Activity of Oligosaccharides Fractions
2.6. Hydrogen Peroxide Radical Scavenging Potential
2.7. Effect of Oligosaccharides on Body and Liver Weight of Cr-Treated Mice
2.8. Effect of Oligosaccharides on MDA Content in Cr(VI)-Exposed Mice
2.9. Effect of Oligosaccharides on Liver Function
2.10. Effect of Oligosaccharide Fractions on Liver DNA
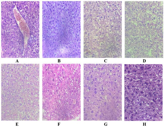
2.11. Effect of Cr(VI) Toxicity and Oligosaccharides Supplementation on Liver Histology
3. Discussion
4. Material and Methods
4.1. Chemicals and Equipment
4.2. Polysaccharides Extraction
4.3. In Vitro Fermentation Using Yeast
4.4. Gel Permeation Chromatography
4.5. Biochemical Analyses
4.6. Monosaccharides Composition Analysis2
4.7. Fourier Transformed Infrared (FT-IR) Spectroscopy
4.8. Antioxidant Activity via DPPH Assay
4.9. Hydrogen Peroxide Radical Scavenging Assay
4.10. Hepatotoxicity and Cytoprotective Studies in Experimental Mice
4.11. Body and Organ Weight
4.12. Biochemical Assessments of Liver
4.13. Screening of the Liver Function Enzyme
4.14. DNA Fragmentation Assay
4.15. Histopathological Observations
4.16. Statistical Analysis
5. Conclusions
Author Contributions
Funding
Institutional Review Board Statement
Informed Consent Statement
Data Availability Statement
Acknowledgments
Conflicts of Interest
Abbreviations
| ALP | Alkaline Phosphatases |
| ALT | Alanine Aminotransferase |
| AST | Aspartate Aminotransferase |
| CFU/mL | Colony Forming Unit per Milliliter |
| Cr | Chromium |
| DPPH | 1,1-diphenyl-2-picrylhydrazyl |
| EPP | Ethanol Precipitated Polysaccharides |
| FT-IR | Fourier Transformed Infrared |
| GC-MS | Gas Chromatography-Mass Spectrometry |
| GPC | Gel Permeation Chromatography |
| H2O2 | Hydrogen Peroxide |
| HPLC | High-Performance Liquid Chromatography |
| IC50 | Half-Maximal Inhibitory Concentration |
| LPO | Lipid Peroxidation |
| MDA | Malondialdehyde |
| ROS | Reactive Oxygen Species |
| TCC | Total Carbohydrates Content |
| YPD | Yeast Extract, Peptone, and Dextrose |
References
- Rahal, A.; Kumar, A.; Singh, V.; Yadav, B.; Tiwari, R.; Chakraborty, S.; Dhama, K. Oxidative stress, prooxidants, and antioxidants: The interplay. BioMed Res. Int. 2014, 2014, 761264. [Google Scholar] [CrossRef] [PubMed]
- Yesildag, K.; Gur, C.; Ileriturk, M.; Kandemir, F.M. Evaluation of oxidative stress, inflammation, apoptosis, oxidative DNA damage and metalloproteinases in the lungs of rats treated with cadmium and carvacrol. Mol. Biol. Rep. 2021, 49, 1201–1211. [Google Scholar] [CrossRef] [PubMed]
- Shekhawat, K.; Chatterjee, S.; Joshi, B. Chromium toxicity and its health hazards. Int. J. Adv. Res. 2015, 3, 167–172. [Google Scholar]
- Chakraborty, R.; Renu, K.; Eladl, M.A.; El-Sherbiny, M.; Elsherbini, D.M.A.; Mirza, A.K.; Vellingiri, B.; Iyer, M.; Dey, A.; Gopalakrishnan, A.V. Mechanism of chromium-induced toxicity in lungs, liver, and kidney and their ameliorative agents. Biomed. Pharmacother. 2022, 151, 113119. [Google Scholar] [CrossRef] [PubMed]
- Lim, D.-W.; Kim, H.; Park, J.-Y.; Kim, J.-E.; Moon, J.-Y.; Park, S.-D.; Park, W.-H. Amomum cardamomum L. ethyl acetate fraction protects against carbon tetrachloride-induced liver injury via an antioxidant mechanism in rats. BMC Complement. Med. Ther. 2016, 16, 155. [Google Scholar] [CrossRef] [PubMed]
- Khalaf, A.A.; Hassanen, E.I.; Ibrahim, M.A.; Tohamy, A.F.; Aboseada, M.A.; Hassan, H.M.; Zaki, A.R. Rosmarinic acid attenuates chromium-induced hepatic and renal oxidative damage and DNA damage in rats. J. Biochem. Mol. Toxicol. 2020, 34, e22579. [Google Scholar] [CrossRef] [PubMed]
- Sahreen, S.; Khan, M.R.; Khan, R.A. Hepatoprotective effects of methanol extract of Carissa opaca leaves on CCl4-induced damage in rat. BMC Complement. Altern. Med. 2011, 11, 48. [Google Scholar] [CrossRef]
- Rasheed, M.U.; Naqvi, S.A.R.; Hassan, S.U.; Haq, A.U.; Janjua, M.R.S.A.; Mahmoud, M.H.; Batiha, G.E.-S.; Rashid, H.; Rahim, M.A.; Rocha, J.M. In vitro and in vivo exploitation of cell stress pathways using methanolic extracts of Phlomis stewartii in diabetic rat’s model. Ind. Crop. Prod. 2024, 217, 118861. [Google Scholar] [CrossRef]
- Qu, J.; Huang, P.; Zhang, L.; Qiu, Y.; Qi, H.; Leng, A.; Shang, D. Hepatoprotective effect of plant polysaccharides from natural resources: A review of the mechanisms and structure-activity relationship. Int. J. Biol. Macromol. 2020, 161, 24–34. [Google Scholar] [CrossRef]
- Cao, P.; Sun, J.; Sullivan, M.A.; Huang, X.; Wang, H.; Zhang, Y.; Wang, N.; Wang, K. Angelica sinensis polysaccharide protects against acetaminophen-induced acute liver injury and cell death by suppressing oxidative stress and hepatic apoptosis in vivo and in vitro. Int. J. Biol. Macromol. 2018, 111, 1133–1139. [Google Scholar] [CrossRef]
- Gao, T.-H.; Liao, W.; Lin, L.-T.; Zhu, Z.-P.; Lu, M.-G.; Fu, C.-M.; Xie, T. Curcumae rhizoma and its major constituents against hepatobiliary disease: Pharmacotherapeutic properties and potential clinical applications. Phytomedicine 2022, 102, 154090. [Google Scholar] [CrossRef] [PubMed]
- Zhu, S.; Qiu, Z.; Qiao, X.; Waterhouse, G.I.; Zhu, W.; Zhao, W.; He, Q.; Zheng, Z. Creating burdock polysaccharide-oleanolic acid-ursolic acid nanoparticles to deliver enhanced anti-inflammatory effects: Fabrication, structural characterization and property evaluation. Food Sci. Hum. Wellness 2023, 12, 454–466. [Google Scholar] [CrossRef]
- Bisht, A.; Krishna, V.; Savita. Production Technology of Underutilized Vegetables of Brassicaceae Family. In Production Technology of Underutilized Vegetable Crops; Springer: Berlin/Heidelberg, Germany, 2023; pp. 173–237. [Google Scholar]
- Ramadan, M.F.; Oraby, H.F. Lepidium sativum seeds: Therapeutic significance and health-promoting potential. In Nuts and Seeds in Health and Disease Prevention; Elsevier: Amsterdam, The Netherlands, 2020; pp. 273–289. [Google Scholar]
- Al-Snafi, A.E. Chemical constituents and pharmacological effects of Lepidium sativum. Int. J. Curr. Pharm. Res. 2019, 11, 1–10. [Google Scholar] [CrossRef]
- Sharma, R.; Kataria, A.; Sharma, S.; Singh, B. Structural characterisation, biological activities and pharmacological potential of glycosaminoglycans and oligosaccharides: A review. Int. J. Food Sci. Technol. 2022, 57, 4–15. [Google Scholar] [CrossRef]
- Su, M.; Hu, R.; Tang, T.; Tang, W.; Huang, C. Review of the correlation between Chinese medicine and intestinal microbiota on the efficacy of diabetes mellitus. Front. Endocrinol. 2023, 13, 1085092. [Google Scholar] [CrossRef] [PubMed]
- Khan, I.U.; Jamil, Y.; Khan, A.; Ahmad, J.; Iqbal, A.; Ali, S.; Hamayun, M.; Hussain, A.; Alrefaei, A.F.; Almutairi, M.H.; et al. Pichia pastoris Mediated Digestion of Water-Soluble Polysaccharides from Cress Seed Mucilage Produces Potent Antidiabetic Oligosaccharides. Pharmaceuticals 2024, 17, 704. [Google Scholar] [CrossRef] [PubMed]
- Karazhiyan, H.; Razavi, S.M.; Phillips, G.O. Extraction optimization of a hydrocolloid extract from cress seed (Lepidium sativum) using response surface methodology. Food Hydrocoll. 2010, 25, 915–920. [Google Scholar] [CrossRef]
- Walker, C.H.; Sibly, R.M.; Hopkin, S.P.; Peakall, D.B. Major classes of pollutants. In Principles of Ecotoxicology, 4th ed.; CRC Press, Taylor & Francis Group: Boca Raton, FL, USA, 2012; pp. 3–26. [Google Scholar]
- Ukhurebor, K.E.; Aigbe, U.O.; Onyancha, R.B.; Nwankwo, W.; Osibote, O.A.; Paumo, H.K.; Ama, O.M.; Adetunji, C.O.; Siloko, I.U. Effect of hexavalent chromium on the environment and removal techniques: A review. J. Environ. Manag. 2020, 280, 111809. [Google Scholar] [CrossRef] [PubMed]
- Ji, X.; Guo, J.; Tian, J.; Ma, K.; Liu, Y. Research progress on degradation methods and product properties of plant polysaccharides. J. Light Ind. 2023, 38, 55–62. [Google Scholar] [CrossRef]
- Balali-Mood, M.; Naseri, K.; Tahergorabi, Z.; Khazdair, M.R.; Sadeghi, M. Toxic mechanisms of five heavy metals: Mercury, lead, chromium, cadmium, and arsenic. Front. Pharmacol. 2021, 12, 643972. [Google Scholar] [CrossRef]
- Wu, Y.; Liu, C.; Jiang, Y.; Bai, B.; He, X.; Wang, H.; Wu, J.; Zheng, C. Structural characterization and hepatoprotective effects of polysaccharides from Anoectochilus zhejiangensis. Int. J. Biol. Macromol. 2021, 198, 111–118. [Google Scholar] [CrossRef]
- Chen, X.; Fu, X.; Huang, L.; Xu, J.; Gao, X. Agar oligosaccharides: A review of preparation, structures, bioactivities and application. Carbohydr. Polym. 2021, 265, 118076. [Google Scholar] [CrossRef] [PubMed]
- Xiao, A.; Xiao, Q.; Lin, Y.; Ni, H.; Zhu, Y.; Cai, H. Efficient immobilization of agarase using carboxyl-functionalized magnetic nanoparticles as support. Electron. J. Biotechnol. 2016, 25, 13–20. [Google Scholar] [CrossRef]
- Rebnegger, C.; Vos, T.; Graf, A.B.; Valli, M.; Pronk, J.T.; Daran-Lapujade, P.; Mattanovich, D. Pichia pastoris exhibits high viability and a low maintenance energy requirement at near-zero specific growth rates. Appl. Environ. Microbiol. 2016, 82, 4570–4583. [Google Scholar] [CrossRef] [PubMed]
- Bai, R.; Zhang, Y.; Jia, X.; Fan, J.; Hou, X.; Wang, Y.; Li, X.; Han, J.; Hu, F. Isolation, characterization and immunomodulatory activity of oligosaccharides from Codonopsis pilosula. J. Funct. Foods 2020, 72, 104070. [Google Scholar] [CrossRef]
- Cui, L.; Wu, J.; Wang, X.; Yang, X.; Ye, Z.; Mayo, K.H.; Sun, L.; Zhou, Y. Purification and identification of oligosaccharides from Cimicifuga heracleifolia Kom. rhizomes. Food Chem. X 2023, 18, 100706. [Google Scholar] [CrossRef] [PubMed]
- Oh, S.; Kim, D.Y. Characterization, antioxidant activities, and functional properties of mucilage extracted from Corchorus olitorius L. Polymers 2022, 14, 2488. [Google Scholar] [CrossRef] [PubMed]
- Ginestra, G.; Parker, M.L.; Bennett, R.N.; Robertson, J.; Mandalari, G.; Narbad, A.; Curto, R.B.L.; Bisignano, G.; Faulds, C.B.; Waldron, K.W. Anatomical, chemical, and biochemical characterization of cladodes from prickly pear [Opuntia ficus-indica (L.) Mill.]. J. Agric. Food Chem. 2009, 57, 10323–10330. [Google Scholar] [CrossRef]
- Koocheki, A.; Hesarinejad, M.A.; Mozafari, M.R. Lepidium perfoliatum seed gum: Investigation of monosaccharide composition, antioxidant activity and rheological behavior in presence of salts. Chem. Biol. Technol. Agric. 2022, 9, 61. [Google Scholar] [CrossRef]
- Zhao, B.; Wang, X.; Liu, H.; Lv, C.; Lu, J. Structural characterization and antioxidant activity of oligosaccharides from Panax ginseng CA Meyer. Int. J. Biol. Macromol. 2020, 150, 737–745. [Google Scholar] [CrossRef]
- Amanah, H.Z.; Tunny, S.S.; Masithoh, R.E.; Choung, M.-G.; Kim, K.-H.; Kim, M.S.; Baek, I.; Lee, W.-H.; Cho, B.-K. Nondestructive prediction of isoflavones and oligosaccharides in intact soybean seed using Fourier transform near-infrared (FT-NIR) and Fourier transform infrared (FT-IR) spectroscopic techniques. Foods 2022, 11, 232. [Google Scholar] [CrossRef] [PubMed]
- Jomova, K.; Raptova, R.; Alomar, S.Y.; Alwasel, S.H.; Nepovimova, E.; Kuca, K.; Valko, M. Reactive oxygen species, toxicity, oxidative stress, and antioxidants: Chronic diseases and aging. Arch. Toxicol. 2023, 97, 2499–2574. [Google Scholar] [CrossRef] [PubMed]
- Hung, Y.-H.R.; Chen, G.-W.; Pan, C.-L.; Lin, H.-T.V. Production of ulvan oligosaccharides with antioxidant and angiotensin-converting enzyme-inhibitory activities by microbial enzymatic hydrolysis. Fermentation 2021, 7, 160. [Google Scholar] [CrossRef]
- Yeung, Y.K.; Kang, Y.-R.; So, B.R.; Jung, S.K.; Chang, Y.H. Structural, antioxidant, prebiotic and anti-inflammatory properties of pectic oligosaccharides hydrolyzed from okra pectin by Fenton reaction. Food Hydrocoll. 2021, 118, 106779. [Google Scholar] [CrossRef]
- Sadasivam, N.; Kim, Y.J.; Radhakrishnan, K.; Kim, D.K. Oxidative stress, genomic integrity, and liver diseases. Molecules 2022, 27, 3159. [Google Scholar] [CrossRef]
- Alkahtani, J.; Elshikh, M.S.; Almaary, K.S.; Ali, S.; Imtiyaz, Z.; Ahmad, S.B. Anti-bacterial, anti-scavenging and cytotoxic activity of garden cress polysaccharides. Saudi J. Biol. Sci. 2020, 27, 2929–2935. [Google Scholar] [CrossRef]
- Yi, J.; Li, L.; Yin, Z.-J.; Quan, Y.-Y.; Tan, R.-R.; Chen, S.-L.; Lang, J.-R.; Li, J.; Zeng, J.; Li, Y.; et al. Polypeptide from Moschus Suppresses Lipopolysaccharide-Induced Inflammation by Inhibiting NF-κ B-ROS/NLRP3 Pathway. Chin. J. Integr. Med. 2023, 29, 895–904. [Google Scholar] [CrossRef] [PubMed]
- Cheong, K.-L.; Li, J.-K.; Zhong, S. Preparation and structure characterization of high-value Laminaria digitata oligosaccharides. Front. Nutr. 2022, 9, 945804. [Google Scholar] [CrossRef]
- Shil, K.; Pal, S. Metabolic and morphological disorientations in the liver and skeletal muscle of mice exposed to hexavalent chromium. Comp. Clin. Pathol. 2019, 28, 1729–1741. [Google Scholar] [CrossRef]
- Zhang, Y.; Wang, D.; Tan, D.; Zou, A.; Wang, Z.; Gong, H.; Yang, Y.; Sun, L.; Lin, X.; Liang, M.; et al. Immune-enhancing activity of compound polysaccharide on the inactivated influenza vaccine. Carbohydr. Polym. 2024, 336, 122080. [Google Scholar] [CrossRef]
- Suljević, D.; Sulejmanović, J.; Fočak, M.; Halilović, E.; Pupalović, D.; Hasić, A.; Alijagic, A. Assessing hexavalent chromium tissue-specific accumulation patterns and induced physiological responses to probe chromium toxicity in Coturnix japonica quail. Chemosphere 2020, 266, 129005. [Google Scholar] [CrossRef]
- El-Demerdash, F.M.; El-Sayed, R.A.; Abdel-Daim, M.M. Hepatoprotective potential of Rosmarinus officinalis essential oil against hexavalent chromium-induced hematotoxicity, biochemical, histological, and immunohistochemical changes in male rats. Environ. Sci. Pollut. Res. 2021, 28, 17445–17456. [Google Scholar] [CrossRef]
- Lv, Y.; Zhang, P.; Guo, J.; Zhu, Z.; Li, X.; Xu, D.; Zeng, W. Melatonin protects mouse spermatogonial stem cells against hexavalent chromium-induced apoptosis and epigenetic histone modification. Toxicol. Appl. Pharmacol. 2017, 340, 30–38. [Google Scholar] [CrossRef]
- Suchana, S.A.; Ahmed, S.; Islam, S.M.M.; Rahman, M.L.; Rohani, F.; Ferdusi, T.; Ahmmad, A.K.S.; Fatema, M.K.; Badruzzaman, M. Chromium exposure causes structural aberrations of erythrocytes, gills, liver, kidney, and genetic damage in striped catfish Pangasianodon hypophthalmus. Biol. Trace Elem. Res. 2020, 199, 3869–3885. [Google Scholar] [CrossRef]
- Masuko, T.; Minami, A.; Iwasaki, N.; Majima, T.; Nishimura, S.-I.; Lee, Y.C. Carbohydrate analysis by a phenol–sulfuric acid method in microplate format. Anal. Biochem. 2005, 339, 69–72. [Google Scholar] [CrossRef]
- Blumenkrantz, N.; Asboe-Hansen, G. New method for quantitative determination of uronic acids. Anal. Biochem. 1973, 54, 484–489. [Google Scholar] [CrossRef]
- Payasi, A.; Sanwal, G. Pectate lyase activity during ripening of banana fruit. Phytochemistry 2003, 63, 243–248. [Google Scholar] [CrossRef]
- Dische, Z. General color reactions. Methods Carbohydr. Chem. 1962, 1, 478–512. [Google Scholar]
- A Pettolino, F.; Walsh, C.; Fincher, G.B.; Bacic, A. Determining the polysaccharide composition of plant cell walls. Nat. Protoc. 2012, 7, 1590–1607. [Google Scholar] [CrossRef]
- Lee, H.B.; Son, S.U.; Lee, J.E.; Lee, S.H.; Kang, C.H.; Kim, Y.S.; Shin, K.S.; Park, H.Y. Characterization, prebiotic and immune-enhancing activities of rhamnogalacturonan-I-rich polysaccharide fraction from molokhia leaves. Int. J. Biol. Macromol. 2021, 175, 443–450. [Google Scholar] [CrossRef]
- Ji, X.; Hou, C.; Yan, Y.; Shi, M.; Liu, Y. Comparison of structural characterization and antioxidant activity of polysaccharides from jujube (Ziziphus jujuba Mill.) fruit. Int. J. Biol. Macromol. 2020, 149, 1008–1018. [Google Scholar] [CrossRef]
- Shao, L.; Sun, Y.; Liang, J.; Li, M.; Li, X. Decolorization affects the structural characteristics and antioxidant activity of polysaccharides from Thesium chinense Turcz: Comparison of activated carbon and hydrogen peroxide decolorization. Int. J. Biol. Macromol. 2019, 155, 1084–1091. [Google Scholar] [CrossRef]
- Ohkawa, H.; Ohishi, N.; Yagi, K. Assay for lipid peroxides in animal tissues by thiobarbituric acid reaction. Anal. Biochem. 1979, 95, 351–358. [Google Scholar] [CrossRef]
- Li, D.; Liu, Q.; Lu, X.; Li, Z.; Wang, C.; Leung, C.-H.; Wang, Y.; Peng, C.; Lin, L. α-Mangostin remodels visceral adipose tissue inflammation to ameliorate age-related metabolic disorders in mice. Aging 2019, 11, 11084–11110. [Google Scholar] [CrossRef]










| Saccharides | DF53 | DF62 | DF72 | DF73 | |
|---|---|---|---|---|---|
| Neutral Saccharides | Arabinose | 6.53 | 13.17 | 2.78 | 2.98 |
| Fucose | 3.67 | 5.12 | 2.09 | 0.85 | |
| Xylose | Traces | 4.32 | 1.18 | Traces | |
| Galactose | 4.98 | 5.38 | 3.19 | 3.17 | |
| Glucose | 17.32 | 31.45 | 17.56 | 5.23 | |
| Rhamnose | 10.64 | - | 3.03 | 4.98 | |
| Sucrose | 5.67 | 9.28 | 5.23 | 3.16 | |
| Maltose | 3.28 | 0.7 | 6.98 | 2.67 | |
| Acidic Monosaccharaides | Galacturonic Acid | 32.18 | 26.34 | 50.83 | 71.23 |
| Glucuronic Acid | 15.63 | 4.24 | 7.13 | 5.43 |
| Half-Maximal Inhibitory Concentration (IC50) in µg/mL | ||
|---|---|---|
| DPPH | H2O2 | |
| EPP | 93.1 ± 1.65 | 80.77 ± 0.01 |
| DF53 | 55.7 ± 2.78 | 55.56 ± 0.36 |
| DF62 | 61.91 ± 1.98 | 59.46 ± 5.32 |
| DF72 | 40.92 ± 3.25 | 59.07 ± 4.01 |
| DF73 | 23.28 ± 2.88 | 51.63 ± 4.77 |
| Standard Drug | 22.01 ± 4.76 | 29.14 ± 2.28 |
Disclaimer/Publisher’s Note: The statements, opinions and data contained in all publications are solely those of the individual author(s) and contributor(s) and not of MDPI and/or the editor(s). MDPI and/or the editor(s) disclaim responsibility for any injury to people or property resulting from any ideas, methods, instructions or products referred to in the content. |
© 2024 by the authors. Licensee MDPI, Basel, Switzerland. This article is an open access article distributed under the terms and conditions of the Creative Commons Attribution (CC BY) license (https://creativecommons.org/licenses/by/4.0/).
Share and Cite
Khan, I.U.; Aqsa, A.; Jamil, Y.; Khan, N.; Iqbal, A.; Ali, S.; Hamayun, M.; Alrefaei, A.F.; Faraj, T.K.; Lee, B.; et al. Anti-Oxidative and Anti-Apoptotic Oligosaccharides from Pichia pastoris-Fermented Cress Polysaccharides Ameliorate Chromium-Induced Liver Toxicity. Pharmaceuticals 2024, 17, 958. https://doi.org/10.3390/ph17070958
Khan IU, Aqsa A, Jamil Y, Khan N, Iqbal A, Ali S, Hamayun M, Alrefaei AF, Faraj TK, Lee B, et al. Anti-Oxidative and Anti-Apoptotic Oligosaccharides from Pichia pastoris-Fermented Cress Polysaccharides Ameliorate Chromium-Induced Liver Toxicity. Pharmaceuticals. 2024; 17(7):958. https://doi.org/10.3390/ph17070958
Chicago/Turabian StyleKhan, Imdad Ullah, Aqsa Aqsa, Yusra Jamil, Naveed Khan, Amjad Iqbal, Sajid Ali, Muhammad Hamayun, Abdulwahed Fahad Alrefaei, Turki Kh. Faraj, Bokyung Lee, and et al. 2024. "Anti-Oxidative and Anti-Apoptotic Oligosaccharides from Pichia pastoris-Fermented Cress Polysaccharides Ameliorate Chromium-Induced Liver Toxicity" Pharmaceuticals 17, no. 7: 958. https://doi.org/10.3390/ph17070958
APA StyleKhan, I. U., Aqsa, A., Jamil, Y., Khan, N., Iqbal, A., Ali, S., Hamayun, M., Alrefaei, A. F., Faraj, T. K., Lee, B., & Ahmad, A. (2024). Anti-Oxidative and Anti-Apoptotic Oligosaccharides from Pichia pastoris-Fermented Cress Polysaccharides Ameliorate Chromium-Induced Liver Toxicity. Pharmaceuticals, 17(7), 958. https://doi.org/10.3390/ph17070958

