Phytochemical Profile, Antioxidant, Antimicrobial and Cytoprotective Effects of Cornelian Cherry (Cornus mas L.) Fruit Extracts
Abstract
1. Introduction
2. Results
2.1. Total Content of Polyphenols, Flavonoids and Carotenoids of Cornus mas L. Fruit extracts
2.2. Identification of Phenolic Compounds by HPLC-DAD-ESI-MS
2.3. Antioxidant Capacity
2.4. Antimicrobial Activity
2.5. Cytoprotective Activity of Cornus mas L. Extract in Gentamicin-Induced Nephrotoxicity on Primary Mice Renal Epithelial Cells
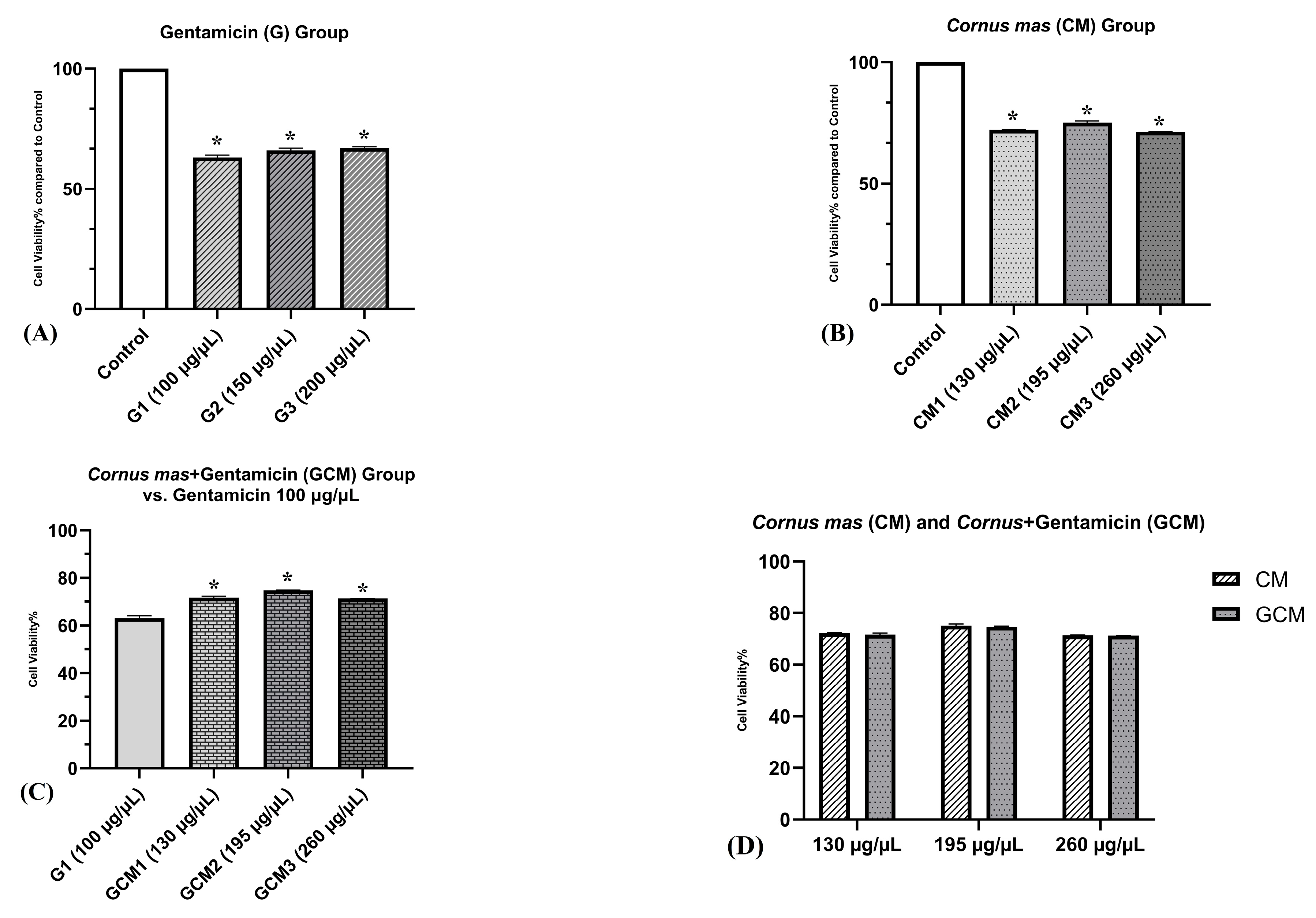
2.5.1. Evaluation of Cell Viability by MTT Assay
2.5.2. Evaluation of Cell Apoptotic Rate by Annexin-V FITC Assay
3. Discussions
4. Materials and Methods
4.1. Chemicals and Reagents
4.2. Phytochemical Profile of Cornus mas L. Fruit Extracts
4.2.1. Harvesting Fruit Samples
4.2.2. Preparation of Extracts
4.2.3. Total Phenolic Content Assay
4.2.4. Total Flavonoid Content Assay
4.2.5. HPLC-DAD-ESI-MS Screening
4.2.6. Total Carotenoid Content Assay
4.3. Antioxidant Capacity
4.3.1. Radical Scavenging Activity Assay (DPPH)
4.3.2. Ferric Reducing Antioxidant Power Assay (FRAP)
4.4. Antimicrobial Activity
4.5. Cell Cultures and Cytotoxic Activity
4.5.1. Experimental Animals and Protocols
4.5.2. Renal Epithelial Cell Cultures
4.5.3. Cell Viability Assay
4.5.4. Cell Apoptotic Assay
4.6. Statistical Analysis
5. Conclusions
Author Contributions
Funding
Institutional Review Board Statement
Informed Consent Statement
Data Availability Statement
Conflicts of Interest
References
- Cory, H.; Passarelli, S.; Szeto, J.; Tamez, M.; Mattei, J. The Role of Polyphenols in Human Health and Food Systems: A Mini-Review. Front. Nutr. 2018, 5, 87. [Google Scholar] [CrossRef] [PubMed]
- Chen, C.; Chaudhary, A.; Mathys, A. Dietary Change Scenarios and Implications for Environmental, Nutrition, Human Health and Economic Dimensions of Food Sustainability. Nutrients 2019, 11, 856. [Google Scholar] [CrossRef] [PubMed]
- Jubair, N.; Rajagopal, M.; Chinnappan, S.; Abdullah, N.B.; Fatima, A. Review on the Antibacterial Mechanism of Plant-Derived Compounds against Multidrug-Resistant Bacteria (MDR). Evid.-Based Complement. Altern. Med. 2021, 2021, 1–30. [Google Scholar] [CrossRef]
- Süntar, I. Importance of ethnopharmacological studies in drug discovery: Role of medicinal plants. Phytochem. Rev. 2020, 19, 1199–1209. [Google Scholar] [CrossRef]
- Dehelean, C.A.; Marcovici, I.; Soica, C.; Mioc, M.; Coricovac, D.; Iurciuc, S.; Cretu, O.M.; Pinzaru, I. Plant-Derived Anticancer Compounds as New Perspectives in Drug Discovery and Alternative Therapy. Molecules 2021, 26, 1109. [Google Scholar] [CrossRef]
- Kirichenko, T.V.; Sukhorukov, V.N.; Markin, A.M.; Nikiforov, N.G.; Liu, P.-Y.; Sobenin, I.A.; Tarasov, V.V.; Orekhov, A.N.; Aliev, G. Medicinal Plants as a Potential and Successful Treatment Option in the Context of Atherosclerosis. Front. Pharmacol. 2020, 11, 403. [Google Scholar] [CrossRef]
- Maher, P. The Potential of Flavonoids for the Treatment of Neurodegenerative Diseases. Int. J. Mol. Sci. 2019, 20, 3056. [Google Scholar] [CrossRef]
- Hussain, G.; Rasul, A.; Anwar, H.; Aziz, N.; Razzaq, A.; Wei, W.; Ali, M.; Li, J.; Li, X. Role of Plant Derived Alkaloids and Their Mechanism in Neurodegenerative Disorders. Int. J. Biol. Sci. 2018, 14, 341–357. [Google Scholar] [CrossRef]
- Gamede, M.; Mabuza, L.; Ngubane, P.; Khathi, A. The Effects of Plant-Derived Oleanolic Acid on Selected Parameters of Glucose Homeostasis in a Diet-Induced Pre-Diabetic Rat Model. Molecules 2018, 23, 794. [Google Scholar] [CrossRef]
- Tran, N.; Pham, B.; Le, L. Bioactive Compounds in Anti-Diabetic Plants: From Herbal Medicine to Modern Drug Discovery. Biology 2020, 9, 252. [Google Scholar] [CrossRef]
- Dey, P. Gut microbiota in phytopharmacology: A comprehensive overview of concepts, reciprocal interactions, biotransformations and mode of actions. Pharmacol. Res. 2019, 147, 104367. [Google Scholar] [CrossRef] [PubMed]
- Peng, J.; Zheng, T.-T.; Li, X.; Liang, Y.; Wang, L.-J.; Huang, Y.-C.; Xiao, H.-T. Plant-Derived Alkaloids: The Promising Disease-Modifying Agents for Inflammatory Bowel Disease. Front. Pharmacol. 2019, 10, 351. [Google Scholar] [CrossRef]
- Zorzi, M.; Gai, F.; Medana, C.; Aigotti, R.; Morello, S.; Peiretti, P.G. Bioactive Compounds and Antioxidant Capacity of Small Berries. Foods 2020, 9, 623. [Google Scholar] [CrossRef] [PubMed]
- De Biaggi, M.; Donno, D.; Mellano, M.G.; Riondato, I.; Rakotoniaina, E.N.; Beccaro, G.L. Cornus mas (L.) Fruit as a Potential Source of Natural Health-Promoting Compounds: Physico-Chemical Characterisation of Bioactive Components. Plant Foods Hum. Nutr. 2018, 73, 89–94. [Google Scholar] [CrossRef]
- Tenuta, M.C.; Deguin, B.; Loizzo, M.R.; Cuyamendous, C.; Bonesi, M.; Sicari, V.; Trabalzini, L.; Mitaine-Offer, A.-C.; Xiao, J.; Tundis, R. An Overview of Traditional Uses, Phytochemical Compositions and Biological Activities of Edible Fruits of European and Asian Cornus Species. Foods 2022, 11, 1240. [Google Scholar] [CrossRef]
- Dinda, B.; Kyriakopoulos, A.M.; Dinda, S.; Zoumpourlis, V.; Thomaidis, N.S.; Velegraki, A.; Markopoulos, C.; Dinda, M. Cornus mas L. (cornelian cherry), an important European and Asian traditional food and medicine: Ethnomedicine, phytochemistry and pharmacology for its commercial utilization in drug industry. J. Ethnopharmacol. 2016, 193, 670–690. [Google Scholar] [CrossRef]
- Hosseinpour-Jaghdani, F.; Shomali, T.; Gholipour-Shahraki, S.; Rahimi-Madiseh, M.; Rafieian-Kopaei, M. Cornus mas: A review on traditional uses and pharmacological properties. J. Complement. Integr. Med. 2017, 14. [Google Scholar] [CrossRef]
- Bayram, H.M.; Arda Ozturkcan, S. Bioactive components and biological properties of cornelian cherry (Cornus mas L.): A comprehensive review. J. Funct. Foods 2020, 75, 104252. [Google Scholar] [CrossRef]
- Szczepaniak, O.M.; Kobus-Cisowska, J.; Kusek, W.; Przeor, M. Functional properties of Cornelian cherry (Cornus mas L.): A comprehensive review. Eur. Food Res. Technol. 2019, 245, 2071–2087. [Google Scholar] [CrossRef]
- Drkenda, P.; Spahic, A.; Begic-Akagic, A.; Gasi, F.; Vranac, A.; Blanke, M. Pomological characteristics of some autochthonous genotypes of cornelian cherry (Cornus mas L.) in Bosnia and Herzegovina. Erwerbs-Obstbau 2014, 56, 59–66. [Google Scholar] [CrossRef]
- Tiptiri-Kourpeti, A.; Fitsiou, E.; Spyridopoulou, K.; Vasileiadis, S.; Iliopoulos, C.; Galanis, A.; Vekiari, S.; Pappa, A.; Chlichlia, K. Evaluation of Antioxidant and Antiproliferative Properties of Cornus mas L. Fruit Juice. Antioxidants 2019, 8, 377. [Google Scholar] [CrossRef]
- Deng, S.; West, B.J.; Jensen, C.J. UPLC-TOF-MS Characterization and Identification of Bioactive Iridoids in Cornus mas Fruit. J. Anal. Methods Chem. 2013, 2013, 1–7. [Google Scholar] [CrossRef]
- Bijelić, S.M.; Gološin, B.R.; Ninić Todorović, J.I.; Cerović, S.B.; Popović, B.M. Physicochemical Fruit Characteristics of Cornelian Cherry (Cornus mas L.) Genotypes from Serbia. HortScience 2011, 46, 849–853. [Google Scholar] [CrossRef]
- Rop, O.; Mlcek, J.; Kramarova, D.; Jurikova, T. Selected cultivars of cornelian cherry (Cornus mas L.) as a new food source for human nutrition. Afr. J. Biotechnol. 2010, 9, 1205–1210. [Google Scholar]
- Hassanpour, H.; Yousef, H.; Jafar, H.; Mohammad, A. Antioxidant capacity and phytochemical properties of cornelian cherry (Cornus mas L.) genotypes in Iran. Sci. Hortic. 2011, 129, 459–463. [Google Scholar] [CrossRef]
- Klymenko, S.; Kucharska, A.Z.; Sokół-Łętowska, A.; Piórecki, N.; Przybylska, D.; Grygorieva, O. Iridoids, Flavonoids, and Antioxidant Capacity of Cornus mas, C. officinalis, and C. mas × C. officinalis Fruits. Biomolecules 2021, 11, 776. [Google Scholar] [CrossRef]
- Borroto Fernández, E.G.; Mokhber, A.; Zeiser, M.; Laimer, M. Phenotypic Characterization of a Wild-Type Population of Cornelian Cherries (Cornus mas L.) from Austria. Erwerbs-Obstbau 2022, 64, 673–683. [Google Scholar] [CrossRef]
- Wójciak, M.; Zagórska-Dziok, M.; Nizioł-Łukaszewska, Z.; Ziemlewska, A.; Furman-Toczek, D.; Szczepanek, D.; Sowa, I. In Vitro Evaluation of Anti-Inflammatory and Protective Potential of an Extract from Cornus mas L. Fruit against H2O2-Induced Oxidative Stress in Human Skin Keratinocytes and Fibroblasts. Int. J. Mol. Sci. 2022, 23, 13755. [Google Scholar] [CrossRef]
- Dzydzan, O.; Bila, I.; Kucharska, A.Z.; Brodyak, I.; Sybirna, N. Antidiabetic effects of extracts of red and yellow fruits of cornelian cherries (Cornus mas L.) on rats with streptozotocin-induced diabetes mellitus. Food Funct. 2019, 10, 6459–6472. [Google Scholar] [CrossRef]
- Lewandowski, Ł.; Bednarz-Misa, I.; Kucharska, A.Z.; Kubiak, A.; Kasprzyk, P.; Sozański, T.; Przybylska, D.; Piórecki, N.; Krzystek-Korpacka, M. Cornelian Cherry (Cornus mas L.) Extracts Exert Cytotoxicity in Two Selected Melanoma Cell Lines—A Factorial Analysis of Time-Dependent Alterations in Values Obtained with SRB and MTT Assays. Molecules 2022, 27, 4193. [Google Scholar] [CrossRef]
- Lietava, J.; Beerova, N.; Klymenko, S.V.; Panghyova, E.; Varga, I.; Pechanova, O. Effects of Cornelian Cherry on Atherosclerosis and Its Risk Factors. Oxidative Med. Cell. Longev. 2019, 2019, 1–8. [Google Scholar] [CrossRef] [PubMed]
- Mehrabi, M.; Sadraie, J.; Ghaffarifar, F. Comparative study of the effect of garlic tablet and blueberry extract on Cryptosporidum parvum oocysts in HANK solution. HBI J. 2012, 17, 53–60. [Google Scholar]
- Danielewski, M.; Kucharska, A.Z.; Matuszewska, A.; Rapak, A.; Gomułkiewicz, A.; Dzimira, S.; Dzięgiel, P.; Nowak, B.; Trocha, M.; Magdalan, J.; et al. Cornelian Cherry (Cornus mas L.) Iridoid and Anthocyanin Extract Enhances PPAR-α, PPAR-γ Expression and Reduces I/M Ratio in Aorta, Increases LXR-α Expression and Alters Adipokines and Triglycerides Levels in Cholesterol-Rich Diet Rabbit Model. Nutrients 2021, 13, 3621. [Google Scholar] [CrossRef]
- Yarim, G.F.; Kazak, F.; Sozmen, M.; Koca, I.; Albayrak, H.; Yarim, M.; Cenesiz, S.; Ozan, E. Investigation of the effect of cornelian cherry (Cornus mas L.) fruit extract against cisplatin-induced renal cell injury in vitro. Turk. J. Biochem. 2017, 42, 435–443. [Google Scholar] [CrossRef]
- Mesgari Abbasi, M.; Hassanalilou, T.; Khordadmehr, M.; Mohammadzadeh Vardin, A.; Behroozi Kohlan, A.; Khalili, L. Effects of Cornus mas Fruit Hydro-Methanolic Extract on Liver Antioxidants and Histopathologic Changes Induced by Cisplatin in Rats. Indian J. Clin. Biochem. 2020, 35, 218–224. [Google Scholar] [CrossRef]
- Darbandi, N.; Hashemi, A.; Noori, M.; Momeni, H.R. Effect of Cornus mas fruit flavonoids on memory retention, level of plasma glucose and lipids in an intracerebroventricular streptozotocin-induced experimental Alzheimer’s disease model in Wistar rats. Environ. Exp. Biol. 2016, 14, 113–120. [Google Scholar] [CrossRef]
- Cosmulescu, S.; Trandafir, I.; Nour, V. Phenolic acids and flavonoids profiles of extracts from edible wild fruits and their antioxidant properties. Int. J. Food Prop. 2017, 20, 3124–3134. [Google Scholar] [CrossRef]
- Perova, I.B.; Zhogova, A.A.; Poliakova, A.V.; Éller, K.I.; Ramenskaia, G.V.; Samylina, I.A. Biologically active substances of cornelian cherry fruits (Cornus mas L.). Vopr. Pitan. 2014, 83, 86–94. [Google Scholar]
- Szczepaniak, O.M.; Kobus-Cisowska, J.; Nowosad, K.; Stuper-Szablewska, K.; Markowska, J.; Szulc, P. Relationship of colour with the phytocompounds present in Cornus mas cultivars. Int. J. Food Prop. 2021, 24, 400–414. [Google Scholar] [CrossRef]
- Rosu, C.M.; Olteanu, Z.; Truta, E.; Ciornea, E.; Manzu, C.; Zamfirache, M.M. Nutritional value of Rosa spp. L. and Cornus mas L. fruits, as affected by storage conditions. J. Exp. Mol. Biol. 2011, 12, 147. [Google Scholar]
- Antoniewska-Krzeska, A.; Ivanišová, E.; Klymenko, S.; Bieniek, A.A.; Šramková, K.F.; Brindza, J. Nutrients Content and Composition in Different Morphological Parts of Cornelian Cherry (Cornus mas L.). Agrobiodiversity Improv. Nutr. Health Life Qual. 2022, 6. Available online: https://agrobiodiversity.uniag.sk/scientificpapers/article/view/426 (accessed on 19 February 2023).
- Park, E.; Sozański, T.; Lee, C.-G.; Kucharska, A.Z.; Przybylska, D.; Piórecki, N.; Jeong, S.-Y. A Comparison of the Antiosteoporotic Effects of Cornelian Cherry (Cornus mas L.) Extracts from Red and Yellow Fruits Containing Different Constituents of Polyphenols and Iridoids in Osteoblasts and Osteoclasts. Oxidative Med. Cell. Longev. 2022, 2022, 1–16. [Google Scholar] [CrossRef] [PubMed]
- Ersoy, N.; Bagci, Y.; Gok, V. Antioxidant properties of 12 cornelian cherry fruit types (Cornus mas L.) selected from Turkey. Sci. Res. Essays 2011, 6, 98–102. [Google Scholar] [CrossRef]
- Celep, E.; Aydın, A.; Yesilada, E. A comparative study on the in vitro antioxidant potentials of three edible fruits: Cornelian cherry, Japanese persimmon and cherry laurel. Food Chem. Toxicol. 2012, 50, 3329–3335. [Google Scholar] [CrossRef] [PubMed]
- Moldovan, B.; Filip, A.; Clichici, S.; Suharoschi, R.; Bolfa, P.; David, L. Antioxidant activity of Cornelian cherry (Cornus mas L.) fruits extract and the in vivo evaluation of its anti-inflammatory effects. J. Funct. Foods 2016, 26, 77–87. [Google Scholar] [CrossRef]
- Kyriakopoulos, A.M.; Dinda, B. Cornus mas (Linnaeus) Novel Devised Medicinal Preparations: Bactericidal Effect against Staphylococcus aureus and Pseudomonas aeruginosa. Molecules 2015, 20, 11202–11218. [Google Scholar] [CrossRef]
- Krzyściak, P.; Krośniak, M.; Gąstoł, M.; Ochońska, D.; Krzyściak, W. Antimicrobial activity of Cornelian cherry (Cornus mas L.). Postępy Fitoter. 2011, 4, 227–231. [Google Scholar]
- Quiros, Y.; Vicente-Vicente, L.; Morales, A.I.; López-Novoa, J.M.; López-Hernández, F.J. An Integrative Overview on the Mechanisms Underlying the Renal Tubular Cytotoxicity of Gentamicin. Toxicol. Sci. 2010, 119, 245–256. [Google Scholar] [CrossRef]
- Sarwar, S.; Hossain, M.J.; Irfan, N.M.; Ahsan, T.; Arefin, M.S.; Rahman, A.; Alsubaie, A.; Alharthi, B.; Khandaker, M.U.; Bradley, D.A.; et al. Renoprotection of Selected Antioxidant-Rich Foods (Water Spinach and Red Grape) and Probiotics in Gentamicin-Induced Nephrotoxicity and Oxidative Stress in Rats. Life 2022, 12, 60. [Google Scholar] [CrossRef]
- Maldonado, P.D.; Barrera, D.; Rivero, I.; Mata, R.; Medina-Campos, O.N.; Hernández-Pando, R.; Pedraza-Chaverrí, J. Antioxidant S-allylcysteine prevents gentamicin-induced oxidative stress and renal damage. Free. Radic. Biol. Med. 2003, 35, 317–324. [Google Scholar] [CrossRef]
- Khan, S.A.; Priyamvada, S.; Farooq, N.; Khan, S.; Khan, M.W.; Yusufi, A.N.K. Protective effect of green tea extract on gentamicin-induced nephrotoxicity and oxidative damage in rat kidney. Pharmacol. Res. 2009, 59, 254–262. [Google Scholar] [CrossRef]
- Yue, L.; Yang, Y.-R.; Ma, W.-X.; Wang, H.-Y.; Fan, Q.-W.; Wang, Y.-Y.; Li, C.; Wang, J.; Hu, Z.-M.; Wang, X.-F.; et al. Epigallocatechin Gallate Attenuates Gentamicin-Induced Nephrotoxicity by Suppressing Apoptosis and Ferroptosis. Molecules 2022, 27, 8564. [Google Scholar] [CrossRef]
- Negrette-Guzmán, M.; Huerta-Yepez, S.; Medina-Campos, O.N.; Zatarain-Barrón, Z.L.; Hernández-Pando, R.; Torres, I.; Tapia, E.; Pedraza-Chaverri, J. Sulforaphane Attenuates Gentamicin-Induced Nephrotoxicity: Role of Mitochondrial Protection. Evid.-Based Complement. Altern. Med. 2013, 2013, 135314. [Google Scholar] [CrossRef] [PubMed]
- Shin, H.-S.; Yu, M.; Kim, M.; Choi, H.S.; Kang, D.-H. Renoprotective effect of red ginseng in gentamicin-induced acute kidney injury. Lab. Investig. 2014, 94, 1147–1160. [Google Scholar] [CrossRef] [PubMed]
- Dumitraş, D.-A.; Bunea, A.; Vodnar, D.C.; Hanganu, D.; Pall, E.; Cenariu, M.; Gal, A.F.; Andrei, S. Phytochemical Characterization of Taxus baccata L. Aril with Emphasis on Evaluation of the Antiproliferative and Pro-Apoptotic Activity of Rhodoxanthin. Antioxidants 2022, 11, 1039. [Google Scholar] [CrossRef] [PubMed]
- Zeb, A.; Ullah, F. Reversed Phase HPLC-DAD Profiling of Carotenoids, Chlorophylls and Phenolic Compounds in Adiantum capillus-veneris Leaves. Front. Chem. 2017, 5, 29. [Google Scholar] [CrossRef] [PubMed]
- Popović, B.M.; Štajner, D.; Slavko, K.; Sandra, B. Antioxidant capacity of cornelian cherry (Cornus mas L.)–Comparison between permanganate reducing antioxidant capacity and other antioxidant methods. Food Chem. 2012, 134, 734–741. [Google Scholar] [CrossRef]
- Munteanu, I.G.; Apetrei, C. Analytical Methods Used in Determining Antioxidant Activity: A Review. Int. J. Mol. Sci. 2021, 22, 3380. [Google Scholar] [CrossRef]
- European Committee on Antimicrobial Susceptibility Testing, (EUCAST). Antimicrobial Susceptibility Testing EUCAST Disk Diffusion Method; EUCAST: Seongnam-si, Republic of Korea, 2020. [Google Scholar]
- Buza, V.; Niculae, M.; Hanganu, D.; Pall, E.; Burtescu, R.F.; Olah, N.K.; Matei-Lațiu, M.C.; Vlasiuc, I.; Iozon, I.; Szakacs, A.R.; et al. Biological Activities and Chemical Profile of Gentiana Asclepiadea and Inula Helenium Ethanolic Extracts. Molecules 2022, 27, 3560. [Google Scholar] [CrossRef]
- Niculae, M.; Hanganu, D.; Oniga, I.; Benedec, D.; Ielciu, I.; Giupana, R.; Sandru, C.D.; Ciocârlan, N.; Spinu, M. Phytochemical Profile and Antimicrobial Potential of Extracts Obtained from Thymus marschallianus Willd. Molecules 2019, 24, 3101. [Google Scholar] [CrossRef]
- ISO 10993-6; Biological Evaluation of Medical Devices—Part 2: Animal Welfare Requirements. International Organization for Standardization: Geneva, Switzerland, 2006.






| Fruit Extract Samples | Total Polyphenols (TP) * (mg GAE/mL) | Total Flavonoids (TF) * (µg/mL) | Total Carotenoids (TC) ** (µg/g DM) |
|---|---|---|---|
| S1 | 0.872 | 139.17 | 3.8 |
| S2 | 0.869 | 141.23 | 4 |
| S3 | 0.876 | 137.03 | 3.6 |
| Mean ± SD | 0.872 ± 0.0035 | 139.14 ± 2.100 | 3.8 ± 0.0002 |
| Nr. Peak | Retention Time Rt (min) | UV λmax (nm) | [M + H] + (m/z) | Compound | Subclass | Concentration (μg/mL) |
|---|---|---|---|---|---|---|
| 1 | 3.28 | 270 | 333, 171 | Gallic acid glucoside | Hydroxybenzoic acid | 248.516 |
| 2 | 3.82 | 520, 322, 280 | 595, 449 | Cy3-O-(coumaroyl-glucoside) | Anthocyanin | 6.439 |
| 3 | 11.34 | 340, 290 | 391 | Loganin | Iridoid | 111.478 |
| 4 | 11.86 | 520, 280 | 449, 595 | Cy 3-O-galactoside Cy 3-O-robinobioside | Anthocyanin | 89.484 |
| 5 | 12.22 | 330 | 355, 163 | 5-Caffeoylquinic acid (Chlorogenic acid) | Hydroxycinnamic acid | 23.189 |
| 6 | 12.59 | 514, 280 | 433, 579 | Pg 3-O-galactoside Pg 3-O-robinobioside | Anthocyanin | 42.826 |
| 7 | 13.04 | 322 | 181 | Caffeic acid | Hydroxycinnamic acid | 57.150 |
| 8 | 14.29 | 350, 280 | 359 | Sweroside | Iridoid | 31.602 |
| 9 | 15.99 | 360, 255 | 611 | Q 3-O-rutinoside (Rutin) | Flavonol | 29.635 |
| 10 | 17.21 | 340, 261 | 449 | K 3-O-galactoside | Flavonol | 11.023 |
| 11 | 17.49 | 280 | 579, 291 | Procyanidin dimer | Flavonol | 195.826 |
| Sample | Zone of Inhibitions (mm) | |||||
|---|---|---|---|---|---|---|
| MSSA * | MRSA * | Bacillus cereus | Enterococcus faecalis | Escherichia coli | Pseudomonas aeruginosa | |
| Cornus mas L. | 20 ± 0.00 a | 16.33 ± 0.47 a | 17 ± 0.00 a,b | 22.33 ± 0.47 a | 20 ± 0.00 | 22.33 ± 0.47 |
| Amoxicillin–clavulanic acid | 29 ± 0.00 | 28 ± 0.00 | 20 ± 0.00 | 17 ± 0.00 | 19 ± 0.00 | 0 |
| Gentamicin | 20 ± 0.00 | 17 ± 0.00 | 26 ± 0.00 | 0 | 19 ± 0.00 | 19 ± 0.00 |
| MIC Index MBC (µg GAE/µL)/MIC (µg GAE/µL) | ||||||
|---|---|---|---|---|---|---|
| Sample | MSSA | MRSA | Bacillus cereus | Enterococcus faecalis | Escherichia coli | Pseudomonas aeruginosa |
| Cornus mas L. | 1 5.07/5.07 | 1 5.07/5.07 | 1 5.07/5.07 | 2 10.1/5.07 | 2 10.1/5.07 | 1 81.2/81.2 |
Disclaimer/Publisher’s Note: The statements, opinions and data contained in all publications are solely those of the individual author(s) and contributor(s) and not of MDPI and/or the editor(s). MDPI and/or the editor(s) disclaim responsibility for any injury to people or property resulting from any ideas, methods, instructions or products referred to in the content. |
© 2023 by the authors. Licensee MDPI, Basel, Switzerland. This article is an open access article distributed under the terms and conditions of the Creative Commons Attribution (CC BY) license (https://creativecommons.org/licenses/by/4.0/).
Share and Cite
Aurori, M.; Niculae, M.; Hanganu, D.; Pall, E.; Cenariu, M.; Vodnar, D.C.; Bunea, A.; Fiţ, N.; Andrei, S. Phytochemical Profile, Antioxidant, Antimicrobial and Cytoprotective Effects of Cornelian Cherry (Cornus mas L.) Fruit Extracts. Pharmaceuticals 2023, 16, 420. https://doi.org/10.3390/ph16030420
Aurori M, Niculae M, Hanganu D, Pall E, Cenariu M, Vodnar DC, Bunea A, Fiţ N, Andrei S. Phytochemical Profile, Antioxidant, Antimicrobial and Cytoprotective Effects of Cornelian Cherry (Cornus mas L.) Fruit Extracts. Pharmaceuticals. 2023; 16(3):420. https://doi.org/10.3390/ph16030420
Chicago/Turabian StyleAurori, Mara, Mihaela Niculae, Daniela Hanganu, Emoke Pall, Mihai Cenariu, Dan Cristian Vodnar, Andrea Bunea, Nicodim Fiţ, and Sanda Andrei. 2023. "Phytochemical Profile, Antioxidant, Antimicrobial and Cytoprotective Effects of Cornelian Cherry (Cornus mas L.) Fruit Extracts" Pharmaceuticals 16, no. 3: 420. https://doi.org/10.3390/ph16030420
APA StyleAurori, M., Niculae, M., Hanganu, D., Pall, E., Cenariu, M., Vodnar, D. C., Bunea, A., Fiţ, N., & Andrei, S. (2023). Phytochemical Profile, Antioxidant, Antimicrobial and Cytoprotective Effects of Cornelian Cherry (Cornus mas L.) Fruit Extracts. Pharmaceuticals, 16(3), 420. https://doi.org/10.3390/ph16030420

