Abstract
Organic peroxides are an important class of compounds for organic synthesis, pharmacological chemistry, materials science, and the polymer industry. Here, for the first time, we summarize the main achievements in the synthesis of organic peroxides by the action of Lewis acids and heteropoly acids. This review consists of three parts: (1) metal-based Lewis acids in the synthesis of organic peroxides; (2) the synthesis of organic peroxides promoted by non-metal-based Lewis acids; and (3) the application of heteropoly acids in the synthesis of organic peroxides. The information covered in this review will be useful for specialists in the field of organic synthesis, reactions and processes of oxygen-containing compounds, catalysis, pharmaceuticals, and materials engineering.
1. Introduction
Organic peroxides, due to their unique ability to form O-centered radicals via cleavage of the O-O bond, are widely used in polymer chemistry. In particular, dicumyl peroxide, dibenzoyl peroxide, 1,1-di-tert-butyl hydroperoxy cyclohexane, tert-butyl hydroperoxide, which are convenient in handling, have found application as initiators for low-temperature polymerization of styrene, butadiene, vinyl chloride, acrylates, ethylene [1,2], and as reagents for vulcanization of rubbers [3,4]. According to the latest research, the global organic peroxide market size was around US $2 billion in 2020 [5]. Despite the successful application of peroxides in the polymer industry, it was believed for a long time that the application of organic peroxides as drugs was not possible due to their low stability and the generation of hazardous reactive oxygen species, which can quickly and nonspecifically interact with biomolecules. Discovery of the natural peroxide Artemisinin (Qinghaosu) and its outstanding antimalarial activity [6,7] in 1972, showed that cyclic peroxides can be used in medicine as drugs. In 2015, Youyou Tu was awarded the Nobel Prize “for her discoveries regarding a new therapy for malaria” [8,9].
Drugs based on Artemisinin and its semisynthetic analogues are recommended by WHO as one of the most effective agents for the treatment of malaria (Figure 1) [10,11,12]. To overcome the emerging problem of drug resistance and to further improve the efficacy of Artemisinin, numerous derivatives of this unique natural product have recently been designed, synthesized and evaluated for biological activities [13,14].
Figure 1.
Artemisinin, its semi-synthetic derivatives, and synthetic Arterolane.
The growing demand for Artemisinin has pushed scientists to develop its total synthesis. The disadvantage of the available methods for synthesis of Artemisinin is the low overall yield, which prompted the search for synthetic peroxides with antimalarial properties. Currently, the most promising classes of synthetic peroxides are 1,2-dioxolanes, 1,2,4-trioxolanes (ozonides), 1,2-dioxanes, 1,2,4-trioxanes, and 1,2,4,5-tetraoxanes. Representatives of these families have demonstrated antimalarial [10,11,15], anthelmintic [16,17,18,19,20,21,22,23,24,25,26,27,28], antitumor [29,30], anti-tuberculosis [31,32,33], growth regulatory [34,35,36] and fungicidal activity [37,38,39,40]. In 2012, arterolane (ozonide OZ277) was the first synthetic peroxide to be approved for treatment of malaria in medical practice (Figure 1) [41,42,43,44,45]. Ozonide artefenomel (OZ 439) is a second generation clinical candidate against malaria [46]. Very recently, it has been shown that arterolane exhibits in vitro activity against α-coronavirus NL63 and β-coronaviruses OC43, and SARS-CoV-2 [47,48]. Artemisinin and its derivatives were also found to be active against SARS-CoV-2 in vitro as well [49].
Modern approaches to the synthesis of organic peroxides are based upon the use of oxygen, ozone, and hydrogen peroxide as sources of the O-O group. The most common methods for the construction of the O-O group are the ene reaction of singlet oxygen with alkenes [50,51,52], [4 + 2], the cycloaddition of singlet oxygen to dienes [53,54], the peroxysilylation of alkenes by the Isayama-Mukayama reaction [55,56,57,58,59,60,61,62], the cyclization of unsaturated hydroperoxides by the Kobayashi reaction [63,64,65], processes with the participation of destabilized peroxycarbenium ions [66,67,68], the ozonolysis of alkenes [69,70,71,72,73,74], the nucleophilic addition of hydrogen peroxide to carbonyl compounds and their analogs catalyzed by acids [75,76,77,78,79,80,81,82,83,84,85,86,87,88,89,90,91], and the ring opening reaction of Donor–Acceptor cyclopropanes with alkyl hydroperoxides [92]. The most affordable starting materials for the synthesis of organic peroxides are carbonyl compounds and hydrogen peroxide.
This review, which covers the major achievements in the synthesis of organic peroxides (Figure 2) using Lewis acids and heteropoly acids, consists of three parts: (1) metal-based Lewis acids in the synthesis of organic peroxides; (2) synthesis of organic peroxides promoted by non-metal-based Lewis acids; (3) application of heteropoly acids in the synthesis of organic peroxides. This review provides information that will be useful to specialists in the field of organic synthesis, catalysis, pharmaceuticals, and the polymer industry.
Figure 2.
Reviewed cyclic and acyclic peroxides.
2. Metal-Based Lewis Acids as Catalysts in the Synthesis of Organic Peroxides
Traditionally, strong Bronsted acids play the role of a catalyst in the synthesis of organic peroxides. The use of metal-based Lewis acids for the synthesis of peroxides is a surprising phenomenon. Generally, peroxides decompose or rearrange under the action of transition metal salts [93,94]. However, some metal-based Lewis acids, on the contrary, promote the assembly of peroxides. In this section, we summarized the approaches on the synthesis of 1,2-dioxolanes, 1,2-dioxanes, 1,2-dioxepanes, 1,2-dioxocanes, 1,2,4,5-tetraoxanes, 1,2,4,5,7,8-hexaoxonanes, and acyclic peroxides under the action of metal-based Lewis acids.
2.1. Synthesis of Organic Peroxides Catalyzed by SnCl4, Me2SnCl2, SnCl2, and TiCl4
The first example of selective synthesis of organic peroxide using a metal-based Lewis acid SnCl4 as a catalyst goes back to 1950 [95]. Bartlett P. D. et al. carried out the nucleophilic substitution of the halogen atom in 1 with hydrogen peroxide in the presence of tin (IV) (Scheme 1). The hydroperoxide 2 formed granular crystals of a monohydrate melting at 99–101 °C with loss of water.
Scheme 1.
Synthesis of hydroperoxide 2.
In 1959, R. Huttel et al. found that benzyl hydroperoxide 4 is formed by treating benzyl chloride 3 with an excess of hydrogen peroxide (90% aq. solution) in the presence of tin (IV) chloride as a catalyst [96]. The yield of benzyl hydroperoxide 4 was 23% (Scheme 2).
Scheme 2.
Synthesis of benzyl hydroperoxide 4.
The reaction of acetone 5 with hydrogen peroxide in the presence of protic acid leads to the formation of tetraoxane 6 and hexaoxonane 7. However, the peroxidation of acetone under the action of SnCl4 allows the obtaining of tetramer 8 in 44% yield (Scheme 3) [97]. Peroxide 8 was identified by molecular weight determination, elemental analysis, FTIR, NMR, and MS.
Scheme 3.
Synthesis of cyclic peroxides from acetone.
The reaction of H2O2 with 1,2-bis(diphenylphosphino)ethane (dppe) in acetone in the presence of Me2SnCl2 leads to (bis(diphenylphosphinoyl)ethane)·2(2,2-dihydroperoxypropane) 1:2 adduct 9, stabilized by hydrogen bonds between hydroperoxide groups and oxygen atoms of phosphorus groups (Scheme 4) [98].
Scheme 4.
Synthesis of (bis(diphenylphosphinoyl)ethane)·2(2,2-dihydroperoxypropane) 1:2 adduct 9.
The synthesis of gem-bishydroperoxides 11 from ketones 10 was successfully carried out under the action of 30% aq. H2O2 using tin (II) chloride in catalytic amounts under mild conditions [91]. As starting substrates, cyclic or acyclic ketones, as well as substituted acetophenones and aldehydes, can be used. The yield of the peroxides 11 and 13 was 45–95% (Scheme 5).
Scheme 5.
Synthesis of gem-bishydroperoxides 11, 13 from ketones 10 and aldehydes 12.
Substituted oxiranes 14 are easily transformed into the corresponding α-hydroxo-hydroperoxides 15 in good yield in the presence of a SnCl4-H2O2 system at 0 °C (Scheme 6, Path A) [99]. However, the opening of the oxirane ring at −78 °C, using SnCl4 in the amount of 1.2 eq., with the subsequent addition of an ethereal solution of H2O2 into the reaction, leads to the formation of geminal 1,1-dihydroperoxides 16. This new pathway results from SnCl4-catalyzed rearrangement of oxiranes to aldehydes A, which then interact with hydrogen peroxide to form bishydroperoxides 16 (Scheme 6, Path B).
Scheme 6.
Transformation of substituted oxiranes 14 into the corresponding α-hydroxo-hydroperoxides 15 and geminal 1,1-dihydroperoxides 16.
Dussault P. et al. developed an approach to the synthesis of allylated peroxides, peroxyketones, and peroxyesters 18 by SnCl4 or TiCl4-mediated reaction of peroxyacetals 17 with electron-rich alkenes, proceeding via peroxycarbenium ion A. (Scheme 7) [100,101,102].
Scheme 7.
Synthesis of alkyl peroxides 18.
Allylation of monoperoxyacetals 19, 20 makes it possible to obtain peroxides 21, 22 in good yield at −78 °C in methylene chloride. The reaction is catalyzed by TiCl4 and SnCl4 (Scheme 8) [100].
Scheme 8.
Allylation of peroxyacetals 19 and 20.
The transformation of alkyl peroxides under the action of Lewis acids has been described, where 1,2-dioxanes, 1,2-dioxepanes, and 1,2-dioxocanes are formed as target products [87]. Thus, intramolecular cyclization of peroxyacetals 23, 25, and 27, containing an electron-rich double bond, occurs with the formation of cyclic peroxides 24, 26, and 28, respectively, under action of 1 equiv. of TiCl4 or SnCl4 at −78 °C in CH2Cl2 at the N2 atmosphere (Scheme 9). The size of the peroxide ring depends on the position of the double bond in the starting alkyl peroxide.
Scheme 9.
Intramolecular cyclization of peroxyacetals 23, 25, and 27.
The interaction of allyltrimethylsilane with α-alkoxyhydroperoxides 29, promoted by SnCl4 and TiCl4, afforded with the formation of substituted 1,2-dioxolanes 30 (Scheme 10) [101].
Scheme 10.
Synthesis of substituted 1,2-dioxolanes 30.
The reaction mechanism of the formation of 1,2-dioxolane 30 includes the formation of hydroperoxycarbenium ion A peroxyacetal 29 under the action of SnCl4 or TiCl4 at the first step. Then hydroperoxycarbenium ion A undergoes nucleophilic attack by allyltrimethylsilane to form cation B, the cyclization of which leads to the 1,2-dioxolane 30 (Scheme 11) [101].
Scheme 11.
Probable mechanism of 1,2-dioxolane 30 formation.
The above-mentioned approach was used to transform ozonides 31 into 1,2-dioxolanes 32. This reaction proceeds under the action of SnCl4/AllylTMS system in a nitrogen atmosphere at the temperature range from −78 °C to 0 °C (Scheme 12) [103].
Scheme 12.
Synthesis of 1,2-dioxolanes 32 from ozonides 31.
In the absence of allyltrimethylsilane, TiCl4 or SnCl4 can catalyze the heterolysis of the O-O-bond in ozonides. This reaction proceeds with the formation of the corresponding lactones and ketones (Scheme 13). The transformation of ozonides 31 into 1,2-dioxolanes 32 under the action of SnCl4 in the presence of allyltrimethylsilane proceeds through Path A and Path B, including the ionization of both C-O and C-OO bonds [104].
Scheme 13.
Mechanism of 1,2-dioxolanes formation 32 from ozonides 31.
The SnCl4 or TiCl4-mediated reaction between peroxyacetals 33 and electron-rich alkenes results in the formation of functionalized 3,5-disubstituted 1,2-dioxolanes 34 through the formation of a peroxycarbenium ion, which is attacked by the nucleophile. (Scheme 14) [105].
Scheme 14.
Synthesis of substituted 1,2-dioxolanes 34.
The interaction of silylperoxyacetals 35 with alkenes 36 promoted by SnCl4 leads to in the formation of substituted 1,2-dioxolanes 37. This process proceeds through the formation of the trimethylsilyl peroxycarbenium ion (Scheme 15) [82,106,107]. It was found that 1,2-dioxolanes 37a and 37b have a high antimalarial activity against P. falciparum [108].
Scheme 15.
Synthesis and activity of 1,2-dioxolanes 37.
This approach was used for the synthesis of 1,2-dioxalane (OZ78) 40, which exhibits high activity against Fasciola hepatica (Scheme 16) [109].
Scheme 16.
Synthesis and activity of 1,2-dioxolane (OZ78) 40.
The reaction of peroxyacetal 41 with SKA (trimethylsilylketene acetal) 42 leads to the formation of peroxide 43, containing ester functional group (Scheme 17) [102]. The best yield of peroxide 43 was achieved in the case of peroxyacetal 41 where R1 = Ph [110].
Scheme 17.
Synthesis of 3-peroxy-2-methylalkanoates 43.
Natural compounds with antitumor activity, such as stereoisomers of plakinic acids 47a,b, were synthesized from peroxide 44 in three steps (Scheme 18). The key 1,2-dioxolane 46 in this sequence was synthesized from α-alkoxydioxolane 44 and O,S-ketene acetal 45 promoted by TiCl4 in 82% yield (Scheme 18). Both isomers of acid 47a,b were isolated in individual form [111]. Also it was found that plakinic acids 47 inhibit the growth of the fungi Saccharomyces cerevisiae and Penicillium atrounenetum [39].
Scheme 18.
Synthesis of plakinic acid A 47a,b.
It was found that the type of peroxidation product of allylic alcohols containing a lactam ring 48 depends on the amount of Lewis acid. Thus, peroxidation of alcohol 48 with the use of 0.9 eq. of SnCl4 leads to the formation of both mono- and diperoxides 49 and 50. Increasing the amount of acid to 2.5 eq. with respect to 48 leads to the formation of epoxyalkyl peroxide 51 (Scheme 19) [112]. Anchimeric assistance of the hydroxyl group facilitates the addition of tert-butyl hydroperoxide to the double bond. Under the action of SnCl4, through the formation of a carbocation, the nucleophilic substitution of the hydroxyl group for tert-butyl peroxide occurs.
Scheme 19.
Synthesis of peroxides 49–51.
Catalysis of the peroxidation reaction of acetylacetone 52 by strong protic acids (H2SO4, HClO4, HCl) leads to a complex mixture of cyclic and acyclic peroxides. However, with the use of SnCl2·2H2O and AlCl3·6H2O as a catalyst, the peroxidation of acetylacetone 52 proceeds selectively with the formation of dihydroperoxo-1,2-dioxolane 53 (Scheme 20) [113,114]. The reaction was carried out at a room temperature with 5–25 molar excess of 30% aq. solution of H2O2 and 10–20 mol% LA with respect to 52.
Scheme 20.
Synthesis of dihydroperoxy-1,2-dioxolane 53 from acetylacetone 52.
The SnCl2·2H2O/H2O2 system was used in the peroxidation of 2,5-heptadione 54. In this case, the reaction proceeds with the formation of hydroxyhydroperoxy 1,2-dioxane 55, but in a low yield of target compound of 15% (Scheme 21) [115]. The reaction was carried out at a room temperature with 5-fold molar excess of 50% aq. solution of H2O2 and 20 mol. % SnCl2·2H2O with respect to 54.
Scheme 21.
Synthesis of hydroxyhydroperoxy 1,2-dioxane 55 from 2,5-heptadione 54.
The reaction of acetals 56 with 1,1′-dihydroperoxydi (cycloalkyl) peroxides 57 catalyzed by SnCl4 afforded with the formation of 1,2,4,5,7,8-hexaoxananes 58. This approach makes it possible to solve the problem of the synthesis of hexaoxonanes from cycloalkanones with ring sizes C6–C8 and C12 (Scheme 22) [88].
Scheme 22.
Synthesis of 1,2,4,5,7,8-hexaoxananes 58.
2.2. Peroxidation of Ketones and Aldehydes in the Presence of MeReO3
The proposed mechanism of ketone peroxidation by the H2O2/MeReO3 system is based on the coordination of hydrogen peroxide with rhenium, which acts as a Lewis acid with the formation of peroxocomplex 61 (Scheme 23) [116,117,118]. The resulting peroxocomplex 61 interacts with a carbonyl compound with the transfer of a peroxo group. Furthermore, MeReO3 can react with a carbonyl group, as a Lewis acid to activate the carbonyl carbon atom.
Scheme 23.
Formation of the peroxo complexes MeReO3.
The addition of HBF4 to the 30% aq. H2O2/MeReO3 system leads to the formation of symmetric 1,2,4,5-tetraoxanes 63 from cyclic ketones 62, as well as 3,3,6,6-tetraalkyl-1,2,4,5-tetraoxanes 63 from unsymmetrical ketones 62, respectively (Scheme 24) [119]. 1,2,4,5-Tetraoxanes 63a–e exhibit antimalarial activity against the chloroquine-resistant strain of P. falciparum.
Scheme 24.
Synthesis and antimalarial activity of 1,2,4,5-tetraoxanes 63.
The combination 30% aq. H2O2/MeReO3/HBF4 in TFE is an effective system for the synthesis of both symmetric 69 and non-symmetric tetraoxanes 66 or 68 from aldehydes 64 in good yields (Scheme 25) [120,121,122]. It was found that such tetraoxanes exhibit antimalarial activity in vitro.
Scheme 25.
Synthesis of tetraoxanes 66, 68 and 69 from aldehydes 64.
Non-symmetric tetraoxanes 72 were synthesized from 4-methyl cyclohexanone 70 and ketone or aldehyde 71 under the action of H2O2 in the presence of 1 eq. of HBF4 and 0.1 mol% of MeReO3 with respect to the starting ketone in TFE medium. (Scheme 26) [122].
Scheme 26.
Synthesis of unsymmetrical 1,2,4,5-tetraoxanes 72.
The interaction of sulfonylpiperide-4ones 73 with ketones 74, 76 promoted by H2O2/MeReO3/HBF4 in HFIP leads to the formation of non-symmetric 1,2,4,5-tetraoxanes 75 and 77, which exhibit high antimalarial activity (Scheme 27) [123].
Scheme 27.
Synthesis of non-symmetric 1,2,4,5-tetraoxanes 75 and 77.
2.3. Sc(OTf)3, Yb(OTf)3, InCl3 and In(OTf)3 in the Synthesis of Organic Peroxides
In 2001, Kobayashi and colleagues developed a new method for the synthesis of alkoxyhydroperoxides 79 based on the reaction of the carbonyl group of unsaturated ketones 78 with H2O2·H2NCONH2, catalyzed by Sc(OTf)3. Cyclization of alkyl hydroperoxides 79 leads to 1,2-dioxanes 80 according to the Michael reaction. This method allows for the obtaining of substituted cyclic peroxides containing various functional groups in their structure (Scheme 28) [63,64,65,124].
Scheme 28.
Synthesis of alkoxyhydroperoxides 79.
The system H2O2·H2NCONH2/Sc(OTf)3 was used in the synthesis of peroxyacetal 83, which under basic conditions undergoes intramolecular cyclization with the formation of cyclic peroxide 84 (Scheme 29) [125].
Scheme 29.
Synthesis of cyclic peroxide 84.
Recently, Saha et al. found that the ring opening of Donor–Acceptor (D–A) cyclopropanes 85 in the presence of tBuOOH or hydroperoxides 86 under the action of Sc(OTf)3 leads to the formation of various peroxides 87 in 51–91% yield (Scheme 30) [92]. The reaction can be carried out on a gram scale in 74% yield of the target peroxide.
Scheme 30.
Synthesis of peroxides 87.
The interaction of Donor–Acceptor cyclopropane 88 with tBuOOH and N-halosuccinimides 89, which acts as a source of halogen, provides haloperoxides 90 in moderate to good yields (Scheme 31) [92].
Scheme 31.
Synthesis of haloperoxides 90.
It is noteworthy that the interaction of cyclopropanes 91 containing one acceptor substituent with tert-butyl hydroperoxide under the action of 0.5 eq. Sc(OTf)3 leads to bis-tert-butyl peroxides 92 in 56–72% yields (Scheme 32) [92].
Scheme 32.
Synthesis of bis-tert-butyl peroxides 92.
The use of the H2O2 or TBHP/Sc(OTf)3 system for ring opening of donor-acceptor aziridines 92 leads to α-sulfanilamido peroxides 93 and 94 in good yield (Scheme 33) [126]. The reaction can be scaled up to the grams in 70% yield.
Scheme 33.
Synthesis of peroxides 93 and 94 from donor-acceptor aziridines 92.
In 2002, Dussault et al. [127] demonstrated the ring opening of oxetanes 95 with an ethereal solution of H2O2, catalyzed by Yb(OTf)3 and Sc(OTf)3 with the formation of peroxides 96, which act as intermediates in the synthesis 1,2,4-trioxepanes 97 (Scheme 34).
Scheme 34.
Synthesis of hydroperoxides 96 from oxetanes 95.
Hydroperoxyoxetane 98 rearranged into endoperoxide 99 in 12% yield and exoperoxide 100 in 33% yield under the action of Yb(OTf)3 in methylene chloride (Scheme 35) [74].
Scheme 35.
Synthesis of peroxides 99 and 100 from hydroperoxyoxetane 98.
The use of catalytic amounts of Sc(OTf)3 or InCl3 in the reaction of endoperoxyacetals 101 with allyltrimethylsilane (AllylTMS) and its derivatives (Nu-TMS) makes it possible to obtain 3,5-disubstituted-1,2-dioxolanes 102 and 103 by the Sakurai reaction. Sc(OTf)3 or InCl3 allow the reaction to be carried out under milder conditions than when using SnCl4 and TiCl4 (Scheme 36) [128,129].
Scheme 36.
Synthesis of 1,2-dioxolanes 102 and 103 from peroxyacetals 101.
Cyclic peroxides such as spiro 1,2,4-trioxepanes 106 were obtained from hydroperoxides 104 and ketones 105 by using Indium (III) triflate as a catalyst (Scheme 37) [130].
Scheme 37.
Synthesis of 1,2,4-trioxepanes 106.
2.4. Mercury Salts in the Synthesis of Peroxides
In a process known as peroxymercuration, alkyl peroxides D, E can be prepared from alkenes A and alkyl hydroperoxide B in the presence of a suitable mercury (II) salt (Scheme 38). In this case, mercury salts act as a mild electrophilic reagent. The interaction of mercury (II) salt with an alkene leads to cationic species, which reacts with alkyl hydroperoxide to form mercurylalkyl peroxides C. The obtained mercurylalkyl peroxides C can be demercurated using sodium borohydride or by bromonolysis. Both peroxymercuration and demercuration occur rapidly under mild conditions.
Scheme 38.
Synthesis of acyclic peroxides D and E.
Bloodworth A.J. demonstrated a two-stage approach to halogeno-alkyl peroxides 108, 109 (Scheme 39) [131]. At the first stage, peroxymercuration of such unsaturated ketones 107 was carried out with the use of tBuOOH/Hg(OAc)2 system then demercuration of peroxymercurated product afforded with the formation of target peroxides 108, 109 in 32–84% and 45–79% yields, respectively.
Scheme 39.
Synthesis of peroxides 108, 109.
Phenyl cyclopropane 110 undergoes ring opening under the action of the tBuOOH/Hg(CF3COO)2 system with the formation of mercurylalkyl peroxide 111 in a 47% yield. Further reduction 111 leads to alkyl peroxide 112 in a 19% yield [132]. The same system was applied for the synthesis of peroxide 115 from styrene 113 (Scheme 40).
Scheme 40.
Synthesis of alkyl peroxides 112 and 115.
In 1976, Bloodworth A. J. and colleagues described a method for the synthesis of cyclic peroxides 117 by the peroxymercuration of non-conjugated acyclic dienes 116. The demercuration of 117 under the action of NaBH4 led to peroxides 118 (Scheme 41) [133].
Scheme 41.
Synthesis of cyclic peroxides 117 and 118.
Adam W. et al. presented a method for the regioselective synthesis of bicyclic peroxide 120 by the peroxymercuration of non-conjugated cyclic dienes 119 (Scheme 42) [134]. Organo-mercury trifluoroacetates were separated by dissolving their mixture in benzene. The peroxide 120 did not dissolve in benzene and precipitated as white crystals. Reductive demercuration of 120 proceeded under mild conditions with the formation of bridged 1,2-dioxepane 124. Bromination of peroxide 120 followed by demercuration led to dibromocycloperoxide 123.
Scheme 42.
Synthesis of bicyclic peroxides 120, 123 and 124.
The peroxymercuration and demercuration of 1,4-cyclooctadiene 125 proceeded in a similar way with the formation of peroxides 126 and 127 (Scheme 43). Peroxides 126 and 127 were obtained in 38% and 28% yield respectively [135].
Scheme 43.
Synthesis of bicyclic peroxides 126 and 127.
Hydroperoxides 128 in the presence of mercury (II) nitrate undergo intramolecular cyclization with the formation of cyclic peroxides 129 in a yield of 16 to 68%. (Scheme 44) [136].
Scheme 44.
Synthesis of cyclic peroxides 129.
Hydroperoxymercuration of alkenes 130 with the use of aq. H2O2 proceeds with the formation of hydroperoxide 131 and alcohol 132. The resulting peroxides 131 were obtained in yield up to 86% (Scheme 45) [137,138].
Scheme 45.
Synthesis of hydroperoxide 131.
Direct demercuration of peroxides 134 is not possible because the hydroperoxide group is reduced under the action of sodium borohydride. However, the subsequent protection of hydroperoxy group by 2-methoxypropene, borohydride reduction, and deprotection of peroxy group led to peroxides 135 in 30–54% yield (Scheme 46) [138].
Scheme 46.
Synthesis of hydroperoxides 134 and 135.
Hydroperoxycyclopropanes 136 under the action of Hg(OAc)2 in the presence of perchloric acid were transformed into 1,2-dioxolanes 137, the bromodemercuration of which led to 1,2-dioxolanes 138 (Scheme 47) [139]. Cyclic peroxides were isolated by column chromatography on SiO2 at 0 °C. The target peroxides 138 were obtained in 52–60% yield.
Scheme 47.
Synthesis of 1,2-dioxolane 138.
The first example of the synthesis of diastereomeric saturated analogs of plakinic acids A, C and D 142 was described in 1996 by Bloodworth A. J. and colleagues [140]. Peroxides 142 were obtained in four stages from ketones 139. At one stage of this synthetic route, the peroxymercuration of esters 140 was used with the formation of 1,2-dioxolanes 141. Saponification of which led to 1,2-dioxolanes 142 with a free carboxyl group (Scheme 48).
Scheme 48.
Synthesis of plakinic acids 142.
2.5. Other Metal-Based Lewis Acids
Zhang and Li reported the synthesis of β-hydroperoxy alcohols 144 by the reaction of epoxides 143 with H2O2, catalyzed by silica-supported antimony trichloride (SbCl3/SiO2) (Scheme 49) [141]. Interestingly, the authors demonstrated that SbCl3/SiO2 is more active than unsupported-SbCl3. Under the best conditions, a range of β-hydroxy hydroperoxides 144 was obtained in 72–86% isolated yields.
Scheme 49.
Synthesis of β-hydroperoxy alcohols 144.
Azarifar D. et.al. developed a method for the synthesis of geminal bishydroperoxides 146 from aldehydes 145 and hydrogen peroxide under the action of AlCl3·6H2O (Scheme 50) [114]. SrCl2·6H2O can also be used as a catalyst for the transformation of aldehydes 145 to the corresponding geminal bishydroperoxides 147. Both catalysts allow the synthesis of target peroxides 146 and 147 under mild conditions at room temperature in good yields (Scheme 50) [142].
Scheme 50.
Synthesis of geminal bishydroperoxides 146 and 147 from aldehydes 145.
Lewis acids such as SrCl3·6H2O [142], cerium ammonium nitrate (CAN) [143], Bi(OTf)3 [144], and AlCl3·6H2O [114] are effective catalysts for the synthesis of bishydroperoxides 149–152 from cyclic and acyclic ketones and aldehydes 148. Peroxidation proceeds under mild conditions at room temperature with the formation of target peroxides in a good yield. All Lewis acids demonstrated approximately equal efficiency in the peroxidation reaction. The main advantage of these methods is the use of Lewis acids in catalytic amounts and an inexpensive 30% aqueous H2O2 (Scheme 51).
Scheme 51.
Synthesis of geminal bishydroperoxides 149–152.
Also, bismuth (III) triflate is a good catalyst for the synthesis of 1,2,4,5-tetraoxanes 155. In this case, the target peroxides 152 were obtained in a yield up to 94%. Synthetic 1,2,4,5-tetraoxane 155a exhibits high activity against helminths Fasciola hepatica and in rats in vivo (Scheme 52) [144,145].
Scheme 52.
Synthesis of 1,2,4,5-tetraoxanes 155.
The interaction of 1,2,4-trioxolanes (ozonides) 156 with Lewis acid SbCl5 in methylene chloride led to 1,2,4,5-tetraoxanes 157 (Scheme 53) [146].
Scheme 53.
Synthesis of 1,2,4,5-tetraoxanes 157 from 1,2,4-trioxolanes 156.
The palladium-catalyzed cyclization of unsaturated hydroperoxides 158 afforded with the formation of 1,2-dioxanes 159 (Scheme 54) [147]. The reaction was carried out in toluene, 1,4-dioxane, or 1,2-dichloroethane at 80 °C for 3h. To oxidize Pd(0), which is formed in the catalytic cycle, p-benzoquinone (BQ) or silver carbonate were used.
Scheme 54.
Synthesis of 1,2-dioxanes 159.
Presumably, the reaction proceeds according to the characteristic Pd-catalyzed cycle, which is demonstrated in Scheme 55. Pd (II) is coordinated both with the double bond and the peroxide group to form cyclic intermediate A, which is further rearranged into endoperoxide B. Then endoperoxide B is converted to the target product 159.
Scheme 55.
Synthesis of 1,2-Dioxanes 159 from hydroperoxides 158.
Such a Lewis acid as Cu(OTf)2 turned out to be the most effective catalyst for the synthesis of peroxides 162 by the ring opening reaction of activated aziridines 160 under the action of various hydroperoxides 161. It was found that electron-neutral or halogenated substrates 160 provide better results in comparison with substrates containing electron-withdrawing substituents in an aromatic ring (Scheme 56) [126].
Scheme 56.
Synthesis of peroxides 162 from substituted aziridines 160.
3. Non-Metal-Based Lewis Acids in the Synthesis of Organic Peroxides
There is great interest in Lewis acids based on non-metals. Their use as a catalyst or reagent made it possible to discover new classes of peroxides of various structures. This section contains data on the synthesis of 1-hydroperoxy-1′-alkoxyperoxides, β-hydroperoxy-β-peroxylactones, 1,2-dioxanes, 1,2,4-trioxepanes, 1,2,4-trioxocanes, 1,2,4-trioxonanes and 1,2,4,5,7,8-hexaoxananes.
3.1. Application of BF3·Et2O in the Synthesis of Organic Peroxides
The first mentions of the formation of peroxides under the action of boron trifluoride goes back to the 1950s. A US patent 2,630,456 [148] from 1953 describes a selective method for producing tert-butyl hydroperoxide 164 from the corresponding alcohol 163 [149]. The reaction was carried out at room temperature using an equimolar amount of a 50% aqueous solution of hydrogen peroxide with 0.3 eq. of boron trifluoride etherate (Scheme 57). Since BF3 can form BF3·H2O complex [150,151,152,153,154,155], this makes it possible to use BF3·Et2O in the presence of water.
Scheme 57.
Synthesis of tert-butyl hydroperoxide 164.
In 1956, a method was developed for the synthesis of peroxy acids 166 with the use of boron trifluoride [156]. The synthesis was based on the interaction of a 90% aq. solution of hydrogen peroxide with carboxylic acids 166 in the presence of boron trifluoride monohydrate. The reaction was carried out for 45 min at 50 °C (Scheme 58). This approach was used for the synthesis of butyric, nylon and α-chloroacetic peroxy acids.
Scheme 58.
Synthesis of peroxy acids 166.
The reaction of vinyl esters 167 and hydroperoxides 168 in the presence of gaseous boron trifluoride leads to the formation of monoperoxyketals 169. The reaction was carried out in benzene or hexane at temperatures from 0 to 30 °C (Scheme 59) [157]. The reaction proceeds within 5–10 min with a yield of 80–96%. This method is the first way to obtain monoperoxyacetals in high yields.
Scheme 59.
Synthesis of peroxyacetals 169 from vinyl esters 167.
The synthesis of alkyl peroxides 171 was carried out by the reaction of tertiary alkyl-trichloroacetimides 170 with tert-butyl hydroperoxide in the presence of boron trifluoride etherate (Scheme 60) [158].
Scheme 60.
Synthesis of alkyl peroxides 171.
A wide range of bishydroperoxides 175 was obtained from acetals 173, enol ethers 174 and hydrogen peroxide in the presence of boron trifluoride etherate (Scheme 61) [159,160]. The developed method allows one to obtain peroxides of various structures. The advantages of these reactions are the rapidity and ease of its implementation, and among the disadvantages can be noted the formation of by-products, as well as the impossibility of synthesizing bishydroperoxides from acetals or enol ethers obtained from aryl-substituted ketones.
Scheme 61.
Synthesis of bishydroperoxides 175.
Presumably, the reaction proceeds according to the following mechanism: BF3·Et2O and BF3·MeOH equally catalyze the reaction, forming intermediate complexes A and B, which then interact with hydrogen peroxide with the formation of bishydroperoxide 175 (Scheme 62).
Scheme 62.
Mechanism of acetal peroxidation 173.
The possibility to obtain geminal bis(tert-butyl)peroxides 178 of both cyclic and acyclic structures with a yield of 13% to 89%, respectively, was described from acetals 176 and enol ethers 177 (Scheme 63) [161]. The reaction of the enol esters 177 with tert-butyl hydroperoxide, catalyzed by boron trifluoride etherate, is a general approach for the preparation of geminal bishydroperoxides.
Scheme 63.
Synthesis of germinal bis(tert-butyl) peroxides 178.
1,2-Dioxane 180 was obtained by the reaction of the corresponding acetal 179 with urea hydrogen peroxide, catalyzed by boron trifluoride etherate (Scheme 64) [162]. Under these conditions, only one of the two methoxyl groups is exchanged for the hydroperoxide one, and the intermediate hydroperoxyketal undergoes intramolecular cyclization (according to Michael) due to the attack of the hydroperoxide group on the double bond activated by the nitro group with the formation of 1,2-dioxane in 51% yield.
Scheme 64.
Synthesis of 1,2-dioxane 180.
However, when NO2 was replaced by C(O)OEt, the reaction proceeded with the formation of bisperoxide 182 (Scheme 65) [163]. This is probably due to the fact that the ester group has lower electron-withdrawing properties.
Scheme 65.
Synthesis of bishydroperoxide 182.
An efficient and stereoselective method for the synthesis of 1,2,4-trioxanes 185 and 187 has been reported by J.L. Vennerstrom (Scheme 66). Such peroxides were obtained by the interaction of α-hydroxyperoxides 183 with aldehydes 184 and ketones 186 [52,164,165,166,167]. The resulting cyclic peroxides were tested in vitro for antimalarial activity against P. falciparum. 1,2,4-Trioxanes 187 containing an adamantane substituent in their composition exhibit high antimalarial activity.
Scheme 66.
Synthesis of 1,2,4-trioxanes 185 and 187.
An unusual method for the synthesis of 1,2-dioxolanes 190 was developed, which is based on the reaction of ozonides 188 with olefins 189 in the presence of boron trifluoride etherate with a yield of 10% to 70% (Scheme 67) [168].
Scheme 67.
Synthesis of 1,2-dioxolanes 190.
Presumably, the reaction proceeds along the following route: the first stage of the reaction involves the opening of the ozonide cycle in 188 under the action of BF3·Et2O with the formation of a BF3-coordinated intermediate A, containing a peroxide fragment. The attack of intermediate A at the alkene 189 is accompanied by the formation of two intermediates, B and C, which, in turn, leads to ring closure and gives 1,2-dioxolane. However, the rate of ring closure is much slower than the rotation of the C-C bond, so the formation of four isomeric products occurs. The mechanism in Scheme 68 illustrates that the ratio of (190d + 190e) to (190f + 190g) corresponds to the ratio of the two approaches of BF3-coordinated intermediate A to alkene.
Scheme 68.
The proposed mechanism of 1,2-dioxolanes 190 formation.
BF3·Et2O is an efficient catalyst for the synthesis of 1,1′-bishydroperoxy-(cycloalkyl) peroxides 192 from geminal bisperoxides 191 in yields of up to 86% (Scheme 69) [89].
Scheme 69.
Synthesis of 1,1′-bishydroperoxy(cycloalkyl)peroxide 192.
Terent’ev et al. developed a method for the synthesis of 1,2,4,5-tetraoxanes 195 from bishydroperoxides 193 and acetals 194 (Scheme 70) [169]. The reaction was carried out under mild conditions at room temperature using 0.3–0.4 eq. BF3·Et2O. This method is general to the synthesis of unsymmetrical tetraoxanes from readily available carbonyl compounds.
Scheme 70.
Synthesis of 1,2,4,5-tetraoxanes 195.
Unsymmetrical tetaraoxanes 198 can be obtained from geminal bisperoxides 196 and cyclic acetals 197 in the presence of boron trifluoride etherate (Scheme 71) [170]. This method for the synthesis of 1,2,4,5-tetraoxanes is a convenient and simple approach to the synthesis of both symmetric and asymmetrical 1,2,4,5-tetraoxanes.
Scheme 71.
Synthesis of asymmetrical 1,2,4,5-tetraoxanes 198.
Also, boron trifluoride etherate is efficient for the synthesis of 1,2,4,5-tetraoxanes 201 from gem-bisperoxides 199 and orthoformates 200 (Scheme 72) [170]. The trans-isomer 201 was the major product in all cases as determined by NMR, while the cis-isomer was found only in trace amounts. The reaction was carried out in dichloromethane at room temperature. This approach was the first method for the preparation of tetraoxanes cis-201 and trans-201 with an alkoxy substituent.
Scheme 72.
Synthesis of 1,2,4,5-tetraoxanes cis-201 and trans-201.
In the study on the synthesis of pharmacologically important endoperoxides, peroxide 204 was synthesized from substituted aldehydes 202; boron trifluoride etherate was used as a catalyst in this reaction. Condensation of peroxide 203 with betulin aldehydes 202 in the presence of BF3∙Et2O led to the assembly of peroxides 204. The yield of the target peroxide was low, and the resulting diastereoisomers could not be separated. Unfortunately, mixtures of isomers did not show significant anticancer activity (Scheme 73) [171].
Scheme 73.
Synthesis of 1,2,4-trioxanes 204 from aldehydes 202.
Cyclic peroxides 207 can be obtained from hydroperoxides 205 and ketones 206 in the presence of boron trifluoride etherate in up to 17% yield (Scheme 74) [130]. The yield of the target peroxides 207 was in the same range as when using In(OTf)3 as a catalyst (see Scheme 33). However, BF3·Et2O is less expensive than In(OTf)3.
Scheme 74.
Synthesis of macrocyclic peroxides 207.
The reaction of 1,1′-bishydroperoxy(cycloalkyl)peroxides 209 with ketals 208 in the presence of BF3·Et2O afforded 1,2,4,5,7,8-hexaoxonanes 210 in up to 94% yields (Scheme 75) [172]. This approach is convenient and simple for the synthesis of 1,2,4,5,7,8-hexaoxonanes, which significantly expands the structural diversity of these compounds and, in most cases, allows them to be synthesized in high yield.
Scheme 75.
Synthesis of 1,2,4,5,7,8-hexaoxonanes 210.
The assembly of bridged 1,2,4-trioxanes 212 and 213 can be accomplished by intramolecular cyclization of peroxyacetals 211 with simultaneous removal of the acetal protecting group. Cyclic peroxides were obtained in a yield of 12% to 19% (Scheme 76) [173].
Scheme 76.
Synthesis of bridged 1,2,4-trioxanes 212 and 213.
A convenient, experimentally simple and selective method was developed for the synthesis of bridged 1,2,4,5-tetraoxanes based on the reaction of hydrogen peroxide with β-diketone 213 catalyzed by strong acids (H2SO4, HClO4, HBF4) with a yield of 49–77% (Scheme 77) [37,76]. This process can also proceed with the use of Lewis acid (BF3·Et2O). For example, tetraoxane 214 was obtained in 64% yield [76].
Scheme 77.
Synthesis of bridged 1,2,4,5-tetraoxane 214.
The method for the synthesis of ozonides 216 and 217 from 1,5-diketones 215 and hydrogen peroxide, which does not require the use of toxic ozone, was reported (Scheme 78) [84,174]. It was found that the interaction of 1,5-diketones 215 with H2O2, in the presence of BF3·Et2O leads to the selective assembly of stereoisomeric ozonides 216 and 217. Peroxides 216 and 217 exhibit antimalarial [175] and anticancer [175,176] activity.
Scheme 78.
Synthesis of diastereomeric ozonides 216 and 217 from 1,5-diketones 215.
Recently a new class of peroxides, namely β-hydroperoxy-β-peroxylactones 221, was discovered. They were obtained by the peroxidation of β-ketoesters 218 and their derivatives 219 and 220 (silylenol ethers, alkylene ethers, enol acetates, cyclic acetals) with the H2O2/BF3·Et2O system. The reaction proceeded with the formation of β-hydroperoxy-β-peroxylactones in a yield of 30–96% (Scheme 79) [85,177]. These β-peroxylactones are stable and can be useful for further synthetic transformations.
Scheme 79.
Synthesis of β-hydroperoxy-β-peroxylactones 221.
The three-component cyclization/condensation of β-ketoesters 222, H2O2 UHP, and alcohols proceeded with the formation of β-alkoxy-β-peroxylactoctones 223 in 25–80% yield (Scheme 80) [178].
Scheme 80.
Synthesis of β-alkoxy-β-peroxylactones 223.
In continuation of studies in this direction, the BF3∙Et2O/H2O2 system was applied to the γ-ketoesters 224. Peroxidation proceeded with the formation of cyclic γ-hydroperoxy-γ-peroxylactones 225 in 44–83% yields (Scheme 81) [179].
Scheme 81.
Synthesis of γ-alkoxy-γ-peroxylactones 225.
Tricyclic monoperoxides 227 were obtained by the peroxidation of β,δ′-triketones 226 with the H2O2/BF3·Et2O system (Scheme 82) [81,86]. Peroxidation was carried out under mild conditions at room temperature for 1 h. Despite the presence of three carbonyl groups, peroxidation proceeded selectively with the formation of cyclic product 227. The yield of target peroxides 227 was 48–93%. It was found that the tricyclic monoperoxide exhibits a high in vitro and in vivo anthelmintic activity against S. mansoni.
Scheme 82.
Synthesis and anthelmintic activity of tricyclic monoperoxides 227.
The first total synthesis of natural bioactive azaperoxides Verruculogen 230a and Fumitremorgin A 230b was developed in 2015 by the Baran group [180]. The final step included the catalyzed by BF3·Et2O condensation of aldehyde 229 with peroxide 228 (Scheme 83).
Scheme 83.
Synthesis of natural Verruculogen 230a and Fumitremorgin A 230b.
3.2. Iodine in the Synthesis of Organic Peroxides
Iodine in the synthesis of organic peroxides can act as both a catalyst and a reagent. The presence of iodine can activate substrates via halogen bonding (acts as Lewis acid), iodonium(I) species or formation of “hidden” HI Broensted acid [181,182,183,184,185,186,187]. The interaction of alkenes 231 with hydroperoxide in the presence of molecular iodine makes it possible to obtain vicinal iodoperoxyalkanes 232 (Scheme 84) [188]. This reaction was carried out with 0.7 eq. iodine and 4 eq. hydroperoxide in diethyl ether or dichloromethane at room temperature. Depending on the reactivity of the hydroperoxide, the reaction time was from 5 to 72 h.
Scheme 84.
Synthesis of vicinal iodoperoxyalkanes 232.
The mechanism of the formation of iodoperoxyalkanes and iodoalkanols is shown in Scheme 85. Presumably, the formation of iodoperoxyalkane can proceed along path A or B. Path A corresponds to the classical scheme of sequential addition of electrophilic iodine and nucleophilic hydroperoxide to the double bond. Path B is based on experimental data according to which an increase in the amount of iodine (a nucleophile competing with tert-butyl hydroperoxide) leads to an increase in the yield of 1-(tert-butylperoxy)-2-iodocyclohexane, while the expected 1,2-diiodocyclohexane is formed in trace amounts. Iodoperoxide appears to be formed by pathway B through a previously unknown process. Initially, the reaction forms 1,2-diiodocyclohexane, which is converted by iodine to intermediate Y, which contains a partially positive charge on the carbon atoms. The latter reacts with hydroperoxide.
Scheme 85.
The mechanism of formation of iodoperoxyalkanes 232 and iodohydroxyalkanes 233.
The cyclization of unsaturated hydroperoxyacetal 234 was performed using systems such as pyridine/I2 or t-BuOK/I2. The use of the latter made it possible to obtain 1,2-dioxanes 235 in a yield up to 85% (Scheme 86) [189].
Scheme 86.
Cyclization of unsaturated alkoxy hydroperoxide 234.
However, the use of the pyridine/I2 system for unsaturated hydroperoxyacetal 236 did not provide the assembly of 1,2,4-trioxane 237. The t-BuOK/I2 system, which performed well in the assembly of 1,2-dioxalane 235 (Scheme 87), led to peroxide 237, but in low yield. Cyclization 236 under the action of the KH/I2 system also proceeded in a low yield (Scheme 87) [189].
Scheme 87.
Synthesis of 1,2,4-trioxane 237.
Using 30% aq. H2O2 and iodine as a catalyst, geminal bishydroperoxides 239 were obtained from cyclic and acyclic ketones 238 in a yield of 50 to 98% (Scheme 88). All geminal bishydroperoxides 239 exhibit pronounced in vitro antimicrobial and antifungal activity against B. cereus, E. coli, P. aeruginosa, S. aureus, C. albicans, and A. niger [190].
Scheme 88.
Synthesis of geminal bishydroperoxides 239 and their activity.
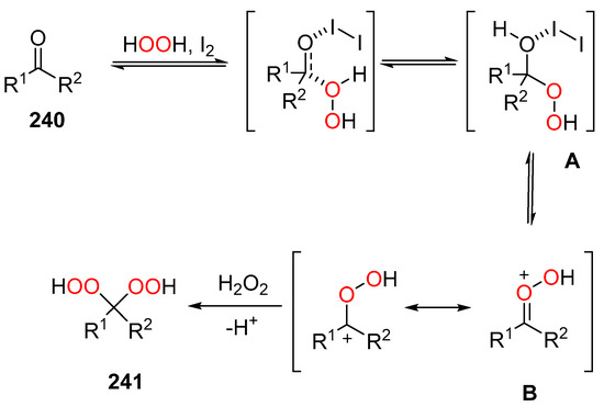
This approach was also used in the synthesis of bishydroxyperoxides 241 from acetophenone and benzaldehydes 240. Unfortunately, peroxidation of compounds containing an electron-withdrawing substituent in the ring did not lead to the target geminal bishydroxyperoxides (Scheme 89) [190].
Scheme 89.
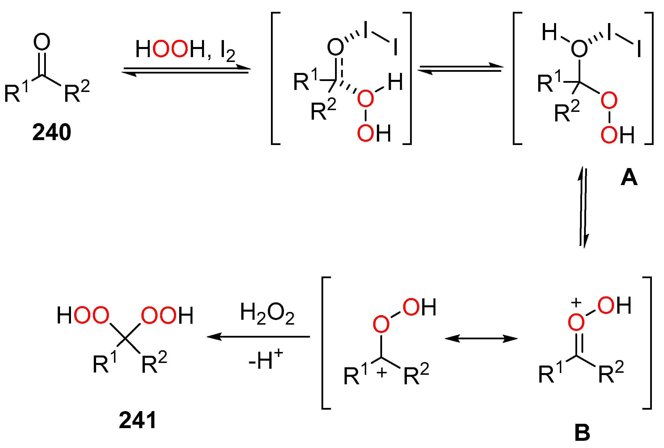
Synthesis of geminal dihydroperoxides 241.
The action of iodine as a Lewis acid is based on its interaction with the oxygen atom of the carbonyl group of 240, which facilitates the nucleophilic attack of hydrogen peroxide on the neighboring carbon atom. Iodine then eliminates the hydroxy group from the sp3-carbon atom of intermediate A and the peroxycarbenium ion B is formed, which is attacked by the second hydrogen peroxide molecule to form the final product 241. The last stage of this mechanism is irreversible (Scheme 90).
Scheme 90.
The proposed mechanism for the assembly of geminal bisperoxide 241.
The iodine-catalyzed peroxidation of carbonyl compounds 242 (acyclic and cyclic ketones and aromatic aldehydes), is a simple and effective approach to obtain geminal hydroperoxides 244 and geminal tert-butyl peroxides 246. A similar reaction in methanol led to hydroperoxyacetals 243 and tert-butylperoxyacetals 245 (Scheme 91) [90].
Scheme 91.
Iodine-catalyzed peroxidation of carbonyl compounds 242.
The application of I2/H2O2 and I2/TBHP systems to non-aromatic aldehydes allows one to obtain hydroxy-hydroperoxides 248 and tert-butylhydroxyperoxides 249 (Scheme 92) [190].
Scheme 92.
Iodine-catalyzed peroxidation of aldehydes 247.
Iodine-catalyzed peroxidation of enol ethers 250 and 253 in Et2O led to formation of 2-iodo-1-methoxy hydroperoxides 251 and 254, respectively, with a yield of 32–41% (Scheme 93) [191]. α-Iodo ketones 252 and 255 were formed as byproducts.
Scheme 93.
Synthesis of 2-iodo-1-methoxy hydroperoxides 251 and 254.
Peroxidation of monocyclic enol ethers 256 under the action of the I2/H2O2 system proceeded with the formation of iodo-hydroperoxides 257 and α-iodo hemiacetals 258, while the reaction with I2/ROOH led only to iodoperoxides 259 (Scheme 94) [192].
Scheme 94.
Synthesis of iodoperoxides 257 and 259.
Bicyclic enol esters were converted to vicinal iodoperoxides 261 under the action of I2/H2O2 system in 40–82% yield. However, the use of t-BuOOH instead of H2O2 led to the formation of peroxides 262 without iodine in their composition with a yield of 66–89% yield (Scheme 95) [192].
Scheme 95.
Synthesis of vicinal iodoperoxides 261 and peroxides 262.
The previously unknown 1-hydroperoxy-1′-alkoxyperoxides 265 were synthesized in 45–64% yield by iodine-catalyzed reaction of geminal bishydroperoxides 263 with acetals 264 (Scheme 96) [193]. The nature of the solvent has a decisive influence on the yield of the target peroxides. Good results were obtained in such solvents as Et2O and THF. The formation of cyclic peroxides was not observed. 1-Hydroperoxy-1′-alkoxyperoxides 265 were readily isolated from the reaction mixture by column chromatography.
Scheme 96.
Synthesis of 1-hydroperoxy-1′-alkoxyperoxides 265.
Also, 1-hydroperoxy-1′-alkoxyperoxides 265 are formed by the interaction of bishydroperoxides 263 with enol ethers 266 in the presence of molecular iodine (Scheme 97) [193].
Scheme 97.
Synthesis of 1-hydroperoxy-1′-alkoxyperoxides 265.
Initially, iodine, which is probably in the form of a complex with diethyl ether (or tetrahydrofuran), interacts with the oxygen atom of the methoxy group of acetal 264. Then the geminal bishydroperoxide 263 attacks the electrophilic center that is formed at the quaternary carbon atom A. Finally, the elimination of methanol proceeds with the formation of target peroxide 265 (Scheme 98).
Scheme 98.
The proposed mechanism for the assembly of 1-hydroperoxy-1′-alkoxyperoxides 265.
Peroxidation of 2-allyl-1,3-diketones 267 under the action of the I2/H2O2 led to the formation of diastreoisomeric bicyclic peroxides 269 and 270 (Scheme 99) [194]. The reaction was carried out under mild conditions in dichloromethane at 20–25 °C with the use of a five-fold molar excess of H2O2 and a two-fold excess of I2 with respect to the starting diketone. It should be noted that the expected bridged tetraoxanes were not found during the peroxidation of 1,3-diketones 267. Diastereomeric iodine peroxides 269 and 270 were obtained as a mixture of diastereoisomers with a yield of 50 to 81%. The interaction of ketones 267 containing an aromatic ring adjacent to the carbonyl group with the I2/H2O2 system led to the formation of iodides 268 with a yield of 11–24%, but not to the bicyclic peroxides 269 and 270.
Scheme 99.
Synthesis of diastereomeric bicyclic peroxides 269 and 270.
The first stage involves the interaction of iodine with a double bond to form the iodonium cation A, which undergoes cyclization to the intermediate tetrahydrofuran B, stabilized by the anomeric effect [66,67,68] (Scheme 100). Then H2O2 attacks B with the formation of iodoperoxide C, which undergoes cyclization with the formation of 269 + 270. In the case of compounds containing an aryl substituent at the carbonyl group, peroxide C is protonated with the formation of D, which undergoes Baeyer-Villiger rearrangement to form cation E, which is iodinated by HI to form 268.
Scheme 100.
The proposed mechanism for the assembly of bicyclic peroxides 269 and 270.
A method was proposed for the synthesis of 1,2,4,5,7,8-hexaoxananes 273, based on the I2-catalyzed reaction of acetals 271 with 1,1′-dihydroperoxydi(cycloalkyl) peroxides 272 (Scheme 101) [195]. This method allows for the obtaining of cyclic triperoxides in good yields from 51 to 82%.
Scheme 101.
Synthesis of 1,2,4,5,7,8-hexaoxananes 273.
3.3. Synthesis of Peroxides Promoted by TMSOTf and TBDMSOTf
A convenient method has been developed for the synthesis of symmetric 1,2,4,5-tetraoxanes 276 from carbonyl compounds 274 and peroxidizing agent bis(trimethylsilyl) peroxide 275 in the presence of 1 equiv. of TMSOTf. The reaction was carried out at 0 °C in acetonitrile or at −70 °C in CH2Cl2 (Scheme 102) [196]. The in vitro and in vivo studies demonstrated that these types of cyclic peroxides are active against P. falciparum [197].
Scheme 102.
Synthesis and activity of 1,2,4,5-tetraoxanes 276.
Peroxidation of carbonyl compounds with the use of Me3SiOOSiMe3/TMSOTf system allows one to obtain steroidal tetraoxanes 278 (Scheme 103) [198]. The reaction was carried out at 0 °C in acetonitrile using a 1.5-fold molar excess of Me3SiOOSiMe3 and TMSOTf with respect to ketone 277.
Scheme 103.
Synthesis of tetraoxanes 278.
The synthesis of unsymmetrical 1,2,4,5-tetraoxanes 282 proceeds through the interaction of geminal bis(trimethylsilyl)peroxides 280 with carbonyl compounds 281 in the presence of TMSOTf. 1,2,4,5-Tetraoxanes 282 are formed in yields up to 53% (Scheme 104) [197]. Corresponding bis(trimethylsilyl) peroxides 280 were obtained by the interaction of geminal bishydroperoxides 279 with BSA (N, O-bis (trimethylsilyl) acetamide) in 50–67% yield.
Scheme 104.
Synthesis of unsymmetrical 1,2,4,5-tetraoxanes 282.
In addition, TMSOTf is used as a catalyst in the synthesis of 1,2,4,5-tetraoxepanes 286 by the reaction of 1,2-bis (trimethylsilyl) peroxide 284 with carbonyl compounds 285 (Scheme 105) [197,199]. Silyl peroxide 284 was synthesized by reaction of BSA (N, O-bis (trimethylsilyl) acetamide) on 1,2-dihydroperoxide 283 in 56% yield.
Scheme 105.
Synthesis of 1,2,4,5-tetraoxepanes 286.
In 2002, Dussault et al. [111,127] demonstrated the oxetane ring opening in 287 with an ether solution of H2O2, catalyzed by Yb(OTf)3, with the formation of 3-hydroxyhydroperoxide 288, which act as an intermediate in the synthesis of 1,2,4-trioxepanes 289. However, the use of TMSOTf in some cases led to a better result (Scheme 106).
Scheme 106.
Synthesis of 1,2,4-trioxepanes 289.
The developed system TMSOTf/H2O2 for oxetane ring opening in 290 was successfully used at one of the stages in the total synthesis of plakinic acid A cis-292 and trans-292, a natural compound with antitumor activity (Scheme 107) [111]. Opening of the oxetane ring in 290 by TMSOTf resulted in the formation of readily separable 3-hydroxyhydroperoxides 291 and epi-291. Then, in several steps, cyclic peroxides cis-292 and trans-292 were obtained from epi-291.
Scheme 107.
Synthesis 3-hydroxy hydroperoxides 291 and epi-291.
Cyclic peroxolactones (1,2,4-trioxan-5-ones) 295 were obtained by the reaction of carbonyl compounds 293 with silyl peroxides 294 under the action of TfOSiMe3. This reaction does not proceed in the absence of TfOSiMe3. The synthesis was carried out in methylene chloride at a temperature of −78 °C (Scheme 108) [200,201].
Scheme 108.
Synthesis of 1,2,4-trioxan-5-ones 292.
The TMSOTf-catalyzed interaction of endoperoxides 296 and 299 with ketones 297 and 300 proceeds with the formation of above-mentioned substituted 1,2,4-trioxanes 298 and 301 with moderate to good yields (Scheme 109) [202,203,204].
Scheme 109.
Synthesis of substituted 1,2,4-trioxanes 298 and 301.
1,2,4-Trioxanes 304 were obtained by the reaction of diketone 303 with containing alkyl substituents endoperoxides 302 (Scheme 110) [205]. Unfortunately, the yield of target peroxides did not exceed 10%.
Scheme 110.
Synthesis of substituted 1,2,4-trioxanes 304.
Trimethylsilyl peroxide 306, which was obtained by the reaction of BSA (N,O-bis (trimethylsilyl) acetamide) with hydroperoxide 305, intramolecularly reacts with the oxirane ring under the action of TMSOTf to form 1,2,4-trioxane 307 in 34% yield (Scheme 111) [206].
Scheme 111.
Synthesis of substituted 1,2,4-trioxane 307.
The use of TMSOTf in the reaction of endoperoxide 308 with cyclic diene 309 opened access to tetrasubstituted 1,2-dioxanes 310 (Scheme 112) [207].
Scheme 112.
Synthesis of tetrasubstituted 1,2-dioxanes 310.
At the first step, the interaction of endoperoxide 308 with TMSOTf leads to the formation of carbocation A. The subsequent attack of 1,4-diphenyl-1,3-cyclodiene B on carbocation A occurs in a regio- and diastereospecific manner. The intramolecular attack of the peroxysilyl function on the carbocation in C leads to product 310 (Scheme 113).
Scheme 113.
The proposed mechanism for the assembly of tetrasubstituted 1,2-dioxanes 310.
The reaction of allyltrimethylsilane 312 with endoperoxides 311 in the presence of catalytic amounts of TMSOTf resulted in bicyclic 1,2-dioxanes 313 with a yield of 10% to 60% (Scheme 114) [208].
Scheme 114.
Synthesis of bicyclic 1,2-dioxanes 313.
The use of TMSOTf/Et3SiH system in the reaction with bicyclic peroxides 314 and 316 led to unusual results. Substituted 1,2-dioxane 314 was transformed into 1,2-dioxane 315. But in the case of a 7-membered cyclic peroxide 316, the main product was bicyclic peroxide containing ozonide cycle 317 (Scheme 115) [209].
Scheme 115.
Synthesis of substituted 1,2-dioxane 315 and 1,2,3-trioxolane (ozonide) 317.
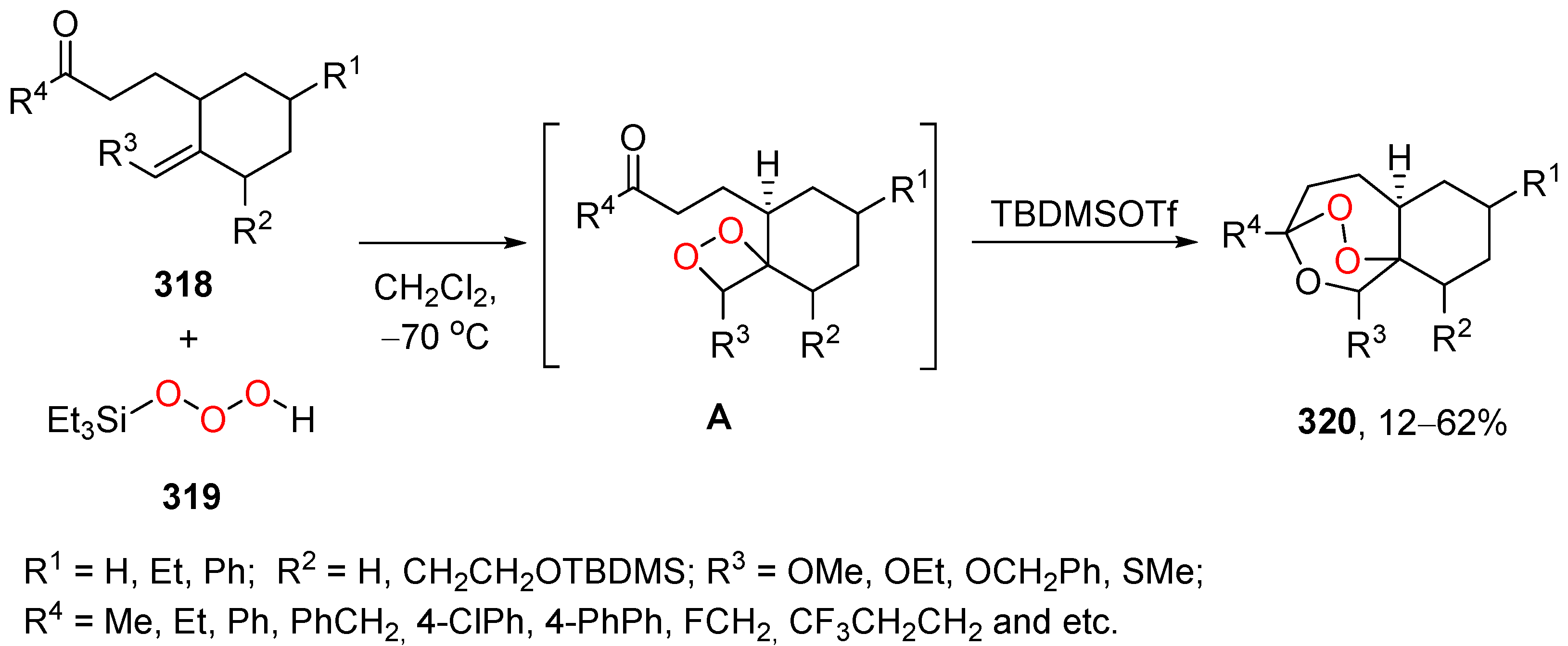
It has been shown that triethylsilyl hydrotrioxide 319 (Et3SiOOOH), obtained in situ from ozone and triethylsilane, is a mild and effective dioxetane-forming reagent from vinyl ethers and vinyl thioethers on a relatively small (50–100 mg) scale. A number of studies have demonstrated that the interaction of TBDMSOTf with dioxetane A leads to its rearrangement into 1,2,4-trioxanes 320. Such peroxides exhibit in vitro antimalarial activity, which is not inferior to peroxides like Artemisinin (Scheme 116) [210,211,212].
Scheme 116.
Synthesis of 1,2,4-trioxanes 320.
In a study [213] on the synthesis of cyclic peroxides 322 and 323 with high antimalarial activity, TMSOTf was used as a catalyst at the stage of peroxide cycle assembly (Scheme 117). Peroxoacetals 322 and 323 were obtained from substrate 321 in 41% yield. The antimalarial activity of peroxides 322 and 323 is comparable to the antimalarial activity of Artemisinin.
Scheme 117.
Synthesis of cyclic peroxides 322 and 323.
4. Heteropoly Acids in the Synthesis of Organic Peroxides
In recent years, great interest has been paid to heteropoly acids as catalysts in the synthesis of organic peroxides. Heteropoly acids such as phosphomolybdic (PMA) and phosphotungstic (PTA) acids have a unique ability to form peroxo complexes with hydrogen peroxide and transfer the peroxide function to the substrate [37,214,215,216]. The deposition of heteropoly acids on a support allows them to be reused after regeneration [37,216]. This section covers approaches on the synthesis of bisperoxides, 1,2,4-trioxolanes, 1,2,4,5-tetraoxanes, and tricyclic monoperoxides with the use of heteropoly acids.
The use of the tBuOOH/H6P2W18O62 system allows one to obtain dialkyl peroxides 325 from alcohols 324 in good yield (Scheme 118) [217]. In the case of secondary alcohols, the formation of an ether was observed in the reaction, which led to a decrease in the yield of the target peroxide. No by-product formation was observed in the case of tertiary alcohols.
Scheme 118.
Synthesis of peroxides 325.
Supported phosphotungstic acid (PTA) on zeolite (NaY) allows the synthesis of a wide range of geminal bisperoxides 327 under heterogeneous conditions with a yield of 8 to 97% (Scheme 119) [216]. Such a system (H2O2, PTA/NaY) is effective for the synthesis of 1,2,4,5-tetraoxanes 329. Target products 329 were obtained in 71% to 92% yield.
Scheme 119.
Synthesis of geminal bisperoxides 327 and 1,2,4,5-tetraoxanes 329 on their basis.
In 2009, the group of Wu et. al. reported the application phosphomolybdic acid (PMA) as a catalyst for the ring-opening of epoxides with H2O2. This method gives the opportunity to obtain β-hydroperoxy alcohols 331 at ambient temperature (Scheme 120) [218]. For all tested substrates the ring-opening of epoxides 330 is highly regioselective to give the hydroperoxyl group at the quaternary carbon.
Scheme 120.
Synthesis of β-hydroperoxy alcohols 331 from epoxides 330.
In 2014, Han et. al. performed the ring opening of oxetane 332 with hydrogen peroxide in the presence of phosphomolybdic acid (PMA). This interaction resulted in a mixture of two peroxides 333 and 334 (Scheme 121) [219].
Scheme 121.
Synthesis of peroxide 333 and 334.
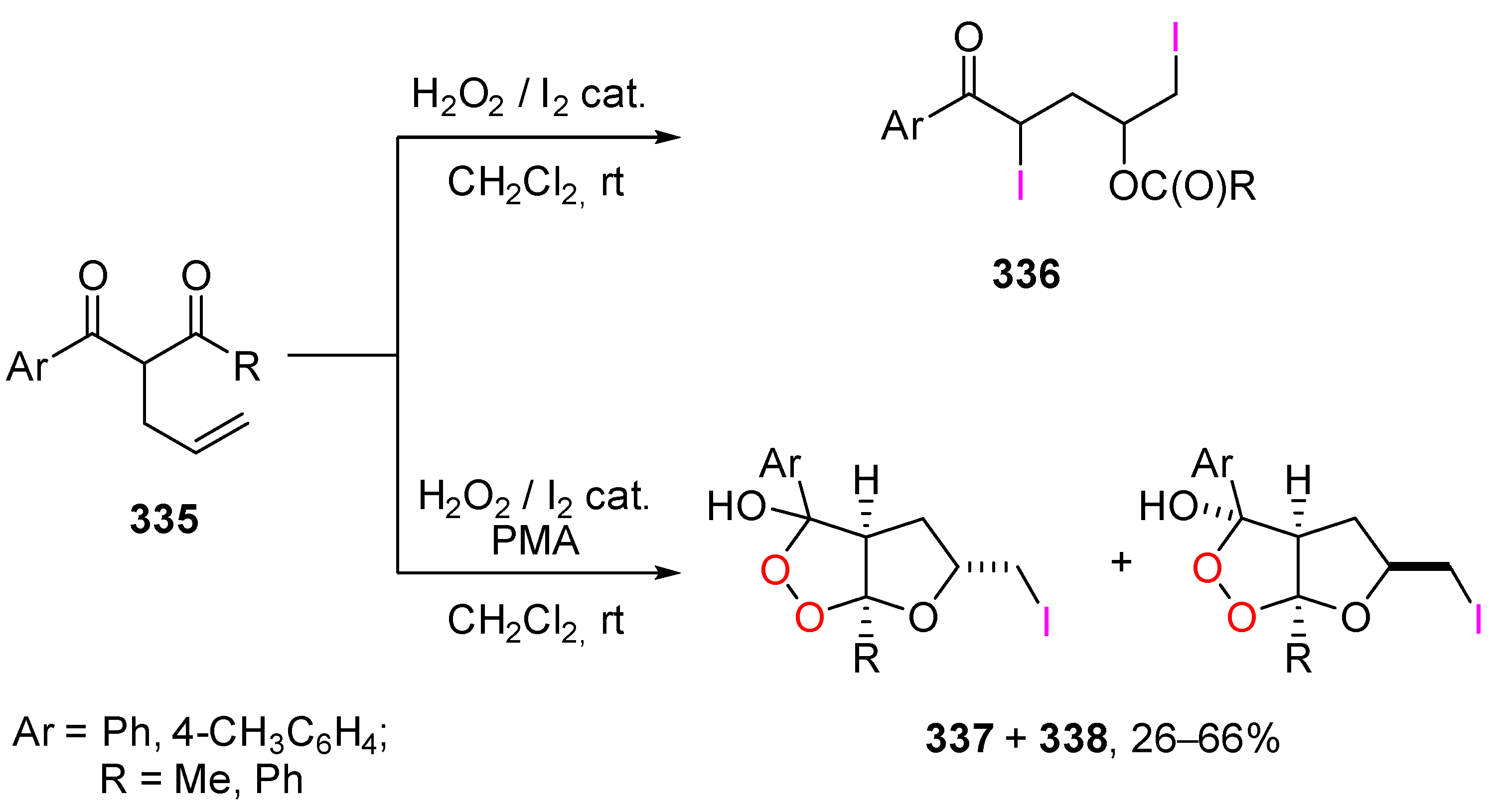
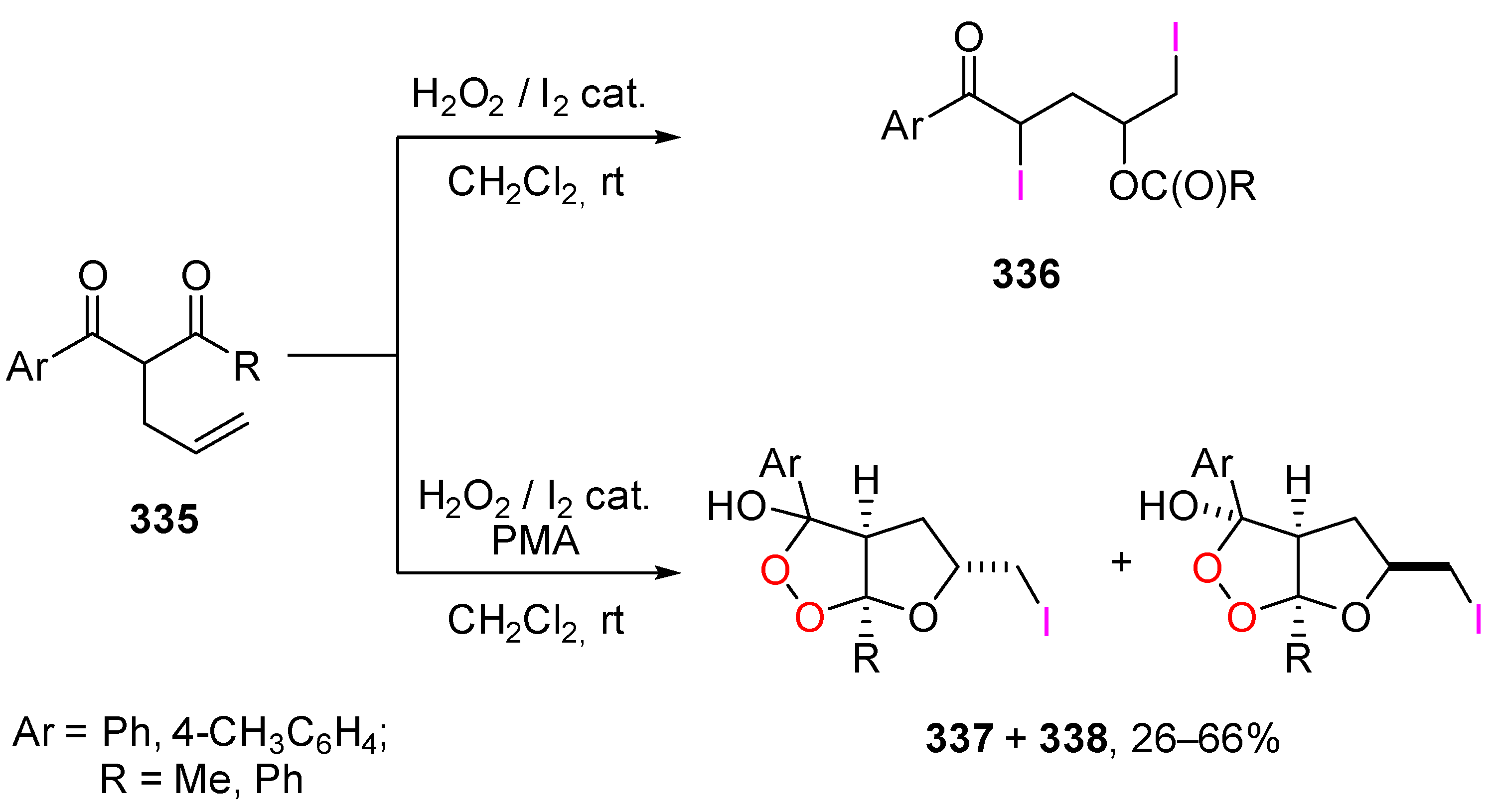
The ability of heteropoly acids to form peroxo complexes and coordinate with the carbonyl group allows the peroxidation of ketones and their derivatives under milder conditions. For example, peroxidation of 1-aryl-2-allylalkane-1,3-diones 335 with I2/H2O2 system proceeds with the formation of iodinated ketoesters 336. The addition of catalytic amounts of PMA to the I2/H2O2 system facilitates the assembly of bicyclic peroxides 337 and 338 (Scheme 122) [220].
Scheme 122.
Synthesis of bicyclic peroxides 337 and 338.
Ozonide 340 was obtained in one step by peroxidation of ketoacetal 339 with a yield of 74%. Phosphoromolybdic acid (PMA) was used as a catalyst in the amount of 0.02 equiv. with respect to 339. (Scheme 123) [218].
Scheme 123.
Synthesis of ozonide 340.
Phosphomolybdic (PMA) and phosphotungstic (PTA) acids efficiently catalyze the peroxidation reaction of β-diketones 341, including easily oxidized diketones, with the formation of bridged 1,2,4,5-tetraoxanes 342 (Scheme 124) [214]. Peroxides can be obtained in grams. The bridged 1,2,4,5-tetraoxane 342 containing an adamantane substituent in its composition exhibit a high activity (IC50: 0.3 μM) in vitro and in vivo (worm burden reduction was 75%) against S. mansoni [16].
Scheme 124.
Synthesis of bridged 1,2,4,5-tetraoxanes 342.
The reaction of β,δ’-triketones 343, containing a benzyl substituent in the α-position, with an ethereal solution of H2O2, catalyzed by heteropoly acids (PMA, PTA) in a polar aprotic solvent, proceeds along three paths with the formation of three classes of peroxides: tricyclic monoperoxides 344, bridged tetraoxanes 345 and a pair of stereoisomeric ozonides 346 and 347 (Scheme 125) [215,221]. The reaction is unusual in that bridged tetraoxanes and ozonides with a free carbonyl group were formed. The synthesis of ozonides from ketones and H2O2 is a unique process in which ozonide is formed with the participation of two carbonyl groups. Bridged ozonides exhibit high in vitro cytotoxicity against androgen dependent prostate cancer cell lines DU145 and PC3. In some cases the anticancer activity of ozonides is higher than that of doxorubicin, cisplatin, and etoposide [222].
Scheme 125.
Synthesis and activity of cyclic peroxides 344–347.
More recently, an efficient catalyst H3+xPMo12-x6+ Mox5+O40/SiO2 was developed for the synthesis of bridged ozonides 349, 350 and 1,2,4,5-tetraoxanes 352 under heterogeneous conditions (Scheme 126) [37] The synthesis of peroxides under heterogeneous conditions is a rare process and presents a challenge in this area of chemistry, as peroxides tend to decompose on the catalyst surface. The yield of diastereoisomeric bridged ozonides 349, 350 was up to 90%, and of bridged 1,2,4,5-tetraoxanes 352 wasup to 86%.
Scheme 126.
Synthesis of bridging ozonides 349, 350 and 1,2,4,5-tetraoxanes 352.
5. Summary and Outlook
This review summarizes approaches to the synthesis of organic peroxides under the action of Lewis acids and heteropoly acids. The possibility of Lewis acids to coordinate with the oxygen atom of the carbonyl group, as well as to generate a peroxycarbenium ion in the starting compounds, allows for the expansion of the potential of the peroxidation reaction of carbonyl compounds.
The possibility of metal-containing compounds such as PMA, PTA, and MeReO3 to form peroxo complexes with hydrogen peroxide makes it possible to transfer the peroxide function to the substrate. This transfer of peroxide groups, mediated by metal complexes, makes it possible to obtain organic peroxides under heterogeneous conditions.
Analysis of the literature allows us to conclude that in the next decade the vector in peroxide chemistry will shift towards the use of the Lewis acid/peroxidizing agent system. This system is promising and its use will open up new horizons in peroxide chemistry for the chemical and medical industries.
Author Contributions
Conceptualization, A.O.T. and I.A.Y.; investigation, P.S.R., Y.Y.B., D.I.F.; writing—original draft preparation, P.S.R., Y.Y.B., D.I.F.; writing—review and editing, I.A.Y., A.O.T., S.B.T.; visualization, I.A.Y., P.S.R.; supervision, A.O.T.; project administration, A.O.T., S.B.T.; funding acquisition, A.O.T., S.B.T. All authors have read and agreed to the published version of the manuscript.
Funding
A.O.T., I.A.Y. are grateful for the support of the Russian Science Foundation (Grant No. 21-43-04417). S.B.T. is grateful to the German Research Foundation, DFG for the financial support (Grant No TS 87/23-1).
Institutional Review Board Statement
Not applicable.
Informed Consent Statement
Not applicable.
Data Availability Statement
Not applicable.
Conflicts of Interest
The authors declare that they have no conflict of interest.
References
- Matyjaszewski, K.; Davis, T.P. Handbook of Radical Polymerization; John Wiley & Sons: Hoboken, NJ, USA, 2003. [Google Scholar]
- Nesvadba, P. Radical polymerization in industry. In Encyclopedia of Radicals in Chemistry, Biology and Materials; John Wiley & Sons: Chichester, UK, 2012. [Google Scholar]
- Dluzneski, P.R. Peroxide vulcanization of elastomers. Rubber Chem. Technol. 2001, 74, 451–492. [Google Scholar] [CrossRef]
- Kruzelak, J.; Sykora, R.; Hudec, I. Vulcanization of rubber compounds with peroxide curing systems. Rubber Chem. Technol. 2017, 90, 60–88. [Google Scholar] [CrossRef]
- Global Organic Peroxide Market Growth 2019–2024. Available online: https://www.fiormarkets.com/report/global-organic-peroxide-market-growth-2019-2024-371362.html (accessed on 25 June 2021).
- Li, Y. Qinghaosu (artemisinin): Chemistry and pharmacology. Acta. Pharmacol. Sin. 2012, 33, 1141–1146. [Google Scholar] [CrossRef] [PubMed] [Green Version]
- Ho, W.E.; Peh, H.Y.; Chan, T.K.; Wong, W.S.F. Artemisinins: Pharmacological actions beyond anti-malarial. Pharmacol. Therapeut. 2014, 142, 126–139. [Google Scholar] [CrossRef] [PubMed]
- Miller, L.H.; Su, X.Z. Artemisinin: Discovery from the chinese herbal garden. Cell 2011, 146, 855–858. [Google Scholar] [CrossRef] [Green Version]
- Huang, J.J.; Xia, Z.Q.; Wu, L.F. Study on the constituents of Artemisia-Annua L. 1. The isolation and identification of 11r-(-)-dihydroarteannuic acid. Acta. Chim. Sin. 1987, 45, 609–612. [Google Scholar]
- Vangapandu, S.; Jain, M.; Kaur, K.; Patil, P.; Patel, S.R.; Jain, R. Recent advances in antimalarial drug development. Med. Res. Rev. 2007, 27, 65–107. [Google Scholar] [CrossRef]
- White, N.J. Qinghaosu (Artemisinin): The price of success. Science 2008, 320, 330–334. [Google Scholar] [CrossRef]
- Nagelschmitz, J.; Voith, B.; Wensing, G.; Roemer, A.; Fugmann, B.; Haynes, R.K.; Kotecka, B.M.; Rieckmann, K.H.; Edstein, M.D. First assessment in humans of the safety, tolerability, pharmacokinetics, and ex vivo pharmacodynamic antimalarial activity of the new artemisinin derivative artemisone. Antimicrob. Agents Chemother. 2008, 52, 3085–3091. [Google Scholar] [CrossRef] [Green Version]
- Frohlich, T.; Karagoz, A.C.; Reiter, C.; Tsogoeva, S.B. Artemisinin-derived dimers: Potent antimalarial and anticancer agents. J. Med. Chem. 2016, 59, 7360–7388. [Google Scholar] [CrossRef]
- Capci, A.; Herrmann, L.; Kumar, H.M.S.; Frohlich, T.; Tsogoeva, S.B. Artemisinin-derived dimers from a chemical perspective. Med. Res. Rev. 2021, 41, 2927–2970. [Google Scholar] [CrossRef] [PubMed]
- Vennerstrom, J.L.; Fu, H.N.; Ellis, W.Y.; Ager, A.L.; Wood, J.K.; Andersen, S.L.; Gerena, L.; Milhous, W.K. Dispiro-1,2,4,5-tetraoxanes—A new class of antimalarial peroxides. J. Med. Chem. 1992, 35, 3023–3027. [Google Scholar] [CrossRef] [PubMed]
- Keiser, J.; Ingram, K.; Vargas, M.; Chollet, J.; Wang, X.F.; Dong, Y.X.; Vennerstrom, J.L. In Vivo Activity of Aryl Ozonides against Schistosoma Species. Antimicrob. Agents Chemother. 2012, 56, 1090–1092. [Google Scholar] [CrossRef] [Green Version]
- Dong, Y.X.; Chollet, J.; Vargas, M.; Mansour, N.R.; Bickle, Q.; Alnouti, Y.; Huang, J.G.; Keiser, J.; Vennerstrom, J.L. Praziquantel analogs with activity against juvenile Schistosoma mansoni. Bioorg. Med. Chem. Lett. 2010, 20, 2481–2484. [Google Scholar] [CrossRef] [PubMed]
- Cowan, N.; Yaremenko, I.A.; Krylov, I.B.; Terent’ev, A.O.; Keiser, J. Elucidation of the in vitro and in vivo activities of bridged 1,2,4-trioxolanes, bridged 1,2,4,5-tetraoxanes, tricyclic monoperoxides, silyl peroxides, and hydroxylamine derivatives against Schistosoma mansoni. Bioorg. Med. Chem. 2015, 23, 5175–5181. [Google Scholar] [CrossRef] [PubMed] [Green Version]
- Brecht, K.; Kirchhofer, C.; Bouitbir, J.; Trapani, F.; Keiser, J.; Krahenbuhl, S. Exogenous iron increases fasciocidal activity and hepatocellular toxicity of the synthetic endoperoxides OZ78 and MT04. Int. J. Mol. Sci. 2019, 20, 4880. [Google Scholar] [CrossRef] [PubMed] [Green Version]
- Wu, J.B.; Wang, X.F.; Chiu, F.C.K.; Haberli, C.; Shackleford, D.M.; Ryan, E.; Kamaraj, S.; Bulbule, V.J.; Wallick, A.I.; Dong, Y.X.; et al. Structure-activity relationship of antischistosomal ozonide carboxylic acids. J. Med. Chem. 2020, 63, 3723–3736. [Google Scholar] [CrossRef] [PubMed]
- Fisher, L.C.; Blackie, M.A.L. Tetraoxanes as antimalarials: Harnessing the endoperoxide. Mini Rev. Med. Chem. 2014, 14, 123–135. [Google Scholar] [CrossRef]
- Ghorai, P.; Dussault, P.H.; Hu, C.H. Synthesis of spiro-bisperoxyketals. Org. Lett. 2008, 10, 2401–2404. [Google Scholar] [CrossRef]
- Hao, H.D.; Wittlin, S.; Wu, Y.K. Potent antimalarial 1,2,4-trioxanes through perhydrolysis of epoxides. Chem. A Eur. J. 2013, 19, 7605–7619. [Google Scholar] [CrossRef]
- Jefford, C.W. Synthetic peroxides as potent antimalarials. News and views. Curr. Top. Med. Chem. 2012, 12, 373–399. [Google Scholar] [CrossRef] [PubMed]
- Kuster, T.; Kriegel, N.; Stadelmann, B.; Wang, X.F.; Dong, Y.X.; Vennerstrom, J.L.; Keiser, J.; Hemphill, A. Amino ozonides exhibit in vitro activity against Echinococcus multilocularis metacestodes. Int. J. Antimicrob. Agents 2014, 43, 40–46. [Google Scholar] [CrossRef] [PubMed]
- Opsenica, D.M.; Solaja, B.A. Antimalarial peroxides. J. Serb. Chem. Soc. 2009, 74, 1155–1193. [Google Scholar] [CrossRef]
- Solaja, B.A.; Terzic, N.; Pocsfalvi, G.; Gerena, L.; Tinant, B.; Opsenica, D.; Milhous, W.K. Mixed steroidal 1,2,4,5-tetraoxanes: Antimalarial and antimycobacterial activity. J. Med. Chem. 2002, 45, 3331–3336. [Google Scholar] [CrossRef]
- Vil’, V.A.; Yaremenko, I.A.; Ilovaisky, A.I.; Terent’ev, A.O. Peroxides with anthelmintic, antiprotozoal, fungicidal and antiviral bioactivity: Properties, synthesis and reactions. Molecules 2017, 22, 1881. [Google Scholar] [CrossRef] [Green Version]
- Dembitsky, V.M.; Gloriozova, T.A.; Poroikov, V.V. Natural peroxy anticancer agents. Mini Rev. Med. Chem. 2007, 7, 571–589. [Google Scholar] [CrossRef] [PubMed]
- Dembitsky, V.M. Bioactive peroxides as potential therapeutic agents. Eur. J. Med. Chem. 2008, 43, 223–251. [Google Scholar] [CrossRef] [PubMed]
- Chaudhary, S.; Sharma, V.; Jaiswal, P.K.; Gaikwad, A.N.; Sinha, S.K.; Puri, S.K.; Sharon, A.; Maulik, P.R.; Chaturvedi, V. Stable Tricyclic Antitubercular Ozonides Derived from Artemisinin. Org. Lett. 2015, 17, 4948–4951. [Google Scholar] [CrossRef]
- Miller, M.J.; Walz, A.J.; Zhu, H.; Wu, C.R.; Moraski, G.; Mollmann, U.; Tristani, E.M.; Crumbliss, A.L.; Ferdig, M.T.; Checkley, L.; et al. Design, synthesis, and study of a mycobactin-artemisinin conjugate that has selective and potent activity against tuberculosis and malaria. J. Am. Chem. Soc. 2011, 133, 2076–2079. [Google Scholar] [CrossRef] [Green Version]
- Zhou, F.W.; Lei, H.S.; Fan, L.; Jiang, L.; Liu, J.; Peng, X.M.; Xu, X.R.; Chen, L.; Zhou, C.H.; Zou, Y.Y.; et al. Design, synthesis, and biological evaluation of dihydroartemisinin-fluoroquinolone conjugates as a novel type of potential antitubercular agents. Bioorg. Med. Chem. Lett. 2014, 24, 1912–1917. [Google Scholar] [CrossRef]
- Cusati, R.C.; Barbosa, L.C.A.; Maltha, C.R.A.; Demuner, A.J.; Oliveros-Bastidas, A.; Silva, A.A. Tetraoxanes as a new class of efficient herbicides comparable with commercial products. Pest Manag. Sci. 2015, 71, 1037–1048. [Google Scholar] [CrossRef] [PubMed]
- Barbosa, L.C.A.; Maltha, C.R.A.; Cusati, R.C.; Teixeira, R.R.; Rodrigues, F.F.; Silva, A.A.; Drew, M.G.B.; Ismail, F.M.D. Synthesis and biological evaluation of new ozonides with improved plant growth regulatory activity. J. Agric. Food Chem. 2009, 57, 10107–10115. [Google Scholar] [CrossRef] [PubMed]
- Barbosa, L.C.A.; Pereira, U.A.; Telxeira, R.R.; Maltha, C.R.A.; Fernandes, S.A.; Forlani, G. Synthesis and phytotoxic activity of ozonides. J. Agric. Food Chem. 2008, 56, 9434–9440. [Google Scholar] [CrossRef] [PubMed]
- Vil’, V.A.; Yaremenko, I.A.; Fomenkov, D.I.; Levitsky, D.O.; Fleury, F.; Terent’ev, A.O. Ion exchange resin-catalyzed synthesis of bridged tetraoxanes possessing in vitro cytotoxicity against HeLa cancer cells. Chem. Het. Comp. 2020, 56, 722–726. [Google Scholar] [CrossRef]
- Yaremenko, I.A.; Syromyatnikov, M.Y.; Radulov, P.S.; Belyakova, Y.Y.; Fomenkov, D.I.; Popov, V.N.; Terent’ev, A.O. Cyclic synthetic peroxides inhibit growth of entomopathogenic fungus Ascosphaera apis without toxic effect on bumblebees. Molecules 2020, 25, 1954. [Google Scholar] [CrossRef]
- Phillipson, D.W.; Rinehart, K.L. Antifungal peroxide-containing acids from two Caribbean sponges. J. Am. Chem. Soc. 1983, 105, 7735–7736. [Google Scholar] [CrossRef]
- Chen, Y.; McCarthy, P.J.; Harmody, D.K.; Schimoler-O’Rourke, R.; Chilson, K.; Selitrennikoff, C.; Pomponi, S.A.; Wright, A.E. New bioactive peroxides from marine sponges of the family Plakiniidae. J. Nat. Prod. 2002, 65, 1509–1512. [Google Scholar] [CrossRef]
- Biamonte, M.A.; Wanner, J.; Le Roch, K.G. Recent advances in malaria drug discovery. Bioorg. Med. Chem. Lett. 2013, 23, 2829–2843. [Google Scholar] [CrossRef] [Green Version]
- Wang, X.F.; Dong, Y.X.; Wittlin, S.; Charman, S.A.; Chiu, F.C.K.; Chollet, J.; Katneni, K.; Mannila, J.; Morizzi, J.; Ryan, E.; et al. Comparative Antimalarial Activities and ADME Profiles of Ozonides (1,2,4-trioxolanes) OZ277, OZ439, and Their 1,2-Dioxolane, 1,2,4-Trioxane, and 1,2,4,5-Tetraoxane Isosteres. J. Med. Chem. 2013, 56, 2547–2555. [Google Scholar] [CrossRef]
- Fontaine, S.D.; Spangler, B.; Gut, J.; Lauterwasser, E.M.W.; Rosenthal, P.J.; Renslo, A.R. Drug delivery to the malaria parasite using an Arterolane-like scaffold. ChemMedChem 2015, 10, 47–51. [Google Scholar] [CrossRef] [Green Version]
- Siddiqui, G.; Giannangelo, C.; De Paoli, A.; Schuh, A.K.; Heimsch, K.C.; Anderson, D.; Brown, T.G.; MacRaild, C.A.; Wu, J.B.; Wang, X.F.; et al. Peroxide antimalarial drugs target redox homeostasis in Plasmodium falciparum infected red blood cells. ACS Infect. Dis. 2022, 8, 210–226. [Google Scholar] [CrossRef] [PubMed]
- Hamaluba, M.; van der Pluijm, R.W.; Weya, J.; Njuguna, P.; Ngama, M.; Kalume, P.; Mwambingu, G.; Ngetsa, C.; Wambua, J.; Boga, M.; et al. Arterolane-piperaquine-mefloquine versus arterolane-piperaquine and artemether-lumefantrine in the treatment of uncomplicated Plasmodium falciparum malaria in Kenyan children: A single-centre, open-label, randomised, non-inferiority trial. Lancet Infect. Dis. 2021, 21, 1395–1406. [Google Scholar] [CrossRef]
- Phyo, A.P.; Jittamala, P.; Nosten, F.H.; Pukrittayakamee, S.; Imwong, M.; White, N.J.; Duparc, S.; Macintyre, F.; Baker, M.; Mohrle, J.J. Antimalarial activity of artefenomel (OZ439), a novel synthetic antimalarial endoperoxide, in patients with Plasmodium falciparum and Plasmodium vivax malaria: An open-label phase 2 trial. Lancet Infect. Dis. 2016, 16, 61–69. [Google Scholar] [CrossRef] [Green Version]
- Ghosh, A.K.; Miller, H.; Knox, K.; Kundu, M.; Henrickson, K.J.; Arav-Boger, R. Inhibition of human coronaviruses by antimalarial peroxides. ACS Infect. Dis. 2021, 7, 1985–1995. [Google Scholar] [CrossRef] [PubMed]
- Yang, Y.; Islam, M.S.; Wang, J.; Li, Y.; Chen, X. Traditional Chinese Medicine in the Treatment of Patients Infected with 2019-New Coronavirus (SARS-CoV-2): A Review and Perspective. Int. J. Biol. Sci. 2020, 16, 1708–1717. [Google Scholar] [CrossRef] [PubMed]
- Zhou, Y.; Gilmore, K.; Ramirez, S.; Settels, E.; Gammeltoft, K.A.; Pham, L.V.; Fahnøe, U.; Feng, S.; Offersgaard, A.; Trimpert, J.; et al. In vitro efficacy of artemisinin-based treatments against SARS-CoV-2. Sci. Rep. 2021, 11, 14571. [Google Scholar] [CrossRef]
- Clennan, E.L.; Sram, J.P. Photochemical reactions in the interior of a zeolite. Part 5: The origin of the zeolite induced regioselectivity in the singlet oxygen ene reaction. Tetrahedron 2000, 56, 6945–6950. [Google Scholar] [CrossRef]
- Stratakis, M.; Orfanopoulos, M. Regioselectivity in the ene reaction of singlet oxygen with alkenes. Tetrahedron 2000, 56, 1595–1615. [Google Scholar] [CrossRef]
- Griesbeck, A.G.; El-Idreesy, T.T.; Fiege, M.; Brun, R. Synthesis of antimalarial 1,2,4-trioxanes via photooxygenation of a chiral allylic alcohol. Org. Lett. 2002, 4, 4193–4195. [Google Scholar] [CrossRef]
- Matsumoto, M.; Nasu, S.; Takeda, M.; Murakami, H.; Watanabe, N. Singlet oxygenation of 4-(4-tert-butyl-3,3-dimethyl-2,3-dihydrofuran-5-yl)-2-pyridone: Non-stereospecific 1,4-addition of singlet oxygen to a 1,3-diene system and thermal rearrangement of the resulting 1,4-endoperoxides to stable 1,2-dioxetanes. Chem. Commun. 2000, 821–822. [Google Scholar] [CrossRef]
- Lopez, D.; Quinoa, E.; Riguera, R. The [4 + 2] addition of singlet oxygen to thebaine: New access to highly functionalized morphine derivatives via opioid endoperoxides. J. Org. Chem. 2000, 65, 4671–4678. [Google Scholar] [CrossRef] [PubMed]
- Isayama, S.; Mukaiyama, T. Novel method for the preparation of triethylsilyl peroxides from olefins by the reaction with molecular-oxygen and triethylsilane catalyzed by bis(1,3-diketonato)Cobalt(II). Chem. Lett. 1989, 18, 573–576. [Google Scholar] [CrossRef]
- Isayama, S. An efficient method for the direct peroxygenation of various olefinic compounds with molecular-oxygen and triethylsilane catalyzed by a Cobalt(II) complex. Bull. Chem. Soc. Jpn. 1990, 63, 1305–1310. [Google Scholar] [CrossRef] [Green Version]
- Tokuyasu, T.; Kunikawa, S.; Masuyama, A.; Nojima, M. Co(III)-alkyl complex- and Co(III)-alkylperoxo complex-catalyzed triethylsilylperoxidation of alkenes with molecular oxygen and triethylsilane. Org. Lett. 2002, 4, 3595–3598. [Google Scholar] [CrossRef] [PubMed]
- O’Neill, P.M.; Hindley, S.; Pugh, M.D.; Davies, J.; Bray, P.G.; Park, B.K.; Kapu, D.S.; Ward, S.A.; Stocks, P.A. Co(thd)(2): A superior catalyst for aerobic epoxidation and hydroperoxysilylation of unactivated alkenes: Application to the synthesis of spiro-1,2,4-trioxanes. Tetrahedron Lett. 2003, 44, 8135–8138. [Google Scholar] [CrossRef]
- Demarteau, J.; Debuigne, A.; Detrembleur, C. Organocobalt complexes as sources of carbon-centered radicals for organic and polymer chemistries. Chem. Rev. 2019, 119, 6906–6955. [Google Scholar] [CrossRef]
- Tokuyasu, T.; Kunikawa, S.; Abe, M.; Masuyama, A.; Nojima, M.; Kim, H.S.; Begum, K.; Wataya, Y. Synthesis of antimalarial yingzhaosu a analogues by the peroxidation of dienes with Co(II)/O2/Et3SiH. J. Org. Chem. 2003, 68, 7361–7367. [Google Scholar] [CrossRef]
- Sugamoto, K.; Matsushita, Y.; Matsui, T. Direct hydroperoxygenation of conjugated olefins catalyzed by cobalt(II) porphyrin. J. Chem. Soc. Perkin Trans. 1 1998, 3989–3998. [Google Scholar] [CrossRef]
- Gandhi, H.; O’Reilly, K.; Gupta, M.K.; Horgan, C.; O’Leary, E.M.; O’Sullivan, T.P. Advances in the synthesis of acyclic peroxides. RSC Adv. 2017, 7, 19506–19556. [Google Scholar] [CrossRef] [Green Version]
- Kawanishi, M.; Kotoku, N.; Itagaki, S.; Horii, T.; Kobayashi, M. Structure-activity relationship of anti-malarial spongean peroxides having a 3-methoxy-1,2-dioxane structure. Bioorg. Med. Chem. 2004, 12, 5297–5307. [Google Scholar] [CrossRef]
- Murakami, N.; Kawanishi, M.; Itagaki, S.; Horii, T.; Kobayashi, M. Facile construction of 6-carbomethoxymethyl-3-methoxy-1,2-dioxane, a core structure of spongean anti-malarial peroxides. Tetrahedron Lett. 2001, 42, 7281–7285. [Google Scholar] [CrossRef]
- Murakami, N.; Kawanishi, M.; Itagaki, S.; Horii, T.; Kobayashi, M. New readily accessible peroxides with high anti-malarial potency. Bioorg. Med. Chem. Lett. 2002, 12, 69–72. [Google Scholar] [CrossRef]
- Juaristi, E.; Gomes, G.D.; Terent’ev, A.O.; Notario, R.; Alabugin, I.V. Stereoelectronic Interactions as a Probe for the Existence of the Intramolecular alpha-Effect. J. Am. Chem. Soc. 2017, 139, 10799–10813. [Google Scholar] [CrossRef] [PubMed]
- Alabugin, I.V.; Kuhn, L.; Medvedev, M.G.; Krivoshchapov, N.V.; Vil’, V.A.; Yaremenko, I.A.; Mehaffy, P.; Yarie, M.; Terent’ev, A.O.; Zolfigol, M.A. Stereoelectronic power of oxygen in control of chemical reactivity: The anomeric effect is not alone. Chem. Soc. Rev. 2021, 50, 10253–10345. [Google Scholar] [CrossRef] [PubMed]
- Hassan, Z.; Stahlberger, M.; Rosenbaum, N.; Brase, S. Criegee intermediates beyond ozonolysis: Synthetic and mechanistic insights. Angew. Chem. Int. Ed. 2021, 60, 15138–15152. [Google Scholar] [CrossRef]
- Criegee, R. Mechanism of ozonolysis. Angew. Chem. Int. Ed. Engl. 1975, 14, 745–752. [Google Scholar] [CrossRef]
- Griesbaum, K.; Ovez, B.; Huh, T.S.; Dong, Y.X. Ozonolyses of O-methyloximes in the presence of acid-derivatives—A new access to substituted ozonides. Liebigs Ann. 1995, 1571–1574. [Google Scholar] [CrossRef]
- Griesbaum, K.; Liu, X.J.; Dong, Y.X. Diozonides from coozonolyses of suitable O-methyl oximes and ketones. Tetrahedron 1997, 53, 5463–5470. [Google Scholar] [CrossRef]
- Geletneky, C.; Berger, S. The mechanism of ozonolysis revisited by O-17-NMR spectroscopy. Eur. J. Org. Chem. 1998, 1998, 1625–1627. [Google Scholar] [CrossRef]
- Dong, Y.X.; Vennerstrom, J.L. Differentiation between 1,2,4,5-tetraoxanes and 1,2,4,5,7,8-hexaoxonanes using H-1 and C-13 NMR analyses. J. Heterocycl. Chem. 2001, 38, 463–466. [Google Scholar] [CrossRef]
- Dai, P.; Dussault, P.H. Intramolecular reactions of hydroperoxides and oxetanes: Stereoselective synthesis of 1,2-dioxolanes and 1,2-dioxanes. Org. Lett. 2005, 7, 4333–4335. [Google Scholar] [CrossRef] [PubMed]
- Yaremenko, I.A.; Radulov, P.S.; Medvedev, M.G.; Krivoshchapov, N.V.; Belyakova, Y.Y.; Korlyukov, A.A.; Ilovaisky, A.I.; Terent’ev, A.O.; Alabugin, I.V. How to Build Rigid Oxygen-Rich Tricyclic Heterocycles from Triketones and Hydrogen Peroxide: Control of Dynamic Covalent Chemistry with Inverse alpha-Effect. J. Am. Chem. Soc. 2020, 142, 14588–14607. [Google Scholar] [CrossRef] [PubMed]
- Terent’ev, A.O.; Borisov, D.A.; Chernyshev, V.V.; Nikishin, G.I. Facile and selective procedure for the synthesis of bridged 1,2,4,5-tetraoxanes; strong acids as cosolvents and catalysts for addition of hydrogen peroxide to beta-diketones. J. Org. Chem. 2009, 74, 3335–3340. [Google Scholar] [CrossRef] [PubMed]
- O’Neill, P.M.; Amewu, R.K.; Nixon, G.L.; ElGarah, F.B.; Mungthin, M.; Chadwick, J.; Shone, A.E.; Vivas, L.; Lander, H.; Barton, V.; et al. Identification of a 1,2,4,5-tetraoxane antimalarial drug-development candidate (RKA 182) with superior properties to the semisynthetic artemisinins. Angew. Chem. Int. Ed. 2010, 49, 5693–5697. [Google Scholar] [CrossRef]
- Vennerstrom, J.L.; Dong, Y.X.; Andersen, S.L.; Ager, A.L.; Fu, H.N.; Miller, R.E.; Wesche, D.L.; Kyle, D.E.; Gerena, L.; Walters, S.M.; et al. Synthesis and antimalarial activity of sixteen dispiro-1,2,4,5-tetraoxanes: Alkyl-substituted 7,8,15,16-tetraoxadispiro [5.2.5.2]hexadecanes. J. Med. Chem. 2000, 43, 2753–2758. [Google Scholar] [CrossRef]
- Opsenica, D.; Pocsfalvi, G.; Milhous, W.K.; Solaja, B.A. Antimalarial peroxides: The first intramolecular 1,2,4,5-tetraoxane. J. Serb. Chem. Soc. 2002, 67, 465–471. [Google Scholar] [CrossRef]
- Belic, I.; Kastelicsuhadolc, T.; Kavcic, R.; Marsel, J.; Kramer, V.; Kralj, B. Peroxides of higher aliphatic ethers. Tetrahedron 1976, 32, 3045–3049. [Google Scholar] [CrossRef]
- Terent’ev, A.O.; Yaremenko, I.A.; Chernyshev, V.V.; Dembitsky, V.M.; Nikishin, G.I. Selective Synthesis of Cyclic Peroxides from Triketones and H2O2. J. Org. Chem. 2012, 77, 1833–1842. [Google Scholar] [CrossRef]
- Ramirez, A.; Woerpel, K.A. Synthesis of 1,2-dioxolanes by annulation reactions of peroxycarbenium ions with alkenes. Org. Lett. 2005, 7, 4617–4620. [Google Scholar] [CrossRef]
- Terent’ev, A.O.; Borisov, D.A.; Vil’, V.A.; Dembitsky, V.M. Synthesis of five- and six-membered cyclic organic peroxides: Key transformations into peroxide ring-retaining products. Beilstein J. Org. Chem. 2014, 10, 34–114. [Google Scholar] [CrossRef] [Green Version]
- Gomes, G.D.; Yaremenko, I.A.; Radulov, P.S.; Novikov, R.A.; Chernyshev, V.V.; Korlyukov, A.A.; Nikishin, G.I.; Alabugin, I.V.; Terent’ev, A.O. Stereoelectronic Control in the Ozone-Free Synthesis of Ozonides. Angew. Chem. Int. Ed. 2017, 56, 4955–4959. [Google Scholar] [CrossRef] [PubMed]
- Vil, V.A.; Gomes, G.D.; Bityukov, O.V.; Lyssenko, K.A.; Nikishin, G.I.; Alabugin, I.V.; Terent’ev, A.O. Interrupted Baeyer-Villiger rearrangement: Building a stereoelectronic trap for the Criegee intermediate. Angew. Chem. Int. Ed. 2018, 57, 3372–3376. [Google Scholar] [CrossRef] [PubMed]
- Terent’ev, A.O.; Yaremenko, I.A.; Vil’, V.A.; Dembitsky, V.M.; Nikishin, G.I. Boron Trifluoride as an Efficient Catalyst for the Selective Synthesis of Tricyclic Monoperoxides from beta,delta-Triketones and H2O2. Synthesis 2013, 45, 246–250. [Google Scholar] [CrossRef] [Green Version]
- Dussault, P.H.; Lee, H.J.; Niu, Q.J. Peroxycarbenium-mediated C-C bond formation: Synthesis of cyclic peroxides from monoperoxyketals. J. Org. Chem. 1995, 60, 784–785. [Google Scholar] [CrossRef]
- Radulov, P.S.; Belyakova, Y.Y.; Demina, A.A.; Nikishin, G.I.; Yaremenko, I.A.; Terent’ev, A.O. Selective synthesis of cyclic triperoxides from 1,1-dihydroperoxydi(cycloalkyl)peroxides and acetals using SnCl4. Russ. Chem. Bull. 2019, 68, 1289–1292. [Google Scholar] [CrossRef]
- Terent’ev, A.O.; Kutkin, A.V.; Platonov, M.M.; Starikova, Z.A.; Ogibin, Y.N.; Nikishin, G.I. Synthesis of 1,1’-bishydroperoxydi(cycloalkyl) peroxides by homocoupling of 11-15-membered gem-bis (hydroperoxy)cycloalkanes in the presence of boron trifluoride. Russ. Chem. Bull. 2005, 54, 1214–1218. [Google Scholar] [CrossRef]
- Zmitek, K.; Zupan, M.; Stavber, S.; Iskra, J. The effect of iodine on the peroxidation of carbonyl compounds. J. Org. Chem. 2007, 72, 6534–6540. [Google Scholar] [CrossRef]
- Azarifar, D.; Khosravi, K.; Soleimanei, F. Stannous chloride dihydrate: A novel and efficient catalyst for the synthesis of gem-dihydroperoxides from ketones and aldehydes. Synthesis 2009, 15, 2553–2556. [Google Scholar] [CrossRef]
- Singh, K.; Bera, T.; Jaiswal, V.; Biswas, S.; Mondal, B.; Das, D.; Saha, J. Lewis acid catalyzed nucleophilic ring opening and 1,3-bisfunctionalization of donor-acceptor cyclopropanes with hydroperoxides: Access to highly functionalized peroxy/(alpha-heteroatom substituted)peroxy compounds. J. Org. Chem. 2019, 84, 710–725. [Google Scholar] [CrossRef]
- Yaremenko, I.A.; Vil, V.A.; Demchuk, D.V.; Terent’ev, A.O. Rearrangements of organic peroxides and related processes. Beilstein J. Org. Chem. 2016, 12, 1647–1748. [Google Scholar] [CrossRef] [Green Version]
- Terent’ev, A.O.; Pastukhova, Z.Y.; Yaremenko, I.A.; Novikov, R.A.; Demchuk, D.V.; Bruk, L.G.; Levitsky, D.O.; Fleury, F.; Nikishin, G.I. Selective transformation of tricyclic peroxides with pronounced antischistosomal activity into 2-hydroxy-1,5-diketones using iron (II) salts. Tetrahedron 2016, 72, 3421–3426. [Google Scholar] [CrossRef]
- Bartlett, P.D.; Cotman, J.D. Migration aptitude as a criterion of ionic mechanism in the rearrangement of mono-p-nitrotriphenylmethyl hydroperoxide. J. Am. Chem. Soc. 1950, 72, 3095–3099. [Google Scholar] [CrossRef]
- Hüttel, R.; Schmid, H.; Ross, H. Alkylhydroperoxyde aus alkylhalogeniden, II. Chem. Ber. 1959, 92, 699–704. [Google Scholar] [CrossRef]
- Jiang, H.; Chu, G.; Gong, H.; Qiao, Q.D. Tin chloride catalysed oxidation of acetone with hydrogen peroxide to tetrameric acetone peroxide. J. Chem. Res. 1999, 288–289. [Google Scholar] [CrossRef]
- Pettinari, C.; Marchetti, F.; Cingolani, A.; Drozdov, A.; Troyanov, S. Unexpected synthesis of (bis(diphenylphosphinoyl)ethane)center dot 2(2,2-dihydroperoxypropane) 1:2 adduct: A new route to stable organic dihydroperoxides. Chem. Commun. 2000, 1901–1902. [Google Scholar] [CrossRef]
- Yan, X.; Qiao, C.H.; Guo, Z.W. Tin(IV) chloride promoted reaction of oxiranes with hydrogen peroxide. Synlett 2013, 24, 502–506. [Google Scholar] [CrossRef]
- Dussault, P.H.; Lee, I.Q. Peroxycarbenium-mediated C-C bond formation: Synthesis of peroxides from monoperoxy ketals. J. Am. Chem. Soc. 1993, 115, 6458–6459. [Google Scholar] [CrossRef]
- Dussault, P.H.; Zope, U. Hydroperoxide-mediated C-C bond formation: Synthesis of 1,2-dioxolanes from alkoxyhydroperoxides in the presence of Lewis-acids. Tetrahedron Lett. 1995, 36, 3655–3658. [Google Scholar] [CrossRef]
- Dussault, P.H.; Lee, I.Q.; Lee, H.J.; Lee, R.J.; Niu, Q.J.; Schultz, J.A.; Zope, U.R. Peroxycarbenium-mediated C-C bond formation: Aplications to the synthesis of hydroperoxides and peroxides. J. Org. Chem. 2000, 65, 8407–8414. [Google Scholar] [CrossRef]
- Dussault, P.H.; Liu, X.J. SnCl4-mediated reaction of ozonides with allyltrimethylsilane: Formation of 1,2-dioxolanes. Tetrahedron Lett. 1999, 40, 6553–6556. [Google Scholar] [CrossRef]
- Dussault, P.H.; Lee, H.J.; Liu, X.J. Selectivity in Lewis acid-mediated fragmentations of peroxides and ozonides: Application to the synthesis of alkenes, homoallyl ethers, and 1,2-dioxolanes. J. Chem. Soc. Perkin Trans. 1 2000, 3006–3013. [Google Scholar] [CrossRef]
- Pinet, A.; Nguyen, T.L.; Bernadat, G.; Figadere, B.; Ferrie, L. Synthesis of 3,5-disubstituted 1,2-dioxolanes through the use of acetoxy peroxyacetals. Org. Lett. 2019, 21, 4729–4733. [Google Scholar] [CrossRef] [PubMed]
- Wang, X.F.; Dong, Y.X.; Wittlin, S.; Creek, D.; Chollet, J.; Charman, S.A.; Santo Tomas, J.; Scheurer, C.; Snyder, C.; Vennerstrom, J.L. Spiro- and dispiro-1,2-dioxolanes: Contribution of iron(II)-mediated one-electron vs. two-electron reduction to the activity of antimalarial peroxides. J. Med. Chem. 2007, 50, 5840–5847. [Google Scholar] [CrossRef] [PubMed]
- Hurlocker, B.; Miner, M.R.; Woerpel, K.A. Synthesis of Silyl Monoperoxyketals by Regioselective Cobalt-Catalyzed Peroxidation of Silyl Enol Ethers: Application to the Synthesis of 1,2-Dioxolanes. Org. Lett. 2014, 16, 4280–4283. [Google Scholar] [CrossRef] [PubMed]
- Martyn, D.C.; Ramirez, A.P.; Berattie, M.J.; Cortese, J.F.; Patel, V.; Rush, M.A.; Woerpel, K.A.; Clardy, J. Synthesis of spiro-1,2-dioxolanes and their activity against Plasmodium falciparum. Bioorg. Med. Chem. Lett. 2008, 18, 6521–6524. [Google Scholar] [CrossRef]
- Zhao, Q.J.; Vargas, M.; Dong, Y.X.; Zhou, L.; Wang, X.F.; Sriraghavan, K.; Keiser, J.; Vennerstrom, J.L. Structure-activity relationship of an ozonide carboxylic acid (OZ78) against Fasciola hepatica. J. Med. Chem. 2010, 53, 4223–4233. [Google Scholar] [CrossRef] [Green Version]
- Dussault, P.H.; Lee, R.J.; Schultz, J.A.; Suh, Y.S. Reaction of peroxyacetals with silyl ketene acetals: Synthesis of 3-peroxyalkanoates and 3-peroxyalkanals. Tetrahedron Lett. 2000, 41, 5457–5460. [Google Scholar] [CrossRef]
- Dai, P.; Trullinger, T.K.; Liu, X.J.; Dussault, P.H. Asymmetric synthesis of 1,2-dioxolane-3-acetic acids: Synthesis and configurational assignment of plakinic acid A. J. Org. Chem. 2006, 71, 2283–2292. [Google Scholar] [CrossRef]
- Marson, C.M.; Khan, A.; Porter, R.A. Stereocontrolled formation of epoxy peroxide functionality appended to a lactam ring. J. Org. Chem. 2001, 66, 4771–4775. [Google Scholar] [CrossRef]
- Azarifar, D.; Khosravi, K. Trans-3,5-dihydroperoxy-3,5-dimethyl-1,2-dioxolane as a novel and efficient reagent for selective sulfoxidation of sulfides under catalyst-free condition. Eur. J. Chem. 2010, 1, 15–19. [Google Scholar] [CrossRef]
- Azarifar, D.; Khosravi, K. AlCl3.6H2O as a catalyst for simple and efficient synthesis of gem-dihydroperoxides from ketones and aldehydes using aqueous H2O2. J. Iran. Chem. Soc. 2011, 8, 1006–1013. [Google Scholar] [CrossRef]
- Gamage, N.D.H.; Stiasny, B.; Kratz, E.G.; Stierstorfer, J.; Martin, P.D.; Cisneros, G.A.; Klapotke, T.M.; Winter, C.H. Energetic materials trends in 5-and 6-membered cyclic peroxides containing hydroperoxy and hydroxy substituents. Eur. J. Inorg. Chem. 2016, 2016, 5036–5043. [Google Scholar] [CrossRef]
- Jost, C.; Wahl, G.; Kleinhenz, D.; Sundermeyer, J. Peroxo complexes of molybdenum, tungsten and rhenium with phase transfer active ligands: Catalysts for the oxidation of olefins and aromatics by hydrogen peroxide and bistrimethylsilyl peroxide. In Peroxide Chemistry; Wiley-VCH: Weinheim, Germany, 2000; pp. 341–364. [Google Scholar] [CrossRef]
- Nabavizadeh, S.M. Thermodynamic studies of the binding of bidentate nitrogen donors with methyltrioxorhenium (MTO) in CHCl3 solution. Dalton Trans. 2005, 1644–1648. [Google Scholar] [CrossRef] [PubMed]
- Hwang, T.; Goldsmith, B.R.; Peters, B.; Scott, S.L. Water-catalyzed activation of H2O2 by methyltrioxorhenium: A combined computational-experimental study. Inorg. Chem. 2013, 52, 13904–13917. [Google Scholar] [CrossRef]
- Zmitek, K.; Stavber, S.; Zupan, M.; Bonnet-Delpon, D.; Charneau, S.; Grellier, P.; Iskra, J. Synthesis and antimalarial activities of novel 3,3,6,6-tetraalkyl-1,2,4,5-tetraoxanes. Bioorg. Med. Chem. 2006, 14, 7790–7795. [Google Scholar] [CrossRef]
- Atheaya, H.; Khan, S.I.; Mamgain, R.; Rawat, D.S. Synthesis, thermal stability, antimalarial activity of symmetrically and asymmetrically substituted tetraoxanes. Bioorg. Med. Chem. Lett. 2008, 18, 1446–1449. [Google Scholar] [CrossRef]
- Kumar, N.; Khan, S.I.; Atheaya, H.; Mamgain, R.; Rawat, D.S. Synthesis and in vitro antimalarial activity of tetraoxane-amine/amide conjugates. Eur. J. Med. Chem. 2011, 46, 2816–2827. [Google Scholar] [CrossRef]
- Iskra, J.; Bonnet-Delpon, D.; Begue, J.P. One-pot synthesis of non-symmetric tetraoxanes with the H2O2/MTO/fluorous alcohol system. Tetrahedron Lett. 2003, 44, 6309–6312. [Google Scholar] [CrossRef]
- Ellis, G.L.; Amewu, R.; Sabbani, S.; Stocks, P.A.; Shone, A.; Stanford, D.; Gibbons, P.; Davies, J.; Vivas, L.; Charnaud, S.; et al. Two-step synthesis of achiral dispiro-1,2,4,5-tetraoxanes with outstanding antimalarial activity, low toxicity, and high-stability profiles. J. Med. Chem. 2008, 51, 2170–2177. [Google Scholar] [CrossRef]
- Liu, H.H.; Jin, H.X.; Zhang, Q.; Wu, Y.K.; Kim, H.S.; Wataya, Y. Synthesis and in vitro antimalarial activity of several simple analogues of peroxyplakoric acid. Chin. J. Chem. 2005, 23, 1469–1473. [Google Scholar] [CrossRef]
- Zhang, Q.; Wu, Y. Simplified analogues of qinghaosu (artemisinin). Tetrahedron 2007, 63, 10407–10414. [Google Scholar] [CrossRef]
- Singh, K.; Kumar, P.; Jagadeesh, C.; Patel, M.; Das, D.; Saha, J. An approach to alpha- and beta-amino peroxides via lewis acid catalyzed ring opening-peroxidation of donor-acceptor aziridines and n-activated aziridines. Adv. Synth. Catal. 2020, 362, 4130–4137. [Google Scholar] [CrossRef]
- Dussault, P.H.; Trullinger, T.K.; Noor-e-Ain, F. Opening of substituted oxetanes with H2O2 and alkyl hydroperoxides: Stereoselective approach to 3-peroxyalcohols and 1,2,4-trioxepanes. Org. Lett. 2002, 4, 4591–4593. [Google Scholar] [CrossRef] [PubMed]
- Pinet, A.; Cojean, S.; Nguyen, L.T.; Vasquez-Ocmin, P.; Maciuk, A.; Loiseau, P.M.; Le Pape, P.; Figadere, B.; Ferrie, L. Anti-protozoal and anti-fungal evaluation of 3,5-disubstituted 1,2-dioxolanes. Bioorg. Med. Chem. Lett. 2021, 47, 128196. [Google Scholar] [CrossRef]
- Pinet, A.; Figadere, B.; Ferrie, L. Access to functionalized 3,5-disubstituted 1,2-dioxolanes under mild conditions through indium(III) chloride/trimethylsilyl chloride or scandium(III) triflate catalysis. Adv. Synth. Catal. 2020, 362, 1190–1194. [Google Scholar] [CrossRef]
- Eske, A.; Ecker, S.; Fendinger, C.; Goldfuss, B.; Jonen, M.; Lefarth, J.; Neudorfl, J.M.; Spilles, M.; Griesbeck, A.G. Spirofused and annulated 1,2,4-trioxepane-, 1,2,4-trioxocane-, and 1,2,4-trioxonane-cyclohexadienones: Cyclic peroxides with unusual ring conformation dynamics. Angew. Chem. Int. Ed. 2018, 57, 13770–13774. [Google Scholar] [CrossRef] [PubMed]
- Bloodworth, A.J.; Griffin, I.M. Oxymetallation. Part VI. Halogenodemercuration of peroxymercurials derived from αβ-unsaturated esters and ketones. J. Chem. Soc. Perkin Trans. 1 1974, 688–695. [Google Scholar] [CrossRef]
- Bloodworth, A.J.; Courtneidge, J.L. Oxymetalation. Part 17. t-Butyl peroxymercuriation and subsequent demercuriation of phenylcyclopropane. J. Chem. Soc. Perkin Trans. 1 1982, 1807–1809. [Google Scholar] [CrossRef]
- Bloodworth, A.J.; Loveitt, M.E. Peroxymercuration of dienes-simple route to new cyclic peroxides. J. Chem. Soc. Chem. Commun. 1976, 94–95. [Google Scholar] [CrossRef]
- Adam, W.; Bloodworth, A.J.; Eggelte, H.J.; Loveitt, M.E. Regioselective synthesis of isomeric bicyclic peroxides. Angew. Chem. Int. Ed. 1978, 17, 209–210. [Google Scholar] [CrossRef]
- Bloodworth, A.J.; Loveitt, M.E. Oxymetalation. Part 11. Synthesis of cyclic secondary alkyl peroxides via peroxymercuration of alpha,omega-dienes. J. Chem. Soc. Perkin Trans. 1 1978, 522–530. [Google Scholar] [CrossRef]
- Nixon, J.R.; Cudd, M.A.; Porter, N.A. Cyclic peroxides by intra-molecular peroxymercuration of unsaturated hydroperoxides. J. Org. Chem. 1978, 43, 4048–4052. [Google Scholar] [CrossRef]
- Bloodworth, A.J.; Spencer, M.D. Oxymetalation. XXII. Hydroperoxymercuriation using 30% hydrogen peroxide. J. Organomet. Chem. 1990, 386, 299–304. [Google Scholar] [CrossRef]
- Bloodworth, A.J.; Cooksey, C.J.; Korkodilos, D. Synthesis of alkyl hydroperoxides by hydroperoxymercuriation and reduction. J. Chem. Soc. Chem. Commun. 1992, 926–927. [Google Scholar] [CrossRef]
- Bloodworth, A.J.; Korkodilos, D. Mercury(II)-mediated cyclization of hydroperoxyalkylcyclopropanes—A new route to cyclic peroxides. Tetrahedron Lett. 1991, 32, 6953–6956. [Google Scholar] [CrossRef]
- Bloodworth, A.J.; Bothwell, B.D.; Collins, A.N.; Maidwell, N.L. A short synthesis of naturally occurring and other analogues of plakinic acids that contain the 1,2-dioxolane group. Tetrahedron Lett. 1996, 37, 1885–1888. [Google Scholar] [CrossRef]
- Liu, Y.H.; Zhang, Z.H.; Li, T.S. Efficient conversion of epoxides into beta-hydroperoxy alcohols catalyzed by antimony trichloride/SiO2. Synthesis 2008, 20, 3314–3318. [Google Scholar] [CrossRef]
- Azarifar, D.; Khosravi, K.; Soleimanei, F. Mild and efficient strontium chloride hexahydrate-catalyzed conversion of ketones and aldehydes into corresponding gem-dihydroperoxides by aqueous H2O2. Molecules 2010, 15, 1433–1441. [Google Scholar] [CrossRef] [Green Version]
- Das, B.; Krishnaiah, M.; Veeranjaneyulu, B.; Ravikanth, B. A simple and efficient synthesis of gem-dihydroperoxides from ketones using aqueous hydrogen peroxide and catalytic ceric ammonium nitrate. Tetrahedron Lett. 2007, 48, 6286–6289. [Google Scholar] [CrossRef]
- Sashidhara, K.V.; Avula, S.R.; Singh, L.R.; Palnati, G.R. A facile and efficient Bi(III) catalyzed synthesis of 1,1-dihydroperoxides and 1,2,4,5-tetraoxanes. Tetrahedron Lett. 2012, 53, 4880–4884. [Google Scholar] [CrossRef]
- Wang, X.F.; Zhao, Q.J.; Vargas, M.; Dong, Y.X.; Sriraghavan, K.; Keiser, J.; Vennerstrom, J.L. The activity of dispiro peroxides against Fasciola hepatica. Bioorg. Med. Chem. Lett. 2011, 21, 5320–5323. [Google Scholar] [CrossRef] [PubMed] [Green Version]
- Miura, M.; Nojima, M. Formation of 3,6-dialkyl-1,2,4,5-tetraoxans and related cyclic bis-(peroxides) by the action of antimony pentachloride or chlorosulfonic acid on ozonides. J. Chem. Soc. Chem. Commun. 1979, 467–468. [Google Scholar] [CrossRef]
- Harris, J.R.; Waetzig, S.R.; Woerpel, K.A. Palladium(II)-catalyzed cyclization of unsaturated hydroperoxides for the synthesis of 1,2-dioxanes. Org. Lett. 2009, 11, 3290–3293. [Google Scholar] [CrossRef] [PubMed] [Green Version]
- Bell, E.R.; Vaughan, W.E. Preparation of Organic Hydroperoxides. US2630456A, 3 March 1953. [Google Scholar]
- Davies, A.G.; Foster, R.V.; White, A.M. 314. Organic peroxides. Part I. The preparation of alkyl hydroperoxides from hydrogen peroxide. J. Chem. Soc. 1953, 1541–1547. [Google Scholar] [CrossRef]
- Barthen, P.; Frank, W. The ‘super acid’ BF3.H2O stabilized by 1,4-dioxane: New preparative aspects and the crystal structure of BH3H2O.C4H8O2. Acta Crystallogr. Sect. E Crystallogr. Commun. 2019, 75, 1787–1791. [Google Scholar] [CrossRef] [PubMed] [Green Version]
- Zhang, S.T.; Zhang, X.H.; Ling, X.G.; He, C.; Huang, R.F.; Pan, J.; Li, J.Q.; Xiong, Y. Superacid BF3-H2O promoted benzylation of arenes with benzyl alcohols and acetates initiated by trace water. RSC Adv. 2014, 4, 30768–30774. [Google Scholar] [CrossRef]
- Prakash, G.K.S.; Paknia, F.; Mathew, T.; Mloston, G.; Joschek, J.P.; Olah, G.A. Fluoroanalogs of DDT: Superacidic BF3-H2O catalyzed facile synthesis of 1,1,1-trifluoro-2,2-diarylethanes and 1,1-difluoro-2,2-diarylethanes. Org. Lett. 2011, 13, 4128–4131. [Google Scholar] [CrossRef]
- Prakash, G.K.S.; Mathew, T.; Hoole, D.; Esteves, P.M.; Wang, Q.; Rasul, G.; Olah, G.A. N-Halosuccinimide/BF3-H2O, efficient electrophilic halogenating systems for aromatics. J. Am. Chem. Soc. 2004, 126, 15770–15776. [Google Scholar] [CrossRef]
- Prakash, G.K.S.; Panja, C.; Shakhmin, A.; Shah, E.; Mathew, T.; Olah, G.A. BF3-H2O catalyzed hydroxyalkylation of aromatics with aromatic aldehydes and dicarboxaldehydes: Efficient synthesis of triarylmethanes, diarylmethylbenzaldehydes, and anthracene derivatives. J. Org. Chem. 2009, 74, 8659–8668. [Google Scholar] [CrossRef]
- Tkach, V.S.; Suslov, D.S.; Myagmarsuren, G.; Gubaydulina, O.V.; Bykov, M.V.; Umanets, V.A. Highly effective catalysts for the addition polymerization of norbornene: Zerovalent-nickel complex/H2O/BF3.OEt2. Catal. Commun. 2009, 10, 1813–1815. [Google Scholar] [CrossRef]
- Gross, A. Production of Per-Fatty Acids. US2806045A, 10 September 1957. [Google Scholar]
- Ropp, W.S. Monoperoxyacetals. US2776319A, 1 January 1957. [Google Scholar]
- Bourgeois, M.J.; Montaudon, E.; Maillard, B. Novel synthesis of asymmetric alkyl peroxides using tertiary alcohols. Tetrahedron 1993, 49, 2477–2484. [Google Scholar] [CrossRef]
- Terent’ev, A.O.; Kutkin, A.V.; Platonov, M.M.; Ogibin, Y.N.; Nikishin, G.I. A new method for the synthesis of bishydroperoxides based on a reaction of ketals with hydrogen peroxide catalyzed by boron trifluoride complexes. Tetrahedron Lett. 2003, 44, 7359–7363. [Google Scholar] [CrossRef]
- Terent’ev, A.O.; Kutkin, A.V.; Platonov, M.M.; Vorontsov, I.I.; Antipin, M.Y.; Ogibin, Y.N.; Nikishin, G.I. Synthesis of peroxide compounds by the BF3-catalyzed reaction of acetals and enol ethers with H2O2. Russ. Chem. Bull. 2004, 53, 681–687. [Google Scholar] [CrossRef]
- Terent’ev, A.O.; Kutkin, A.V.; Troizky, N.A.; Ogibin, Y.N.; Nikishin, G.I. Synthesis of geminal bisperoxides by acid-catalyzed reaction of acetals and enol ethers with tert-butyl hydroperoxide. Synthesis 2005, 13, 2215–2219. [Google Scholar] [CrossRef]
- Zhang, Q.; Jin, H.X.; Liu, H.H.; Wu, Y.K. Synthesis of a nitro analogue of plakoric acid. Chin. J. Chem. 2006, 24, 1190–1195. [Google Scholar] [CrossRef]
- Zhang, Q.; Li, Y.; Wu, Y.K. Synthesis of a 1,2,7,8-tetraoxa-spiro [5.5]undecane. Chin. J. Chem. 2007, 25, 1304–1308. [Google Scholar] [CrossRef]
- Bartoschek, A.; El-Idreesy, T.; Griesbeck, A.G.; Hoinck, L.O.; Lex, J.; Miara, C.; Neudorfl, J.M. A family of new 1,2,4-trioxanes by photooxygenation of allylic alcohols in sensitizer-doped polymers and secondary reactions. Synthesis 2005, 14, 2433–2444. [Google Scholar] [CrossRef]
- Griesbeck, A.G.; El-Idreesy, T.T.; Hoinck, L.O.; Lex, J.; Brun, R. Novel spiroanellated 1,2,4-trioxanes with high in vitro antimalarial activities. Bioorg. Med. Chem. Lett. 2005, 15, 595–597. [Google Scholar] [CrossRef]
- Griesbeck, A.G.; Hoinck, L.O.; Lex, J.; Neudorfl, J.; Blunk, D.; El-Idreesy, T.T. 1,2,5,10,11,14-hexaoxadispiro [5.2.5.2]hexadecanes: Novel spirofused bis-trioxane peroxides. Molecules 2008, 13, 1743–1758. [Google Scholar] [CrossRef]
- Griesbeck, A.G.; El-Idreesy, T.T.; Lex, J. Singlet oxygen addition to chiral allylic alcohols and subsequent peroxyacetalization with beta-naphthaldehyde: Synthesis of diastereomerically pure 3-beta-naphthyl-substituted 1,2,4-trioxanes. Tetrahedron 2006, 62, 10615–10622. [Google Scholar] [CrossRef]
- Yoshida, M.; Miura, M.; Nojima, M.; Kusabayashi, S. Synthesis and decomposition of E- and Z-3,3,5-trisubstituted 1,2-dioxolanes. J. Am. Chem. Soc. 1983, 105, 6279–6285. [Google Scholar] [CrossRef]
- Terent’ev, A.O.; Kutkin, A.V.; Starikova, Z.A.; Antipin, M.Y.; Ogibin, Y.N.; Nikishina, G.I. New preparation of 1,2,4,5-tetraoxanes. Synthesis 2004, 2004, 2356–2366. [Google Scholar] [CrossRef]
- Hamann, H.J.; Hecht, M.; Bunge, A.; Gogol, M.; Liebscher, J. Synthesis and antimalarial activity of new 1,2,4,5-tetroxanes and novel alkoxy-substituted 1,2,4,5-tetroxanes derived from primary gem-dihydroperoxides. Tetrahedron Lett. 2011, 52, 107–111. [Google Scholar] [CrossRef]
- Niesen, A.; Barthel, A.; Kluge, R.; Kowitzsch, A.; Strohl, D.; Schwarz, S.; Csuk, R. Antitumoractive endoperoxides from triterpenes. Pharm. Med. Chem. 2009, 342, 569–576. [Google Scholar] [CrossRef]
- Terent’ev, A.O.; Platonov, M.M.; Sonneveld, E.J.; Peschar, R.; Chernyshev, V.V.; Starikova, Z.A.; Nikishin, G.I. New preparation of 1,2,4,5,7,8-hexaoxonanes. J. Org. Chem. 2007, 72, 7237–7243. [Google Scholar] [CrossRef]
- Griesbeck, A.G.; Blunk, D.; El-Idreesy, T.T.; Raabe, A. Bicyclic peroxides and perorthoesters with 1,2,4-trioxane structures. Angew. Chem. Int. Ed. 2007, 46, 8883–8886. [Google Scholar] [CrossRef]
- Yaremenko, I.A.; Gomes, G.D.; Radulov, P.S.; Belyakova, Y.Y.; Vilikotskiy, A.E.; Vil’, V.A.; Korlyukov, A.A.; Nikishin, G.I.; Alabugin, I.V.; Terent’ev, A.O. Ozone-Free Synthesis of Ozonides: Assembling Bicyclic Structures from 1,5-Diketones and Hydrogen Peroxide. J. Org. Chem. 2018, 83, 4402–4426. [Google Scholar] [CrossRef]
- Coghi, P.; Yaremenko, I.A.; Prommana, P.; Radulov, P.S.; Syroeshkin, M.A.; Wu, Y.J.; Gao, J.Y.; Gordillo, F.M.; Mok, S.; Wong, V.K.W.; et al. Novel Peroxides as Promising Anticancer Agents with Unexpected Depressed Antimalarial Activity. ChemMedChem 2018, 13, 902–908. [Google Scholar] [CrossRef]
- Yaremenko, I.A.; Coghi, P.; Prommana, P.; Qiu, C.L.; Radulov, P.S.; Qu, Y.Q.; Belyakova, Y.Y.; Zanforlin, E.; Kokorekin, V.A.; Wu, Y.Y.J.; et al. Synthetic peroxides promote apoptosis of cancer cells by inhibiting p-glycoprotein ABCB5. ChemMedChem 2020, 15, 1118–1127. [Google Scholar] [CrossRef]
- Vil, V.A.; Gomes, G.D.; Ekimova, M.V.; Lyssenko, K.A.; Syroeshkin, M.A.; Nikishin, G.I.; Alabugin, I.V.; Terent’ev, A.O. Five roads that converge at the cyclic peroxy-criegee intermediates: BF3-catalyzed synthesis of beta-hydroperoxy-beta-peroxylactones. J. Org. Chem. 2018, 83, 13427–13445. [Google Scholar] [CrossRef]
- Vil, V.A.; Barsegyan, Y.A.; Barsukov, D.V.; Korlyukov, A.A.; Alabugin, I.V.; Terent’ev, A.O. Peroxycarbenium Ions as the “Gatekeepers” in Reaction Design: Assistance from Inverse Alpha-Effect in Three-Component beta-Alkoxy-beta-peroxylactones Synthesis. Chem. A Eur. J. 2019, 25, 14460–14468. [Google Scholar] [CrossRef] [PubMed]
- Vil, V.A.; Barsegyan, Y.A.; Kuhn, L.; Ekimova, M.V.; Semenov, E.A.; Korlyukov, A.A.; Terent’ev, A.O.; Alabugin, I.V. Synthesis of unstrained Criegee intermediates: Inverse alpha-effect and other protective stereoelectronic forces can stop Baeyer-Villiger rearrangement of gamma-hydroperoxy-gamma-peroxylactones. Chem. Sci. 2020, 11, 5313–5322. [Google Scholar] [CrossRef] [PubMed]
- Feng, Y.; Holte, D.; Zoller, J.; Umemiya, S.; Simke, L.R.; Baran, P.S. Total Synthesis of Verruculogen and Fumitremorgin A Enabled by Ligand-Controlled C-H Borylation. J. Am. Chem. Soc. 2015, 137, 10160–10163. [Google Scholar] [CrossRef] [PubMed] [Green Version]
- Bulfield, D.; Huber, S.M. Halogen bonding in organic synthesis and organocatalysis. Chem. A Eur. J. 2016, 22, 14434–14450. [Google Scholar] [CrossRef]
- Cavallo, G.; Metrangolo, P.; Milani, R.; Pilati, T.; Priimagi, A.; Resnati, G.; Terraneo, G. The halogen bond. Chem. Rev. 2016, 116, 2478–2601. [Google Scholar] [CrossRef] [Green Version]
- Mikherdov, A.S.; Novikov, A.S.; Boyarskiy, V.P.; Kukushkin, V.Y. The halogen bond with isocyano carbon reduces isocyanide odor. Nat. Commun. 2020, 11, 2921. [Google Scholar] [CrossRef]
- Guha, S.; Kazi, I.; Mukherjee, P.; Sekar, G. Halogen-bonded iodonium ion catalysis: A route to alpha-hydroxy ketones via domino oxidations of secondary alcohols and aliphatic C-H bonds with high selectivity and control. Chem. Commun. 2017, 53, 10942–10945. [Google Scholar] [CrossRef]
- Jungbauer, S.H.; Walter, S.M.; Schindler, S.; Rout, L.; Kniep, F.; Huber, S.M. Activation of a carbonyl compound by halogen bonding. Chem. Commun. 2014, 50, 6281–6284. [Google Scholar] [CrossRef]
- Liu, X.L.; Ma, S.; Toy, P.H. Halogen bond-catalyzed friedel-crafts reactions of aldehydes and ketones using a bidentate halogen bond donor catalyst: Synthesis of symmetrical bis(indolyl)methanes. Org. Lett. 2019, 21, 9212–9216. [Google Scholar] [CrossRef]
- Breugst, M.; von der Heiden, D. Mechanisms in iodine catalysis. Chem. A Eur. J. 2018, 24, 9187–9199. [Google Scholar] [CrossRef] [PubMed]
- Terent’ev, A.O.; Krylov, I.B.; Borisov, D.A.; Nikishin, G.I. A new approach to the synthesis of vicinal iodoperoxyalkanes by the reaction of alkenes with iodine and hydroperoxides. Synthesis 2007, 2007, 2979–2986. [Google Scholar] [CrossRef]
- Dussault, P.H.; Davies, D.R. Synthesis of 1,2-dioxanes, 1,2,4-trioxanes, and 1,2,4-trioxepanes via cyclizations of unsaturated hydroperoxyacetals. Tetrahedron Lett. 1996, 37, 463–466. [Google Scholar] [CrossRef]
- Tropina, V.I.; Krivykh, O.V.; Sadchikova, N.P.; Terent’ev, A.O.; Krylov, I.B. Synthesis and antimicrobial activity of geminal bis-hydroperoxides. Pharm. Chem. J. 2010, 44, 248–250. [Google Scholar] [CrossRef]
- Terent’ev, A.O.; Borisov, A.M.; Platonov, M.M.; Starikova, Z.A.; Chernyshev, V.V.; Nikishin, G.I. Reaction of enol ethers with the I2-H2O2 system: Synthesis of 2-iodo-1-methoxy hydroperoxides and their deperoxidation and demethoxylation to 2-iodo ketones. Synthesis 2009, 24, 4159–4166. [Google Scholar] [CrossRef]
- Terent’ev, A.O.; Zdvizhkov, A.T.; Kulakova, A.N.; Novikov, R.A.; Arzumanyan, A.V.; Nikishin, G.I. Reactions of mono- and bicyclic enol ethers with the I2-hydroperoxide system. RSC Adv. 2014, 4, 7579–7587. [Google Scholar] [CrossRef]
- Terent’ev, A.O.; Platonov, M.M.; Krylov, I.B.; Chernyshev, V.V.; Nikishin, G.I. Synthesis of 1-hydroperoxy-1’-alkoxyperoxides by the iodine-catalyzed reactions of geminal bishydroperoxides with acetals or enol ethers. Org. Biomol. Chem. 2008, 6, 4435–4441. [Google Scholar] [CrossRef]
- Zdvizhkov, A.T.; Terent’ev, A.O.; Radulov, P.S.; Novikov, R.A.; Tafeenko, V.A.; Chernyshev, V.V.; Ilovaisky, A.I.; Levitsky, D.O.; Fleury, F.; Nikishin, G.I. Transformation of 2-allyl-1,3-diketones to bicyclic compounds containing 1,2-dioxolane and tetrahydrofuran rings using the I-2/H2O2 system. Tetrahedron Lett. 2016, 57, 949–952. [Google Scholar] [CrossRef]
- Terent’ev, A.O.; Platonov, M.M.; Krylov, I.B.; Nikishin, G.I. Synthesis of 1,2,4,5,7,8-hexaoxonanes by iodine-catalyzed reactions of bis(1-hydroperoxycycloalkyl) peroxides with ketals. Russ. Chem. Bull. 2009, 58, 335–338. [Google Scholar] [CrossRef]
- Jefford, C.W.; Jaber, A.; Boukouvalas, J. Efficient preparation of 1,2,4,5-tetroxanes from bis(trimethylsilyl) peroxide and carbonyl-compounds. Synthesis 1988, 5, 391–393. [Google Scholar] [CrossRef]
- McCullough, K.J.; Nonami, Y.; Masuyama, A.; Nojima, M.; Kim, H.S.; Wataya, Y. Synthesis, crystal structure and antimalarial activity of novel 1,2,5,6-tetraoxacycloalkanes from 2,3-dihydroperoxy-2-phenylnorbornane. Tetrahedron Lett. 1999, 40, 9151–9155. [Google Scholar] [CrossRef]
- Opsenica, D.; Pocsfalvi, G.; Juranic, Z.; Tinant, B.; Declercq, J.P.; Kyle, D.E.; Milhous, W.K.; Solaja, B.A. Cholic acid derivatives as 1,2,4,5-tetraoxane carriers: Structure and antimalarial and antiproliferative activity. J. Med. Chem. 2000, 43, 3274–3282. [Google Scholar] [CrossRef] [PubMed]
- Kim, H.S.; Begum, E.; Ogura, N.; Wataya, Y.; Nonami, Y.; Ito, T.; Masuyama, A.; Nojima, M.; McCullough, K.J. Antimalarial activity of novel 1,2,5,6-tetraoxacycloalkanes and 1,2,5-trioxacycloalkanes. J. Med. Chem. 2003, 46, 1957–1961. [Google Scholar] [CrossRef] [PubMed]
- Jefford, C.W.; Rossier, J.C.; Richardson, G.D. The reaction of trimethylsilyl alpha-trimethylsilylperoxy esters with ketones and aldehydes—A simple, efficient synthesis of 1,2,4-trioxan-5-one. J. Chem. Soc. Chem. Commun. 1983, 1064–1065. [Google Scholar] [CrossRef]
- Jefford, C.W.; Currie, J.; Richardson, G.D.; Rossier, J.C. The synthesis of 1,2,4-trioxan-5-ones. Helv. Chim. Acta 1991, 74, 1239–1246. [Google Scholar] [CrossRef]
- Jefford, C.W.; Boukouvalas, J.; Kohmoto, S. Reactions of cyclic peroxides with aldehydes and ketones catalyzed by trimethylsilyl trifluoromethanesulfonate—An efficient synthesis of 1,2,4-trioxanes. J. Chem. Soc. Chem. Commun. 1984, 523–524. [Google Scholar] [CrossRef]
- Jefford, C.W.; Kohmoto, S.; Jaggi, D.; Timari, G.; Rossier, J.C.; Rudaz, M.; Barbuzzi, O.; Gerard, D.; Burger, U.; Kamalaprija, P.; et al. Synthesis, structure, and antimalarial activity of some enantiomerically pure, cis-fused cyclopenteno-1,2,4-trioxanes. Helv. Chim. Acta 1995, 78, 647–662. [Google Scholar] [CrossRef]
- Dechy-Cabaret, O.; Robert, A.; Meunier, B. Synthesis and stereochemical study of a trioxaquine prepared from cis-bicyclo [3.3.0]octane-3,7-dione. Comptes Rendus Chim. 2002, 5, 297–302. [Google Scholar] [CrossRef]
- Dechy-Cabaret, O.; Benoit-Vical, F.; Loup, C.; Robert, A.; Gornitzka, H.; Bonhoure, A.; Vial, H.; Magnaval, J.F.; Seguela, J.P.; Meunier, B. Synthesis and antimalarial activity of trioxaquine derivatives. Chem. A Eur. J. 2004, 10, 1625–1636. [Google Scholar] [CrossRef]
- Ushigoe, Y.; Masuyama, A.; Nojima, M.; McCullough, K.J. New methods for the synthesis of oxy-functionalized 1,2,4-trioxanes and 1,2,4-trioxepanes from unsaturated hydroperoxy acetals. Tetrahedron Lett. 1997, 38, 8753–8756. [Google Scholar] [CrossRef]
- Jefford, C.W.; Jin, S.J.; Kamalaprija, P.; Burger, U.; Bernardinelli, G. Synthesis of 1,2-dioxanes from an endoperoxide. Tetrahedron Lett. 1992, 33, 7129–7132. [Google Scholar] [CrossRef]
- O’Neill, P.M.; Rawe, S.L.; Storr, R.C.; Ward, S.A.; Posner, G.H. Lewis acid catalysed rearrangements of unsaturated bicyclic [2.2.n] endoperoxides in the presence of vinyl silanes; access to novel Fenozan BO-7 analogues. Tetrahedron Lett. 2005, 46, 3029–3032. [Google Scholar] [CrossRef]
- Tokuyasu, T.; Ito, T.; Masuyama, A.; Nojima, M. Synthesis of 3-hydroperoxy (or hydroxy)substituted 1,2-dioxanes and 1,2-dioxepanes by the ozonolysis of unsaturated hydroperoxy acetals. Heterocycles 2000, 53, 1293–1304. [Google Scholar] [CrossRef]
- Posner, G.H.; Oh, C.H.; Milhous, W.K. Olefin oxidative cleavage and dioxetane formation using triethylsilyl hydrotrioxide—Applications to preparation of potent antimalarial 1,2,4-trioxanes. Tetrahedron Lett. 1991, 32, 4235–4238. [Google Scholar] [CrossRef]
- Posner, G.H.; Oh, C.H.; Gerena, L.; Milhous, W.K. Extraordinarily potent antimalarial compounds—New, structurally simple, easily synthesized, tricyclic 1,2,4-trioxanes. J. Med. Chem. 1992, 35, 2459–2467. [Google Scholar] [CrossRef] [PubMed]
- Posner, G.H.; Oh, C.H.; Gerena, L.; Milhous, W.K. Synthesis and antimalarial activities of structurally simplified 1,2,4-trioxanes related to Artemisinin. Heteroat. Chem. 1995, 6, 105–116. [Google Scholar] [CrossRef]
- Cointeaux, L.; Berrien, J.F.; Mahuteau, J.; Huu-Dau, M.E.T.; Ciceron, L.; Danis, M.; Mayrargue, J. A short synthesis of antimalarial peroxides. Bioorg. Med. Chem. 2003, 11, 3791–3794. [Google Scholar] [CrossRef]
- Terent’ev, A.O.; Yaremenko, I.A.; Vil, V.A.; Moiseev, I.K.; Kon’kov, S.A.; Dembitsky, V.M.; Levitsky, D.O.; Nikishin, G.I. Phosphomolybdic and phosphotungstic acids as efficient catalysts for the synthesis of bridged 1,2,4,5-tetraoxanes from β-diketones and hydrogen peroxide. Org. Biomol. Chem. 2013, 11, 2613–2623. [Google Scholar] [CrossRef]
- Yaremenko, I.A.; Terent’ev, A.O.; Vil, V.A.; Novikov, R.A.; Chernyshev, V.V.; Tafeenko, V.A.; Levitsky, D.O.; Fleury, F.; Nikishin, G.I. Approach for the preparation of various classes of peroxides based on the reaction of triketones with H2O2: First examples of ozonide rearrangements. Chem. A Eur. J. 2014, 20, 10160–10169. [Google Scholar] [CrossRef]
- Khosravi, K.; Zendehdel, M.; Naserifar, S.; Tavakoli, F.; Khalaji, K.; Asgari, A. Heteropoly acid/NaY zeolite as a reusable solid catalyst for highly efficient synthesis of gem-dihydroperoxides and 1,2,4,5-tetraoxanes. J. Chem. Res. 2016, 40, 744–749. [Google Scholar] [CrossRef]
- Tarlani, A.; Riahi, A.; Abedini, M.; Amini, M.M.; Muzart, J. Catalytic condensation process for the preparation of organic peroxides from tert-butyl hydroperoxide and benzylic alcohols. Appl. Catal. A Gen. 2006, 315, 150–152. [Google Scholar] [CrossRef]
- Li, Y.; Hao, H.-D.; Zhang, Q.; Wu, Y. A broadly applicable mild method for the synthesis of gem-diperoxides from corresponding ketones or 1,3-dioxolanes. Org. Lett. 2009, 11, 1615–1618. [Google Scholar] [CrossRef] [PubMed]
- Han, W.B.; Wu, Y.K. Facile perhydrolysis of oxetanes catalyzed by molybdenum species. Org. Lett. 2014, 16, 5706–5709. [Google Scholar] [CrossRef] [PubMed]
- Zdvizhkov, A.T.; Radulov, P.S.; Novikov, R.A.; Tafeenko, V.A.; Chernyshev, V.V.; Ilovaisky, A.I.; Terent’ev, A.O.; Nikishin, G.I. Convenient synthesis of furo [2,3-c][1,2]dioxoles from 1-aryl-2-allylalkane-1,3-diones. Mendeleev Commun. 2020, 30, 607–609. [Google Scholar] [CrossRef]
- Terent’ev, A.O.; Yaremenko, I.A.; Glinushkin, A.P.; Nikishin, G.I. Synthesis of peroxides from beta,delta-triketones under heterogeneous conditions. Russ. J. Org. Chem. 2015, 51, 1681–1687. [Google Scholar] [CrossRef]
- Yaremenko, I.A.; Syroeshkin, M.A.; Levitsky, D.O.; Fleury, F.; Terent’ev, A.O. Cyclic peroxides as promising anticancer agents: In vitro cytotoxicity study of synthetic ozonides and tetraoxanes on human prostate cancer cell lines. Med. Chem. Res. 2017, 26, 170–179. [Google Scholar] [CrossRef]
Publisher’s Note: MDPI stays neutral with regard to jurisdictional claims in published maps and institutional affiliations. |
© 2022 by the authors. Licensee MDPI, Basel, Switzerland. This article is an open access article distributed under the terms and conditions of the Creative Commons Attribution (CC BY) license (https://creativecommons.org/licenses/by/4.0/).































































































































