Pharmacology and Phytochemistry of Ecuadorian Medicinal Plants: An Update and Perspectives
Abstract
1. Introduction
2. Literature Search Strategies and Sources
3. Phytochemical and Biological Activity Data
4. Conclusions and Perspectives
Author Contributions
Funding
Institutional Review Board Statement
Informed Consent Statement
Data Availability Statement
Acknowledgments
Conflicts of Interest
References
- Ramírez, J.; Suarez, A.I.; Bec, N.; Armijos, C.; Gilardoni, G.; Larroque, C.; Vidari, G. Carnosol from Lepechinia mutica and tiliroside from Vallea stipularis: Two promising inhibitors of BuChE. Rev. Bras. Farm. 2018, 28, 559–563. [Google Scholar] [CrossRef]
- Ordóñez, P.E.; Quave, C.L.; Reynolds, W.F.; Varughese, K.I.; Berry, B.; Breen, P.J.; Malagón, O.; Vidari, G.; Smeltzer, M.S.; Compadre, C.M. Corrigendum to Sesquiterpene lactones from Gynoxys verrucosa and their anti-MRSA activity. J. Ethnopharmacol. 2016, 186, 392. [Google Scholar] [CrossRef] [PubMed]
- Malagón, O.; Ramírez, J.; Andrade, J.M.; Morocho, V.; Armijos, C.; Gilardoni, G. Phytochemistry and ethnopharmacology of the ecuadorian flora. A review. Nat. Prod. Commun. 2016, 11, 297–314. [Google Scholar] [CrossRef] [PubMed]
- Armijos, C.; Gilardoni, G.; Amay, L.; Lozano, A.; Bracco, F.; Ramírez, J.; Bec, N.; Larroque, C.; Finzi, P.V.; Vidari, G. Phytochemical and ethnomedicinal study of Huperzia species used in the traditional medicine of Saraguros in Southern Ecuador; AChE and MAO inhibitory activity. J. Ethnopharmacol. 2016, 193, 546–554. [Google Scholar] [CrossRef]
- WHO. Traditional medicine. In Proceedings of the Fifty-Sixth World Health Assembly, Geneva, Switzerland, 31 March 2003. [Google Scholar]
- Compadre, C.M.; Ordonez, P.E.; Guzman, M.L.; Jones, D.E.; Malagon, O.; Vidari, G.; Crooks, P. Dehydroleucodine Derivatives and Uses Thereof. U.S. Patent Application No. 16/283, 20 June 2019. [Google Scholar]
- Armijos, C.; Valarezo, E.; Cartuche, L.; Zaragoza, T.; Finzi, P.V.; Mellerio, G.G.; Vidari, G. Chemical composition and antimicrobial activity of Myrcianthes fragrans essential oil, a natural aromatizer of the traditional Ecuadorian beverage colada morada. J. Ethnopharmacol. 2018, 225, 319–326. [Google Scholar] [CrossRef] [PubMed]
- Bailon-Moscoso, N.; Tinitana, F.; Martínez-Espinosa, R.; Jaramillo-Velez, A.; Palacio-Arpi, A.; Aguilar-Hernandez, J.; Romero-Benavides, J.C. Cytotoxic, antioxidative, genotoxic and antigenotoxic effects of horchata, beverage of South Ecuador. BMC Complement. Altern. Med. 2017, 17, 539. [Google Scholar] [CrossRef] [PubMed]
- Guevara, M.; Tejera, E.; Iturralde, G.A.; Jaramillo-Vivanco, T.; Granda-Albuja, M.G.; Granja-Albuja, S.; Santos-Buelga, C.; González-Paramás, A.M.; Álvarez-Suarez, J.M. Anti-inflammatory effect of the medicinal herbal mixture infusion, horchata, from southern Ecuador against LPS-induced cytotoxic damage in RAW 264.7 macrophages. Food Chem. Toxicol. 2019, 131, 110594. [Google Scholar] [CrossRef] [PubMed]
- Armijos, C.; Matailo, A.; Bec, N.; Salinas, M.; Aguilar, G.; Solano, N.; Calva, J.; Ludeña, C.; Larroque, C.; Vidari, G. Chemical composition and selective BuChE inhibitory activity of the essential oils from aromatic plants used to prepare the traditional Ecuadorian beverage horchata lojana. J. Ethnopharmacol. 2020, 263, 113162. [Google Scholar] [CrossRef]
- Valarezo, E.; Rivera, J.; Coronel, E.; Barzallo, M.; Calva, J.; Cartuche, L.; Meneses, M. Study of volatile secondary metabolites present in Piper carpunya leaves and in the traditional ecuadorian beverage Guaviduca. Plants 2021, 10, 338. [Google Scholar] [CrossRef] [PubMed]
- García-Ruiz, A.; Baenas, N.; González, A.M.B.; Stinco, C.M.; Melendez-Martinez, A.J.; Moreno, D.A.; Ruales, J. Guayusa (Ilex guayusa L.) new tea: Phenolic and carotenoid composition and antioxidant capacity. J. Sci. Food Agric. 2017, 97, 3929–3936. [Google Scholar] [CrossRef]
- Radice, M.; Cossio, N.; Scalvenzi, L. Ilex guayusa: A systematic review of its traditional uses, chemical constituents, biological activities and biotrade opportunities. In Proceedings of the MOL2NET 2016, International Conference on Multidisciplinary Sciences, Basel, Switzerland, 15 January–15 December 2016, 2nd ed.; MDPI SciForum: Basel, Switzerland, 2017; pp. 1–7. [Google Scholar]
- Rey-Valeirón, C.; Pérez, K.; Guzmán, L.; López-Vargas, J.; Valarezo, E. Acaricidal effect of Schinus molle (Anacardiaceae) essential oil on unengorged larvae and engorged adult females of Rhipicephalus sanguineus (Acari: Ixodidae). Exp. Appl. Acarol. 2018, 76, 399–411. [Google Scholar] [CrossRef]
- Bailon-Moscoso, N.; Benavides, J.C.R.; Orellana, M.I.R.; Ojeda, K.; Granda, G.; Ratoviski, E.A.; Ostrosky-Wegman, P. Cytotoxic and genotoxic effects of extracts from Annona montana M. fruit. Food Agric. Immunol. 2016, 27, 559–569. [Google Scholar] [CrossRef]
- Vinueza, D.; Portero, S.; Pilco, G.; García, M.; Acosta, K.; Abdo, S. In vitro anti-inflammatory and cytotoxicity of Crinum x amabile grown in Ecuador. Asian J. Pharm. Clin. Res. 2018, 11, 99–103. [Google Scholar]
- Moreno, R.; Tallini, L.R.; Salazar, C.; Osorio, E.H.; Montero, E.; Bastida, J.; Oleas, N.H.; León, K.A. Chemical profiling and cholinesterase inhibitory activity of five Phaedranassa herb. (Amaryllidaceae) species from Ecuador. Molecules 2020, 25, 2092. [Google Scholar] [CrossRef] [PubMed]
- Acosta-León, K.; Inca, K.; Tallini, L.R.; Osorio, E.H.; Robles, J.; Bastidas, J.; Oleas, N. Alkaloids of Phaedranassa dubia (Kunth) J.K. Macbr and Phaedranassa brevifolia Meerow (Amaryllidaceae) from Ecuador and its cholinesterase inhibitory activity. S. Afr. J. Bot. 2021, 136, 91–99. [Google Scholar] [CrossRef]
- Jaramillo-Fierro, X.; Riascos, S.O. In vitro hypoglycemic and antioxidant activities of some medicinal plants used in treatment of diabetes in Southern Ecuador. Axioma 2018, 1, 23–36. [Google Scholar] [CrossRef]
- Armijos, C.P.; Meneses, M.A.; Guamán-Balcázar, M.C.; Cuenca, M.; Suárez, A.I. Antioxidant properties of medicinal plants used in the Southern Ecuador. J. Pharmacogn. Phytochem. 2018, 7, 2803–2812. [Google Scholar]
- Navas-Flores, V.; Chiriboga-Pazmiño, X.; Miño-Cisneros, P.; Luzuriaga- Quichimbo, C. Phytochemistry and toxicologic study of native plants of the Ecuadorian rain forest. CU 2021, 14, 26–36. [Google Scholar] [CrossRef]
- Gan, R.-Y.; Zhang, D.; Wang, M.; Corke, H. Health benefits of bioactive compounds from the genus ilex, a source of traditional caffeinated beverages. Nutrients 2018, 10, 1682. [Google Scholar] [CrossRef]
- Dueñas, J.F.; Jarrett, C.; Cummins, I.; Logan–Hines, E. Amazonian guayusa (Ilex guayusa Loes.): A historical and ethnobotanical overview. Econ. Bot. 2016, 70, 85–91. [Google Scholar] [CrossRef]
- Arteaga-Crespo, Y.; Radice, M.; Bravo-Sanchez, L.R.; García-Quintana, Y.; Scalvenzi, L. Optimisation of ultrasound-assisted extraction of phenolic antioxidants from Ilex guayusa Loes. leaves using response surface methodology. Heliyon 2020, 6, e03043. [Google Scholar] [CrossRef]
- Villacís-Chiriboga, J.; García-Ruiz, A.; Baenas, N.; Moreno, D.A.; Melendez-Martinez, A.J.; Stinco, C.M.; Jerves-Andrade, L.; León-Tamariz, F.; Ortiz-Ulloa, J.; Ruales, J. Changes in phytochemical composition, bioactivity andin vitrodigestibility of guayusa leaves (Ilex guayusa Loes.) in different ripening stages. J. Sci. Food Agric. 2018, 98, 1927–1934. [Google Scholar] [CrossRef]
- Contero, F.; Abdo, S.; Vinueza, D.; Moreno, J.; Tuquinga, M.; Paca, N. Estrogenic activity of ethanolic extracts from leaves of Ilex guayusa Loes. and Medicago sativa in Rattus norvegicus. PhOL 2015, 2, 95–99. [Google Scholar]
- Noriega, P.; Vergara, B.; Carillo, C.; Mosquera, T. Chemical constituents and antifungal activity of leaf essential oil from Oreopanax ecuadorensis seem. (Pumamaki), endemic plant of Ecuador. Pharmacogn. J. 2019, 11, 1544–1548. [Google Scholar] [CrossRef]
- Cerda, H.; Carpio, C.; Ledezma-Carrizalez, A.C.; Sánchez, J.; Ramos, L.; Shugulí, C.M.; Andino, M.; Chiurato, M. Effects of aqueous extracts from amazon plants on Plutella xylostella (Lepidoptera: Plutellidae) and Brevicoryne brassicae (Homoptera: Aphididae) in laboratory, semifield, and field trials. J. Insect Sci. 2019, 19, 8. [Google Scholar] [CrossRef] [PubMed]
- Abreu-Naranjo, R.; Paredes-Moreta, J.G.; Granda-Albuja, G.; Iturralde, G.; González-Paramás, A.M.; Alvarez-Suarez, J.M. Bioactive compounds, phenolic profile, antioxidant capacity and effectiveness against lipid peroxidation of cell membranes of Mauritia flexuosa L. fruit extracts from three biomes in the Ecuadorian Amazon. Heliyon 2020, 6, 05211. [Google Scholar] [CrossRef] [PubMed]
- Valarezo, E.; Aguilera-Sarmiento, R.; Meneses, M.A.; Morocho, V. Study of essential oils from leaves of asteraceae family species Ageratina dendroides and Gynoxys verrucosa. J. Essent. Oil Bear. Plants 2021, 24, 400–407. [Google Scholar] [CrossRef]
- Romero-Benavides, J.C.; Ortega-Torres, G.C.; Villacis, J.; Vivanco-Jaramillo, S.L.; Galarza-Urgilés, K.I.; Bailon-Moscoso, N. Phytochemical study and evaluation of the cytotoxic properties of methanolic extract from Baccharis obtusifolia. Int. J. Med. Chem. 2018, 2018, 8908435. [Google Scholar] [CrossRef] [PubMed]
- Valarezo, E.; Arias, A.; Cartuche, L.; Meneses, M.; Ojeda-Riascos, S.; Morocho, V. Biological activity and chemical composition of the essential oil from Chromolaena laevigata (Lam.) R.M. King & H. Rob. (Asteraceae) from Loja, Ecuador. J. Essent. Oil Bear. Plants 2016, 19, 384–390. [Google Scholar] [CrossRef]
- Bonilla, D.A.G.; Granda-Albuja, M.G.; Guevara, M.; Iturralde, G.A.; Jaramillo-Vivanco, T.; Giampieri, F.; Alvarez-Suarez, J.M. Bioactive compounds and antioxidant capacity of Chuquiraga jussieui J.F.Gmel from the highlands of Ecuador. Nat. Prod. Res. 2020, 34, 2652–2655. [Google Scholar] [CrossRef]
- Viteri-Espinoza, R.; Peñarreta, J.; Quijano-Avilés, M.; Barragán-Lucas, A.; Chóez-Guaranda, I.; Manzano-Santana, P. Antioxidant activity and GC-MS profile of Conyza bonariensis L. leaves extract and fractions. Rev. Fac. Nac. Agron. Medellín 2020, 73, 9305–9313. [Google Scholar] [CrossRef]
- Espinosa, S.; Bec, N.; Larroque, C.; Ramírez, J.; Sgorbini, B.; Bicchi, C.; Gilardoni, G. Chemical, enantioselective, and sensory analysis of a cholinesterase inhibitor essential oil from Coreopsis triloba S.F. Blake (Asteraceae). Plants 2019, 8, 448. [Google Scholar] [CrossRef] [PubMed]
- Valarezo, E.; Guamán, M.D.C.; Paguay, M.; Meneses, M.A. Chemical composition and biological activity of the essential oil from Gnaphalium elegans Kunth from Loja, Ecuador. J. Essent. Oil Bear. Plants 2019, 22, 1372–1378. [Google Scholar] [CrossRef]
- Araujo-Baptista, L.; Vimos-Sisa, K.; Cruz-Tenempaguay, R.; Falconí-Ontaneida, F.; Rojas-Fermín, L.; González-Romero, A.C. Chemical components and antimicrobial activity of the essential oil of Lasiocephalus ovatus (Asteraceae) that grows in Ecuador. Acta Biol. Colomb. 2020, 25, 22–28. [Google Scholar] [CrossRef]
- Zapata-Maldonado, C.I.; Serrato-Cruz, M.A.; Ibarra, E.; Naranjo-Puente, B. Chemical compounds of essential oil of Tagetes species of Ecuador. Ecorfan J. Repub. Nicar. 2015, 1, 19–26. [Google Scholar]
- López-Barrera, A.J.; Gutiérrez-Gaitén, Y.I.; Miranda-Martínez, M.; Choez Guaranda, I.A.; Ruíz-Reyes, S.G.; Scull-Lizama, R. Pharmacognostic, phytochemical, and anti-inflammatory effects of Corynaea crassa: A comparative study of plants from Ecuador and Peru. Pharmacogn. Res. 2020, 12, 395–402. [Google Scholar]
- Salazar, A.T.; Scalvenzi, L.; Piedra-Lescano, A.S.; Radice, M. Ethnopharmacology, biological activity and chemical characterization of Mansoa alliacea. A review about a promising plant from Amazonian region. MOL2NET 2017, 3, 1–8. [Google Scholar]
- Valarezo, E.; Vidal, V.; Calva, J.; Jaramillo, S.P.; Febres, J.D.; Benítez, A. Essential oil constituents of mosses species from Ecuador. J. Essent. Oil Bear. Plants 2018, 21, 189–197. [Google Scholar] [CrossRef]
- Valarezo, E.; Tandazo, O.; Galán, K.; Rosales, J.; Benítez, Á. Volatile metabolites in Liverworts of Ecuador. Metabolites 2020, 10, 92. [Google Scholar] [CrossRef]
- Fon-Fay, F.M.; Pino, J.A.; Hernández, I.; Rodeiro, I.; Fernández, M.D. Chemical composition and antioxidant activity of Bursera graveolens (Kunth) Triana et Planch essential oil from Manabí, Ecuador. J. Essent. Oil Res. 2019, 31, 211–216. [Google Scholar] [CrossRef]
- Rey-Valeirón, C.; Guzmán, L.; Saa, L.R.; López-Vargas, J.; Valarezo, E. Acaricidal activity of essential oils of Bursera graveolens (Kunth) Triana & Planch and Schinus molle L. on unengorged larvae of cattle tick Rhipicephalus (Boophilus) microplus (Acari:Ixodidae). J. Essent. Oil Res. 2017, 29, 344–350. [Google Scholar] [CrossRef]
- Valarezo, E.; Ojeda-Riascos, S.; Cartuche, L.; Andrade-González, N.; González-Sánchez, I.; Meneses, M.A. Extraction and study of the essential oil of copal (Dacryodes peruviana), an Amazonian fruit with the highest yield worldwide. Plants 2020, 9, 1658. [Google Scholar] [CrossRef]
- Altuna, J.L.; Silva, M.; Álvarez, M.; Quinteros, M.F.; Morales, D.; Carrillo, W. Yellow pitahaya (Hylocereus megalanthus) fatty acid composition from Ecuadorian Amazonas. Asian J. Pharm. Clin. Res. 2018, 11, 218–221. [Google Scholar]
- Rodríguez, S.H.T.; Torres, M.C.T.; García, V.J.; Lucena, M.E.; Baptista, L.A. Composición química del aceite esencial de las hojas de Hedyosmum luteynii Todzia (Chloranthaceae). Rev. Peru. De Biol. 2018, 25, 173–174. [Google Scholar] [CrossRef][Green Version]
- Guamán-Ortiz, L.M.; Bailon-Moscoso, N.; Morocho, V.; Vega-Ojeda, D.; Gordillo, F.; Suárez, A.I. Onoseriolide, from Hedyosmum racemosum, induces cytotoxicity and apoptosis in human colon cancer cells. Nat. Prod. Res. 2021, 35, 3151–3155. [Google Scholar] [CrossRef]
- Herrera, C.; Morocho, V.; Vidari, G.; Bicchi, C.; Gilardoni, G. Phytochemical investigation of male and female Hedyosmum scabrum (Ruiz & Pav.) Solms Leaves from Ecuador. Chem. Biodivers. 2018, 15, e1700423. [Google Scholar] [CrossRef]
- Silva-Rivas, R.; Bailon-Moscoso, N.; Cartuche, L.; Romero-Benavides, J.C. The antioxidant and hypoglycemic properties and phytochemical profile of Clusia latipes extracts. Pharmacogn. J. 2020, 12, 144–149. [Google Scholar] [CrossRef]
- Suárez, A.I.; Armijos, C.; Quisatagsi, E.V.; Cuenca, M.; Cuenca-Camacho, S.; Bailón-Moscoso, N. The cytotoxic principle of Bejaria resinosa from Ecuador. J. Pharmacogn. Phytochem. 2015, 4, 268–272. [Google Scholar]
- Herrera, C.; Pérez, Y.; Morocho, V.; Armijos, C.; Malagón, O.; Brito, B.; Tacán, M.; Cartuche, L.; Gilardoni, G. Preliminary phytochemical study of the ecuadorian plant Croton elegans kunth (euphorbiaceae). J. Chil. Chem. Soc. 2018, 63, 3875–3877. [Google Scholar] [CrossRef]
- Morocho, V.; Sarango, D.; Cruz-Erazo, C.; Cumbicus, N.; Cartuche, L.; Suárez, A.I. Chemical constituents of Croton thurifer Kunth as α-Glucosidase inhibitors. Rec. Nat. Prod. 2019, 14, 31–41. [Google Scholar] [CrossRef]
- Pino, J.A.; Terán-Portelles, E.C.; Hernández, I.; Rodeiro, I.; Fernández, M.D. Chemical composition of the essential oil from Croton wagneri Müll. Arg. (Euphorbiaceae) grown in Ecuador. J. Essent. Oil Res. 2018, 30, 347–352. [Google Scholar] [CrossRef]
- Gilardoni, G.; Montalván, M.; Ortiz, M.; Vinueza, D.; Montesinos, J.V. The flower essential oil of Dalea mutisii Kunth (Fabaceae) from Ecuador: Chemical, enantioselective, and olfactometric analyses. Plants 2020, 9, 1403. [Google Scholar] [CrossRef] [PubMed]
- Suárez, A.I.; Thu, Z.M.; Ramírez, J.; León, D.; Cartuche, L.; Armijos, C.; Vidari, G. Main constituents and antidiabetic properties of Otholobium mexicanum. Nat. Prod. Commun. 2017, 12, 533–535. [Google Scholar] [CrossRef] [PubMed]
- Ortega-Puma, C.; Fajardo-Carmona, S.; Ortíz-Ulloa, J.; Tobar, V.; Quito-Ávila, D.; Santos-Ordoñez, E.; Jerves-Andrade, L.; Cuzco, N.; Wilches, I.; León-Tamaríz, F. Evaluation of the variables altitude, soil composition and development of a predictive model of the antibacterial activity for the genus Hypericum by chromatographic fingerprint. Phytochem. Lett. 2019, 31, 104–113. [Google Scholar] [CrossRef]
- Matailo, A.; Bec, N.; Calva, J.; Ramírez, J.; Andrade, J.M.; Larroque, C.; Vidari, G.; Armijos, C. Selective BuChE inhibitory activity, chemical composition, and enantiomer content of the volatile oil from the Ecuadorian plant Clinopodium brownei. Rev. Bras. De Farm. 2019, 29, 749–754. [Google Scholar] [CrossRef]
- Gilardoni, G.; Ramírez, J.; Montalván, M.; Quinche, W.; León, J.; Benítez, L.; Morocho, V.; Cumbicus, N.; Bicchi, C. Phytochemistry of three Ecuadorian Lamiaceae: Lepechinia heteromorpha (Briq.) Epling, Lepechinia radula (Benth.) Epling and Lepechinia paniculata (Kunth) Epling. Plants 2018, 8, 1. [Google Scholar] [CrossRef]
- Ramírez, J.; Gilardoni, G.; Jácome, M.; Montesinos, J.; Rodolfi, M.; Guglielminetti, M.L.; Cagliero, C.; Bicchi, C.; Vidari, G. Chemical composition, enantiomeric analysis, AEDA sensorial evaluation and antifungal activity of the essential oil from the Ecuadorian plant Lepechinia mutica Benth (Lamiaceae). Chem. Biodivers. 2017, 14, e1700292. [Google Scholar] [CrossRef]
- Ramírez, J.; Gilardoni, G.; Ramón, E.; Tosi, S.; Picco, A.M.; Bicchi, C.; Vidari, G. Phytochemical study of the Ecuadorian species Lepechinia mutica (Benth.) Epling and high antifungal activity of carnosol against Pyricularia oryzae. Pharmaceuticals 2018, 11, 33. [Google Scholar] [CrossRef]
- Panamito, M.; Bec, N.; Valdivieso, V.; Salinas, M.; Calva, J.; Ramírez, J.; Larroque, C.; Armijos, C. Chemical composition and anticholinesterase activity of the essential oil of leaves and flowers from the Ecuadorian plant Lepechinia paniculata (Kunth) Epling. Molecules 2021, 26, 3198. [Google Scholar] [CrossRef]
- Morocho, V.; Toro, M.L.; Cartuche, L.; Guaya, D.; Valarezo, E.; Malagón, O.; Ramírez, J. Chemical composition and antimicrobial activity of essential oil of Lepechinia radula Benth Epling. Rec. Nat. Prod. 2017, 11, 57–62. [Google Scholar]
- Echavarría, A.P.; D’Armas, H.; Matute, N.; Cano, J.A. Phytochemical analyses of eight plants from two provinces of Ecuador by GC-MS. Int. J. Herb. Med. 2020, 8, 10–20. [Google Scholar]
- Tacchini, M.; Guevara, M.P.E.; Grandini, A.; Maresca, I.; Radice, M.; Angiolella, L.; Guerrini, A. Ocimum campechianum mill. from Amazonian Ecuador: Chemical composition and biological activities of extracts and their main constituents (Eugenol and Rosmarinic Acid). Molecules 2020, 26, 84. [Google Scholar] [CrossRef]
- Villalta, G.; Salinas, M.; Calva, J.; Bec, N.; Larroque, C.; Vidari, G.; Armijos, C. Selective BuChE inhibitory activity, chemical composition, and enantiomeric content of the essential oil from Salvia leucantha Cav. Collected in Ecuador. Plants 2021, 10, 1169. [Google Scholar] [CrossRef] [PubMed]
- Salinas, M.; Bec, N.; Calva, J.; Ramirez, J.; Andrade, J.M.; Larroque, C.; Vidari, G.; Armijos, C. Chemical composition and anticholinesterase activity of the essential oil from the Ecuadorian plant Salvia pichinchensis Benth. Rec. Nat. Prod. 2020, 14, 276–285. [Google Scholar] [CrossRef]
- Tubon, I.; Zannoni, A.; Bernardini, C.; Salaroli, R.; Bertocchi, M.; Mandrioli, R.; Vinueza, D.; Antognoni, F.; Forni, M. In vitro anti-inflammatory effect of Salvia sagittata ethanolic extract on primary cultures of porcine aortic endothelial cells. Oxidative Med. Cell. Longev. 2019, 2019, 6829173. [Google Scholar] [CrossRef] [PubMed]
- Pino, J.A.; Fon-Fay, F.M.; Falco, A.S.; Pérez, J.C.; Hernández, I.; Rodeiro, I.; Fernández, M. Chemical composition and biological activities of essential oil from Ocotea quixos (Lam.) Kosterm. leaves grown wild in Ecuador. Am. J. Essent. Oil Nat. Prod. 2018, 6, 31–34. [Google Scholar]
- Valarezo, E.; Vullien, A.; Conde-Rojas, D. Variability of the chemical composition of the essential oil from the Amazonian ishpingo species (Ocotea quixos). Molecules 2021, 26, 3961. [Google Scholar] [CrossRef]
- Arteaga-Crespo, Y.; Ureta-Leones, D.; García-Quintana, Y.; Montalván, M.; Gilardoni, G.; Malagón, O. Preliminary predictive model of termiticidal and repellent activities of essential oil extracted from Ocotea quixos leaves against Nasutitermes corniger (Isoptera: Termitidae) using one-factor response surface methodology design. Agronomy 2021, 11, 1249. [Google Scholar] [CrossRef]
- Guamán-Ortiz, L.M.; Romero-Benavides, J.C.; Suarez, A.I.; Torres-Aguilar, S.; Castillo-Veintimilla, P.; Samaniego-Romero, J.; Ortiz-Diaz, K.; Bailon-Moscoso, N. Cytotoxic property of Grias neuberthii extract on human colon cancer cells: A crucial role of autophagy. Evid. Based Complement. Altern. Med. 2020, 2020, 1565306. [Google Scholar] [CrossRef]
- Cedeño, H.; Espinosa, S.; Andrade, J.M.; Cartuche, L.; Malagón, O. Novel flavonoid glycosides of quercetin from leaves and flowers of Gaiadendron punctatum G. Don. (Violeta de Campo), used by the Saraguro community in Southern Ecuador, inhibit α-Glucosidase enzyme. Molecules 2019, 24, 4267. [Google Scholar] [CrossRef]
- Armijos, C.; Ponce, J.; Ramírez, J.; Gozzini, D.; Finzi, P.V.; Vidari, G. An unprecedented high content of the bioactive flavone tricin in Huperzia medicinal species used by the Saraguro in Ecuador. Nat. Prod. Commun. 2016, 11, 273–274. [Google Scholar] [CrossRef] [PubMed]
- Miranda-Martínez, M.; Sarmiento-Tomalá, G.M.; Chóez-Guaranda, I.A.; Gutiérrez-Gaitén, Y.I.; Delgado-Hernández, R.; Carrillo-Lavid, G. Pharmacognostic, chemical and mucolytic activity study of Malva pseudolavatera webb & berthel. and Malva sylvestris L. (Malvaceae) leaf extracts, grown in Ecuador. Biodiversitas J. Biol. Divers. 2020, 21, 4755–4763. [Google Scholar] [CrossRef]
- Pino, J.A.; Moncayo-Molina, L.; Spengler, I.; Pérez, J.C. Chemical composition and antibacterial activity of the leaf essential oil of Eucalyptus globulus Labill. from two highs of the canton Cañar, Ecuador. Rev. CENIC Cienc. Quím. 2021, 52, 26–33. [Google Scholar]
- Montalván, M.; Peñafiel, M.A.; Ramírez, J.; Cumbicus, N.; Bec, N.; Larroque, C.; Bicchi, C.; Gilardoni, G. Chemical composition, enantiomeric distribution, and sensory evaluation of the essential oils distilled from the Ecuadorian species Myrcianthes myrsinoides (Kunth) Grifo and Myrcia mollis (Kunth) dc. (Myrtaceae). Plants 2019, 8, 511. [Google Scholar] [CrossRef]
- Scalvenzi, L.; Grandini, A.; Spagnoletti, A.; Tacchini, M.; Neill, D.; Ballesteros, J.L.; Sacchetti, G.; Guerrini, A. Myrcia splendens (Sw.) DC. (syn. M. fallax (Rich.) DC.) (Myrtaceae) essential oil from Amazonian Ecuador: A chemical characterization and bioactivity profile. Molecules 2017, 22, 1163. [Google Scholar] [CrossRef]
- Carvajal, P.C.; Coppo, E.; Di Lorenzo, A.; Gozzini, D.; Bracco, F.; Zanoni, G.; Nabavi, S.M.; Marchese, A.; Arciola, C.R.; Daglia, M. Chemical characterization and in vitro antibacterial activity of Myrcianthes hallii (O. Berg) mcvaugh (Myrtaceae), a traditional plant growing in Ecuador. Materials 2016, 9, 454. [Google Scholar] [CrossRef]
- Calva, J.; Castillo, J.M.; Bec, N.; Ramirez, J.; Andrade, J.M.; Larroque, C.; Armijos, C. Chemical composition, enantiomeric distribution and AChE-BChE activities of the essential oil of Myrteola phylicoides (Benth) Landrum from Ecuador. Rec. Nat. Prod. 2019, 13, 355–362. [Google Scholar] [CrossRef]
- Radice, M.; Scalvenzi, L.; Gutiérrez, D. Ethnopharmacology, bioactivity and phytochemistry of Maxillaria densa Lindl. Scientific review and biotrading in the neotropics. Colomb. For. 2020, 23, 20–33. [Google Scholar] [CrossRef]
- Chóez, I.; Herrera, D.; Miranda, M.; Manzano, P.I.; Chóez-Guaranda, I. Chemical composition of essential oils of shells, juice and seeds of Passiflora ligularis Juss from Ecuador. Emir. J. Food Agric. 2015, 27, 650–653. [Google Scholar] [CrossRef]
- Noriega-Rivera, P.; Mosquera, T.; Baldisserotto, A.; Abad, J.; Aillon, C.; Cabezas, D.; Piedra, J.; Coronel, I.; Manfredini, S. Chemical composition and in-vitro biological activities of the essential oil from leaves of Peperomia inaequalifolia Ruiz & Pav. Am. J. Essent. Oil Nat. Prod. 2015, 2, 29–31. [Google Scholar]
- Noriega, P.; Ballesteros, J.; De La Cruz, A.; Veloz, T. Chemical composition and preliminary antimicrobial activity of the hydroxylated sesquiterpenes in the essential oil from Piper barbatum Kunth leaves. Plants 2020, 9, 211. [Google Scholar] [CrossRef]
- Oacute, N.M.; Velasco, J.; Cornejo, X.; Aacute, N.J.; Morocho, V. Chemical composition and antibacterial activity of Piper lenticellosum C. DC essential oil collected in Ecuador. J. Appl. Pharm. Sci. 2016, 6, 156–159. [Google Scholar] [CrossRef][Green Version]
- Gilardoni, G.; Matute, Y.; Ramírez, J. Chemical and enantioselective analysis of the leaf essential oil from Piper coruscans Kunth (Piperaceae), a costal and Amazonian native species of Ecuador. Plants 2020, 9, 791. [Google Scholar] [CrossRef]
- Valarezo, E.; Flores-Maza, P.; Cartuche, L.; Ojeda-Riascos, S.; Ramírez, J. Phytochemical profile, antimicrobial and antioxidant activities of essential oil extracted from Ecuadorian species Piper ecuadorense sodiro. Nat. Prod. Res. 2020. [Google Scholar] [CrossRef]
- Ojeda-Riascos, S.; Valdivieso, M.; Gilardoni, G.; Calva, J.; Morocho, V.; Valarezo, E.; Malagon, O. Development and validation of a high-performance liquid chromatographic method for the determination of pinocembrin in leaves of piper ecuadorense sodiro. Axioma 2019, 1, 35–43. [Google Scholar] [CrossRef]
- Valarezo, E.; Benítez, L.; Palacio, C.; Aguilar, S.; Armijos, C.; Calva, J.; Ramírez, J. Volatile and non-volatile metabolite study of endemic ecuadorian specie Piper lanceifolium Kunth. J. Essent. Oil Res. 2021, 33, 182–188. [Google Scholar] [CrossRef]
- Noriega, P.F.; Mosquera, T.; Abad, J.; Cabezas, D.; Piedra, S.; Coronel, I.; Maldonado, M.E.; Bardiserotto, A.; Vertuani, S.; Manfredini, S. Chemical composition, antioxidant and antimicrobial activity of the essential oil from leaves of Piper pubinervulum D. DC Piperaceae. La Granja Rev. Cienc. Vida 2016, 24, 111–123. [Google Scholar]
- Ramírez, J.; Andrade, M.; Vidari, G.; Gilardoni, G. Essential oil and major non-volatile secondary metabolites from the leaves of Amazonian Piper subscutatum. Plants 2021, 10, 1168. [Google Scholar] [CrossRef] [PubMed]
- Valarezo, E.; Rosales-Acevedo, V.; Ojeda-Riascos, S.; Meneses, M.A. Phytochemical profile, antimicrobial and antioxidant activities of essential oil from the leaves of native Amazonian species of Ecuador Sarcorhachis sydowii Trel. J. Essent. Oil Bear. Plants 2021, 24, 266–276. [Google Scholar] [CrossRef]
- Torres-Naranjo, M.; Suárez, A.; Gilardoni, G.; Cartuche, L.; Flores, P.; Morocho, V. Chemical constituents of Muehlenbeckia tamnifolia (Kunth) Meisn (Polygonaceae) and its in vitro α-Amilase and α-Glucosidase inhibitory activities. Molecules 2016, 21, 1461. [Google Scholar] [CrossRef]
- Vinueza, D.; Yanza, K.; Tacchini, M.; Grandini, A.; Sacchetti, G.; Chiurato, M.A.; Guerrini, A. Flavonoids in Ecuadorian Oreocallis grandiflora (Lam.) R. Br.: Perspectives of use of this species as a food supplement. Evid. Based Complement. Altern. Med. 2018, 2018, 1353129. [Google Scholar] [CrossRef]
- Medina, J.C.; Suárez, A.I.; Cumbicus, N.; Morocho, V. Estudio fitoquímico de roupala montana aubl. De la provincia de loja. Axioma 2018, 2, 5–11. [Google Scholar] [CrossRef]
- Milella, L.; Milazzo, S.; De Leo, M.; Saltos, M.B.V.; Faraone, I.; Tuccinardi, T.; Lapillo, M.; De Tommasi, N.; Braca, A. α-Glucosidase and α-Amylase inhibitors from Arcytophyllum thymifolium. J. Nat. Prod. 2016, 79, 2104–2112. [Google Scholar] [CrossRef] [PubMed]
- Bustamante-Pesantes, K.E.; Gutiérrez-Gaitén, Y.I.; Chóez-Guaranda, I.A.; Miranda-Martínez, M. Chemical composition, antioxidant capacity and anti-inflammatory activity of the fruits of Mimusops coriacea (A.DC) Mig (Sapotaceae) that grows in Ecuador. J. Pharm. Pharmacogn. Res. 2021, 9, 33–48. [Google Scholar]
- García, J.; Gilardoni, G.; Cumbicus, N.; Morocho, V. Chemical analysis of the essential oil from Siparuna echinata (Kunth) A. DC. (Siparunaceae) of Ecuador and isolation of the rare terpenoid sipaucin A. Plants 2020, 9, 187. [Google Scholar] [CrossRef] [PubMed]
- Burneo, J.I.; Benítez, Á.; Calva, J.; Velastegui, P.; Morocho, V. Soil and leaf nutrients drivers on the chemical composition of the essential oil of Siparuna muricata (Ruiz & Pav.) A. DC. from Ecuador. Molecules 2021, 26, 2949. [Google Scholar] [CrossRef] [PubMed]
- Vélez, E.; D’Armas, H.; Jaramillo-Jaramillo, C.; Echavarría-Vélez, A.P.; Isitua, C.C. Phytochemistry of Lippia citriodora K. grown in Ecuador and its biological activity. Cienc. Unemi 2019, 12, 9–19. [Google Scholar] [CrossRef]
- Pino, J.A.; Fon-Fay, F.M.; Pérez, J.C.; Falco, A.S.; Hernández, I.; Rodeiro, I.; Fernández, M.D. Chemical composition and biological activities of essential oil from turmeric (Curcuma longa L.) rhizomes grown in Amazonian Ecuador. Rev. CENIC Cienc. Quím. 2018, 49, 1–8. [Google Scholar]
- Noriega, P.F.; Paredes, E.A.; Mosquera, T.D.; Días, E.E.; Lueckhoff, A.; Basantes, J.E.; Trujillo, A.L. Chemical composition antimicrobial and free radical scavenging activity of essential oil from leaves of Renealmia thyrsoidea (Ruis & Pav.) Poepp & Endl. J. Med. Plant Res. 2016, 10, 553–558. [Google Scholar] [CrossRef]
- Höferl, M.; Stoilova, I.; Wanner, J.; Schmidt, E.; Jirovetz, L.; Trifonova, D.; Stanchev, V.; Krastanov, A. Composition and comprehensive antioxidant activity of ginger (Zingiber officinale) essential oil from Ecuador. Nat. Prod. Commun. 2015, 10, 1085–1090. [Google Scholar] [CrossRef]













| Scientific Name | Common Name Botanical Data | Traditional Applications | Phytochemistry | Biological Activity |
|---|---|---|---|---|
| Anacardiaceae | ||||
| Schinus molle L. | Molle | To alleviate toothache and labor pain; as an anti-inflammatory, antiviral, antiseptic, antifungal, analgesic remedy; and to treat a supernatural ailment known by native people as “bad air.” | The essential oil (EO) was rich in p-cymene (40.0%), limonene (19.5%), myrcene (7.7%), and camphene (5.6%) [14]. | The EO exhibited an important acaricidal effect: at a concentration of 2%, it was lethal to R. sanguineus larvae [14]. |
| Annonaceae | ||||
| Annona montana M. | Guanabana de monte or guanabana (false graviola) | The plant is used to treat lice, influenza, and insomnia; immature fruits are used to treat dysentery. | Organic extracts showed genotoxic damage to DNA and cell antiproliferative activity against several human tumor cell lines. The highest activity was observed for the ethyl acetate extract, with the following percentages of inhibition: lung cancer A549 (97 ± 1.7%), cerebral astrocytoma D384 (98 ± 3.2%), breast carcinoma MCF-7 (93 ± 4.5%), prostate cancer PC-3 (99 ± 6.8%), and colon cancer RKO (96 ± 5.7%). The IC50 values were 9.6, 7.9, 6.0, 13.1, and 7.7 μg/mL, respectively, for each tumor cell line [15]. | |
| Amarryllidaceae | ||||
| Crinum × amabile Donn | Lirio de araña púrpura (purple spider lily) or lirio de araña gigante rosada (pink giant spider lily) in the Ecuador continent and lirio de cinta in the Galapagos Islands | It is used in the Esmeraldas province to treat hemorrhoids. | Alkaloids, flavonoids, glycosides, and carbohydrates were determined as the main compounds in leaves and bulbs using phytochemical screening [16]. | The anti-inflammatory and cytotoxic activities were evaluated using isolated neutrophils and the tetrazolium salt method (WST-1), respectively [16]. |
| Phaendranassa brevifolia Meerow Phaendranassa cinerea Ravenna Phaendranassa cuencana Minga, C. Ulloa & Oleas Phaendranassa dubia (Kunth) J.F.Macbr. Phaendranassa glauciflora Meerow Phaendranassa tungurague Ravena | Ashpa onion in Kichwa (fake onion), or papa de lobo in Spanish (fox’s potato) | The alkaloid profile of each species was analyzed using GC/MS [17,18]; a high content of lycorine-type alkaloids was found in P. dubia and P. brevifolia bulbs [18]. | The in vitro inhibitory activity of P. cinerea, P. cuencana, P. dubia, P. glauciflora, and P. tungurague was evaluated against the enzymes acetylcholinesterase (AChE) and butyrylcholinesterase (BuChE), which are considered important targets in the mechanism of Alzheimer’s disease. Docking studies indicated that cantabricine (1) (Figure 2), which is an alkaloid present in most species under investigation, was active on both enzymes. However, this compound was not present in the extracts of the two plants that exhibited the highest in vitro inhibitory activity, namely, P. cuencana (IC50 = 0.88 ± 0.11 µg/mL) against AChE and P. dubia (IC50 = 14.26 ± 2.71 µg/mL) against BuChE; instead, the two species were rich in galanthamine-type alkaloids [17]. The alkaloid profiles of P. dubia and P. brevifolia bulbs were investigated and significant inhibitory activities on both enzymes were determined [18]. The IC50 values of the activity against AChE were 25.48 ± 0.39 and 3.45 ± 0.29 μg/mL, respectively, whereas the IC50 values against BuChE were 96 ± 4.94 and 58.89 ± 0.55 μg/mL, respectively. A high content of lycorine-type alkaloids was found in both species [18]. | |
| Apiaceae | ||||
| Neonelsonia acuminata (Benth) J. M. Coult & Rose | Zanahoria blanca (white carrot) | To relieve stomach pain. | The potential antidiabetic properties were evaluated by measuring the α-amylase and α-glucosidase inhibitory activities. No activity was reported on α-amylase, whereas the percentages of α-glucosidase inhibition were significant only at the high concentrations of 500 and 1000 µg/mL, with values of 73.02 ± 0.2 and 91.0 ± 1.0%, respectively. The IC50 values (µg/mL) of the antiradical and antioxidant activities, as determined using 2,2-diphenyl-1-picrylhydrazyl (DPPH), showed that the Trolox (a water-soluble derivative of vitamin E) equivalent antioxidant capacity (TEAC) and the β-carotene-linoleic acid model system (β-CLAMS) assays were 31.6 ± 0.2, 23.0 ± 1.93, and 43.1 ± 0.81, respectively [19]. | |
| Apocynaceae | ||||
| Prestonia mollis Kunth | Bejuco de cancer | Anticancer, wound healing, and disinfectant remedy. | The plant showed no significant antioxidant and antiradical effects [20]. | |
| Prestonia spp. | Chicle (gum) | To treat skin affections. | Alkaloids, saponins, and flavonoids were identified as the main phytochemicals [21]. | |
| Aquifoliaceae | ||||
| Ilex guayusa Loes. | Guayusa | Widely used in the Amazon region of Ecuador in ritual ceremonies; moreover, the traditional use for treating various ailments and diseases was well documented by several recent reviews [22]. | The content of polyphenols, alkaloids, and the health benefits of a tea drink prepared with guayusa leaves together with beverages from other Ilex species was discussed [23]. The optimization of the ultrasound-assisted extraction of phenolic antioxidants from the leaves using response surface methodology was described [24]. | Strong inhibition of the enzyme hyaluronidase indicated an interesting anti-inflammatory activity; however, no antibacterial effects were observed from Staphylococcus aureus and Escherichia coli [25]. In an attempt to validate the traditional use of guayusa and alfalfa for the treatment of female infertility, the estradiol levels in blood samples were measured after administration of the plants to rats, which showed high in vivo estrogenic effects [26]. A methanolic extract of guayusa exerted a significant inhibitory effect on α-glucosidase (IC50 value = 176.5 ± 1.50 μg/mL), while it was inactive against α-amylase. In antiradical and antioxidant assays, the IC50 values (μg/mL) were 14.2 ± 0.99, 11.8 ± 1.01, and 13.0 ± 0.85 in DPPH, TEAC, and β-CLAMS assays, respectively. |
| Arialaceae | ||||
| Oreopanax andreanus Marchal | Pumamaqui or manos de puma in Spanish (puma paws) | Wound healing, disinfectant, astringent, and antiseptic remedy; together with Oreopanax eriocephalus Harms (traditional called maqui maqui), it is employed as an anti-inflammatory and antibacterial remedy [20]. | In in vitro antioxidant assays, the values of Trolox equivalents per mg extract (μM TE g−1) were 108.9 ± 24.9 (ABTS) and 75.7 ± 34.5 (DPPH) for O. andreanus, and 473.2 ± 4.7 (ABTS) and 665.6 ± 42.9 (DPPH) for O. eriocephalus [20]. | |
| Oreopanax ecuadoriensis Seem. | Pumamaky (puma paws) | Quichua people use it as a sacred plant in rituals to protect and purify people. Traditional medical treatments also include its use in postpartum baths and to cure flu and headaches. | Thirty-three compounds were detected in the leaf EO using GC/MS; the most abundant components were α-thujene (36.63%), bicyclogermacrene (8.76%), β-pinene (8.32%), and limonene (5.15%) [27]. | At a concentration of 1.25% in DMSO, the average halos of growth inhibition (mm) that were shown by the EO were 6.0 ± 0.0 for Candida albicans, indicating no activity, 6.14 ± 0.09 for Trichophyton mentagrophytes, 8.84 ± 1.26 for T. rubrum, and 10.97 ± 0.57 for Microsporum canis, indicating interesting antifungal activity [27]. |
| Araceae | ||||
| Dieffenbachia costata Klotzsch ex Schott Xanthosoma purpuratum K. Krause (syn. X. hylaeae Engl. & K. Krause) | Lalu Shungu panga | Aqueous extracts of both plants showed no relevant insecticidal activity against Plutella xylostella L. (diamondback moth) under laboratory and open-field conditions, and against Brevicoryne brassicae L. under semifield conditions [28]. | ||
| Arecaceae | ||||
| Mauritia flexuosa L.f. | The popular name of the tree varies depending on the region; in Ecuador, it is known by the names canagucho and morete | The edible fruits are widely consumed in the palm-growing regions. | The content of flavones, flavonols, flavanones, phenolic acids, and carotenoids in extracts of fruits collected at three different altitudes were compared using HPLC/MS. Most flavonoid glycosides [29] contained quercetin as the aglycone. | A high antioxidant capacity, as well a good protective effect against lipid oxidation were determined, and a direct correlation between the concentration of bioactive compounds and antioxidant capacity was found [29]. |
| Asteraceae | ||||
| Ageratina dendroides (Spreng.) R.M. King & H. Rob. | Pega chilca | To treat blows and wounds | The main components of the EO were identified as being germacrene D (29.92 ± 0.68%), δ-cadinene (9.31 ± 0.11%), and cis-cadina-1,4-diene (5.48 ± 0.04%) using GC/MS [30]. | |
| Baccharis genistelloides (Lam.) Pers. | Tres filos | It is used in slimming treatments; to stimulate diuresis; and to cure stomach pain, influenza, kidney problems, and diabetes. | A methanolic extract was inactive against α-amylase, while it showed an IC50 = 154.6 ± 1.28 mg/mL toward α-glucosidase, which is a value that was much better than the positive control acarbose (IC50 = 964.6 ± 2.80 mg/mL). Regarding the radical-scavenging and antioxidant activities of the methanolic extract of the plant, the values were 98 ± 1.4 µg/mL (DPPH), 100 ± 1.0 µg/mL (TEAC), and 43 ± 0.5 µg/mL (β-CLAMS) at the concentrations of 50, 10, and 5 mg/mL, respectively. The values were comparable with those of the reference compounds α-tocopherol and Trolox [19]. | |
| Baccharis obtusifolia Kunth | Chilca redonda | To treat ulcers, rheumatism, liver diseases, and heal wounds. | 5,4’-Dihydroxy-7-methoxyflavone (2) and 5-hydroxy-7,4’dimethoxyflavone (3) (Figure 2) were isolated and identified from the methanolic extract [31]. | The flavones 2 and 3 were considered to be responsible for the cytotoxic effects (MTS assay) on prostate (PC-3), colon (RKO), astrocytoma (D-384), and breast (MCF-7) cells, especially on colon cells [31]. The antioxidant activity of the plant, whose values (μM TE) were 789.8 ± 0.7 (ABTS) and 984.4 ± 4.5 (DPPH), was considered one of the highest in comparison with numerous plants [20]. |
| Chromolaena laevigata (Lam.) R.M. King & H. Rob. | Doctorcito | Antibacterial, antifungal, analgesic, anti-inflammatory, and emmenagogue effects were attributed. | The most abundant compounds between 25 components that were identified in the EO using GC/MS were laevigatin (46.84%), germacrene D (15.38%), limonene (4.94%), bicyclogermacrene (4.14%), and α-pinene (2.85%) [32]. | The antibacterial and antifungal activities were evaluated using the microdilution technique against the Gram-negative bacteria Pseudomonas aeruginosa, Klebsiella pneumonia, Proteus vulgaris, Salmonella typhimurium, and Escherichia coli; the Gram-positive bacteria Enterococus fecalis and Staphylococcus aureus; and the fungi Trichophyton rubrum and T. mentagrophytes. A moderate inhibitory activity was observed only toward T. rubrum (MIC = 125 μg/mL) and T. mentagrophytes (MIC = 250 μg/mL) [32]. |
| Chuquiraga jussieui J.F. Gmel. | Chuquiragua | To cure kidney and liver diseases and as a diuretic. | Carotenes, vitamin C, and polyphenols were the main compounds that were identified in extracts of specimens collected at different locations [33]. | High antioxidant properties of the extracts; they were higher for the leaf than for the flower extract. No quantitative data were determined [33]. |
| Conyza bonariensis (L.) Cronquist | Rama negra (black branch), yerba carnicera, or canilla de venado (deer shin) | To treat rheumatism, nephritis, and gout. | Antimicrobial and antifungal activities were reported for samples of the plant collected in countries that were different from Ecuador, whereas the antioxidant activity and the chemical profile of different organic extracts, determined using GC/MS, were described for a sample that was collected in Ecuador. The EtOAc fraction from a leaf methanolic extract showed the highest DPPH radical scavenging activity (90.69 ± 3.16% at 500 μg/mL) and reducing activity of the ferric tripyridyltriazine complex (Fe3+-TPTZ) with a value of 2.355 mg Trolox equivalent (TE)/g dry fraction. These effects could be mainly related to the presence in the fraction of eugenol, trans-isoeugenol, lucenin-2, methyl salicylate, and syringic acid [34]. | |
| Coreopsis triloba S.F. Blake (a synonym of C. capillacea Kunth) | Macchia, peña nachic, or caca nachic | To treat inflammation and used in bath infusions. | GC/MS analysis of the EO was undertaken via steam distillation at the macro- and microscale using a Marcusson distillator, which gave an account of the composition and enantiomeric distribution. Twenty-nine compounds where identified, including (E)-β-ocimene (35.2–35.9%), β-phellandrene (24.6–25.0%), α-pinene (15.3–15.9%), myrcene (10.9–11.0%), sabinene (2.2–2.4%), (Z)-β-ocimene (1.5%) as the main ones [35]. | The EO showed selective inhibition of the enzyme BuChE with IC50 = 6.8 μg/mL compared with IC50 = 42.2 μg/mL toward AChE [35]. |
| Coreopsis venusta Kunth | Ñache leñoso (woody ñache) | To relieve inflammation to women’s bellies and during labor caused by cold. | The antioxidant capacity of a plant methanolic extract, expressed as Trolox equivalents (μM TE) per milligram of extract, was 790.7 ± 1.4 in the ABTS test and 869.8 ± 15.4 in the DPPH assay [20]. | |
| Gnaphalium elegans C. Presl | Oreja de burro (donkey ear) (Azuay province) | Against tumors. | Twenty-one components were identified in the EO using GC/MS analysis; γ-curcumene (55.61%), italicene (4.69%), α-cubebene (4.45%), δ-cadinene (4.28%), and α-pinene (3.57%) were the main components [36]. | The antimicrobial activity of the EO was tested against the bacteria Pseudomonas aeruginosa, Klebsiella pneumonia, Proteus vulgaris, Salmonella typhimurium, Escherichia coli, Enterococcus fecalis, and Staphylococcus aureus, and the fungi Trichophyton rubrum and T. mentagrophyte. The oil was moderately active against T. rubrum (MIC = 500 μg/mL) and T. mentagrophytes (MIC = 1000 μg/mL) [36]. |
| Gynoxys verrucosa Sch.Bip. ex Wedd. (syn. G. verrucosa V.M. Badillo) | Guángalo | It is used in southern Ecuador to treat skin problems. | Two sesquiterpene lactones, namely, leucodine (4) and dehydroleucodine (5) (Figure 2), were isolated from an EtOAc extract of the aerial parts [2]. The chemical composition of the EO that was isolated from the leaves via standard distillation in a Clevenger apparatus was reported [30]. α-Zingiberene (45.57 ± 1.66%), α-amorphene (11.12 ± 0.24%), p-cymene (15.23 ± 0.10%), and α-phellandrene (11.72 ± 0.15%) were identified using GC/MS as the most abundant components [30]. | Dehydroleucodine (5) was active against an entire panel of eight different acute leukemia cell lines with an average LD50 value of 9.4 μM [6]. |
| Lasiocephalus ovatus Schltld. | Arquitecta | To treat venereal diseases and prostate inflammation and used as a diuretic. | Twenty-seven components were identified using GC/MS in the EO that was hydrodistilled from the plant collected in Chimborazo province. The most abundant compounds were camphor (40.48%), 1,2,5,5-tetramethyl-1,3-cyclopenta-diene (11.90%), p-mentha-1,5-dien-8-ol (5.23%), and 1,6-dimethyl-hepta-1,3,5-triene (4.69%) [37]. | The EO antimicrobial activity, using the broth microdilution technique in 96-well microplates, was tested against Enterococcus faecalis, Pseudomonas aeruginosa, Staphylococcus aureus, Escherichia coli, Klebsiella pneumonia, and Candida albicans. Moderate activity was observed against S. aureus (MIC = 200–400 μg/mL) and E. coli [37]. |
| Tagetes filifolia Lag. Tagetes terniflora Kunth Tagetes minuta L. Tagetes multiflora Kunth Tagetes zypaquirensis Bonpl. | Sacha anis (fake anise) or chilchil wandura | Tagetes are used as medicinal plants, as well as ornamental plants, food additives, biopesticides, and for dyeing clothes. | The EOs of five species, collected at different locations across Ecuador, were isolated and chemically characterized. The type and the relative abundance of the oil components depended on the geographical origin of the plant. Phenylpropanoids and terpenes were the main oil components, including anethole (66.9%), estragole (31.6%), and anisaldehyde (1.5%) in T. filifolia, which were collected in the Cañar, Loja, and Pichincha provinces; trans-tagetone (52.7%), 4-ethyl-4-methyl-1-hexene (25.6%), verbenone (3.32%), 1-verbenone (3%), β-ocimene (8.62%), β-linalool (1.19%), and cis-tagetone (6.21%) in T. terniflora, which were collected in the Cañar, Chimborazo, Pichincha, and Tungurahua provinces; trans-tagetone (33.9%), 4-ethyl-4-methyl-1-hexene (13.8%), caryophyllene (3.2%), β-ocimene (16.9%), trans-ocimene (3.7%), cis-tagetone (9.1%), 1-verbenone (11.69%), and verbenone (16.6%) in T. minuta, which were collected in the Pichincha province; trans-tagetone (17.89%), trans-ocimene (3.73%), 1-verbenone (13.89%), verbenone (24.3%), and 4-ethyl-4-methyl-1-hexene (39.7%) in T. zypaquirensis, which were collected in the Bolivar, Cañar, Carchi, Chimborazo, Cotopaxi, Imbabura, and Pichincha provinces; and trans-tagetone (30.9%), trans-ocimene (25.6%), and valeric acid (43.4%) in T. multiflora, which were collected in the Azuay, Cañar, Chimborazo, and Pichincha provinces [38]. | |
| Balanophoraceae | ||||
| Corynaea crassa Hook. f. | Huanarpo male | Aphrodisiac. | Safrole, squalene, sesquiterpenes, steroids, and triterpenes were characteristic components of an EtOAc extract, which was analyzed using GC [39]. | Experiments on a carrageenan- induced acute inflammation model showed the anti-inflammatory activity of aqueous and ethanolic extracts. In general, the analysis of samples from Peru and Ecuador gave similar results [39]. |
| Bignoniaceae | ||||
| Mansoa alliacea (Lam.) A.H. Gentry | Ajo de monte o sacha ajo (fake garlic) | In healing ceremonies and shaman rituals in the Amazon region, in treatments against rheumatism and atherosclerosis, and an analgesic and antipyretic remedy. | The most important compounds that occur in the plant are sulfur derivatives, such as diallyl disulfide, diallyl trisulfide, alliin, allicin, allyl propyl sulfide, divinyl sulfide, diallyl sulfide, and dimethyl sulfide. The presence of a few sterols, iridoids, flavonoids, and alkaloids was also reported [40]. | Antibacterial, antifungal, antioxidant, anti-inflammatory, and anti-plasmodial properties were reported [40]. |
| Bryophytes | ||||
| Mosses: Breutelia tormentosa (SW. ex Brid.) A. Jaeger (Bartramiaceae) Campylopus richardii Brid. (Dicranaceae) Leptodontium viticulosoides (P. Beauv.) Wijk & Margad. (Pottiaceae) Macromitrium perreflexum Steere (an unresolved name) Rhacocarpus purpurascens (Brid.) Paris (Rhacocarpaceae) Thuidium peruvianum Mitt. (Thuidiaceae) Liverworts: Frullania brasiliensis Raddi (an unresolved name) (Jubulaceae), Leptoscyphus hexagonus (Nees) Grolle (Geocalycaceae, Lophocoleaceae), Herbertus juniperoideus (Sw.) Grolle (Herbertaceae), Syzygiella anomala (Lindenb, & Gottsche) Stephani (Jungermanniaceae) | Musgos Hepáticas | Sesquiterpenes and diterpenes were the most abundant components of the EOs that were hydrodistilled from six mosses, although they were different from species to species. Epizonarene (8.7%) and α-selinene (6.7%) were predominant in Breutelia tormentosa (SW. ex Brid.) A. Jaeger; epi-α-muurulol (15.1%) and α-cadinol (12.5%) predominated in Campylopus richardii Brid., selina-3,11-dien-6-α-ol (19.7%) and curcuphenol (10.6%) in Macromitrium perreflexum Steere, α-cadinol (36.8%) and α-santalene (8.4%) predominated in Rhacocarpus purpurascens (Brid.) Paris, and phytol (21.7%) and valerenol (10.1%) predominated in Thuidium peruvianum Mitt., whereas the EO of Leptodontium viticulosoides (P. Beauv.) Wijk & Margad. was rich in β-selinene (13.5%) and α-selinene (10.5%) [41]. A similar study was performed on the oils from four liverworts. Sesquiterpenes were the most important components in all species: τ-muurolol (32.14%) and germacrene D (11.98%) predominated in Frullania brasilensis Raddi, cabreuva oxide-D (33.7%) and elemol (18.55%) predominated in Leptoscysphus hexagonus (Nees) Grolle, and bicyclogermacrene (18.23%) and caryophyllene oxide (18.29%) predominated in Herbertus juniperoideus (Sw.) Grolle, whereas silpherfolane-5,7(14)-diene (25.22%) and caryophyllene oxide (8.98%) were abundant in the oil of Syzygiella anomala (Lindenb. & Gottsche) Stephani [42]. | ||
| Burseraceae | ||||
| Bursera graveolens (Kunth) Triana & Planch. | Palo santo | To treat arthritis and to cause sweating, and as an analgesic and sedative remedy. The bark is burnt as incense due to the intense woody scent. The EO from trees that grow in the dry forest of Zapotillo “Palo Santo Valley” (Ecuador) was exported by a Brazilian company as a perfume ingredient. | Ninety-nine compounds were identified using GC/MS in the EO hydrodistilled from the stems; limonene (34.9%) and α-terpineol (13.4%) were the main constituents [43]. Sixty-one components were determined using GC/MS in the EO that was hydrodistilled from mature fruits, among which, the most abundant were limonene (49.89%), α-phellandrene (37.64%), and menthofuran (6.08%) [44]. | The radical scavenging effect of the stem EO was only moderate in a DPPH test (22.9 ± 2.3 mg/mL) and a value of 179.5 ± 23.4 μM ascorbic acid equivalents was determined using a ferric reducing antioxidant power (FRAP) assay [43]. The EO from mature fruits that were mixed with the EO from Schinus molle showed potential acaricidal activity against larvae of the cattle tick Rhipicephalus (Boophilus) microplus [44]. |
| Dacryodes peruviana (Loes.) H.J. Lam | Copal, copal comestible, anime, or wigonkawe | The gummy resin is used as an insect repellent. | Twenty-five compounds, including the main one, α-phellandrene (50.32%), were identified using GC/MS in the EO that was hydrodistilled from the fruits [45]. | The EO was tested using the microdilution method against the bacteria Proteus vulgaris, Pseudomonas aeruginosa, Escherichia coli, Klebsiella pneumonia, Salmonella typhimurium, Staphylococcus aureus, and Enterococcus faecalis, and the fungi Trichophyton rubrum and T. mentagrophytes. The oil exhibited a modest activity against S. aureus (MIC = 625 μg/mL), while the MIC values against the remaining microorganisms were, on average, above 2500 μg/mL. Furthermore, the oil was a potential source of a repellent product against mosquitoes [45]. |
| Cactaceae | ||||
| Hylocereus megalanthus (K. Schum. ex Vaupel) Ralf Bauer | Yellow pitahaya or dragon fruits | The edible fruits are exported from Ecuador to different countries. | Palmitic (11.52%), stearic (4.29%), oleic (11.09%), vaccenic (3.08%), and linoleic (69.98%) acids were the main fatty acids in the fruits that were collected in the Amazon and extracted in a Soxhlet [46]. | |
| Chloranthaceae | ||||
| Hedyosmum luteynii Todzia | Sacha guayusa (fake guayusa), borrachero, or tarqui | It is used in Chimborazo province to alleviate respiratory diseases. | Monoterpenes were the main components of the EO that was hydrodistilled from fresh leaves; α-phellandrene (32.72%), α-pinene (13.20%), (Z)-β-ocimene (10.99%), silvestrene (6.51%), bicyclogermacrene (5.05%), 1,8-cineol (4.95%), (E)-β-ocimene (3.88%), and germacrene D (3.20%) predominated [47]. | |
| Hedyosmum racemosum (Ruiz & Pav.) G. Don | Guayusa de monte (thicket guayusa) or jicamilla | Anti-cancer treatment. | Onoseriolide (6) (Figure 2) was isolated from the plant [48]. | Onoseriolide (6) showed interesting antiproliferative effects on a human colorectal-cancer-derived cell line (RKO), causing cell cycle arrest at the G2/M phase and activating both apoptosis, as a cell death mechanism, and autophagy, as a survival mechanism [48]. |
| Hedyosmum scabrum (Ruiz & Pav.) Solms | Granizo, tarqui, or guayusa de cerro | Several Hedyosmum species are used to treat various diseases and ailments, such as diarrhea, respiratory disorders, and stomachache. | The compositions of the EOs that were hydrodistilled in a Clevenger apparatus from flowers of male and female H. scabrum were qualitatively and quantitatively rather different, including the distribution of enantiomers. The main components of the EO from the male specimens were pinocarvone (13.1%), germacrene D-4-ol (12.6%), 1,8-cineole (10.8%), α-pinene (6.4%), and β-pinene (4.8%), while the main constituents of the EO from female flowers were 1,8-cineole (20.5%), linalool (16.5%), α-pinene (15.0%), β-pinene (6.4%), and sabinene (6.3%) [49]. | |
| Clusiaceae | ||||
| Clusia latipes Planch. & Triana | Duco | Alkaloids, flavonoids, carbohydrates, tannins, and saponins were detected in organic extracts of the plant collected in the Loja province. Isoquercitrin (7) (Figure 2) was isolated from the EtOAc extract [50]. | A direct relationship between the antioxidant capacity and the α-glucosidase inhibitory activity was demonstrated for the EtOAc extract. This extract exhibited the highest antioxidant activity while producing the strongest enzyme inhibitor with an IC50 = 0.90 µg/mL [50]. | |
| Ericaceae | ||||
| Bejaria resinosa Mutis ex L.f. | Pena de cerro | It is used by Saraguros as a first-aid treatment of ailments, such as liver diseases, cancer, swollen wounds, and inflammation of the genital organs. | The triterpenes α-amyrin (8), β-amyrin (9), taraxerol (10), and ursolic acid (11), as well as the flavonoid quercetin-3-O-rahmmnoside (12) (Figure 3), were isolated from organic extracts and identified using NMR techniques [51]. | Isolated compounds and an aqueous extract were tested (MTS assay) against MCF-7 (breast carcinoma), PC-3 (prostate carcinoma), RKO (colon cancer), and D-384 (astrocytoma) human tumor cells. The aqueous extract was active against all these lines, except against MCF-7 cells, whereas ursolic acid (11) was active against all these lines with IC50 ± SEM values (µM) of 10.39 ± 1.46 (D-384), 17.16 ± 8.99 (RKO), 7.43 ± 0.64 (MCF-7), and 12.11 ± 0.52 (PC-3) [51]. |
| Euphorbiaceae | ||||
| Croton ferrugineus Kunth (syn. C. elegans Kunth) | Mosquera | To heal wounds and to treat inflammation, toothache, bronchitis, gout, and rheumatism. | Friedelin (13), cycloeucalenol (14), (+)-pallidine (15), and (+)-O-methyl-pallidine (16) (Figure 3) were identified using spectroscopic techniques [52]. | |
| Croton thurifer Kunth | Mosquera (the name originates from the resin that exudes from the tree) | The exudate latex of the stem bark is used to eliminate warts and to treat wounds, sores and ulcers | (3R,20S)-3,20-dihydroxydam- mara-24-ene 3-O-palmitate (17), (3R,20S)-3,20-dihydroxydam-mara-24-ene 3-O-acetate (18), trans-phytol (19), vomifoliol (20), β-sitosterol (21), trans-tiliroside (22), and sparsifol (23) (Figure 4) were isolated from the plant [53]. | A modest hypoglycemic activity was observed for the EtOAc extract using an α-glucosidase inhibitory activity assay (IC50 of 1.77 mg/mL); furthermore, trans-tiliroside (22) (IC50 = 114.85 μg/mL) and (3R,20S)-3,20-dihydroxydam-mara-24-ene 3-O-acetate (18) (IC50 = 292.87 μg/mL) exhibited strong inhibitory activities compared with the positive control acarbose [53]. |
| Croton wagneri Müll. Arg. | Mosquera blanca (white mosquera) | It is used by indigenous communities to cure tonsillitis; reduce stomach acidity; and against diabetes, fever, and gastritis. | The main components of the leaf EO were cis-chrysanthenol (27.5%), myrcene (19.2%), and cis-chrysantenyl acetate (8.6%) [54]. | Moderate antioxidant activity was determined for the EO, with a percentage of DPPH radical scavenging activity of 79.5 ± 2.4% and a ferric-reducing antioxidant power (FRAP) of 292.3 ± 24.0 μM as ascorbic acid equivalents [54]. |
| Fabaceae | ||||
| Dalea mutisii Kunth (syn. D. coerulea (L. f.) Schinz & Tell.) | Iso | To treat pneumonia. | The main components of the flower EO, which was rich in monoterpene hydrocarbons, were α-pinene (42.9%), β-pinene (15.1%), β-phellandrene (12.1%), myrcene (6.7%), and (Z)-β-ocimene (5.4%). The enantiomeric composition of the oil was also determined [55]. | |
| Otholobium mexicanum (L. f.) J.W. (Grimes) | Culen | To treat diarrhea and gastric problems, and as a contraceptive and antibacterial remedy. | Bakuchiol (24), hydroxybaku- chiol (25), daidzin (26), and genistin (27) (Figure 5) were isolated from a leaf methanolic extract and identified using NMR spectroscopy [56]. | In the α-amylase assay, the methanolic extract exhibited moderate inhibitory activity with an IC50 of 470 μg/mL, while inhibition percentages of bakuchiol (24), 3-hydroxybakuchiol (25), and daidzin (26) were less than 25% at the maximum dose that was tested (1 μM). Genistin (27) exhibited poor activity with an IC50 of 805 μM. In the α-glucosidase assay, the methanolic extract exhibited strong inhibitory activity with an IC50 value of 32 μg/mL, while 3-hydroxybakuchiol (25) exhibited moderate inhibitory activity, with an IC50 of 345 μM. Daidzin (26) and genistin (27) exhibited lower inhibitory activity, with IC50 values of 564 and 913 μM, respectively. Bakuchiol (24) exhibited poor inhibitory activity, with an inhibition percentage less than 10% at the maximum dose tested (1 mM) [56]. |
| Elaeocarpaceae | ||||
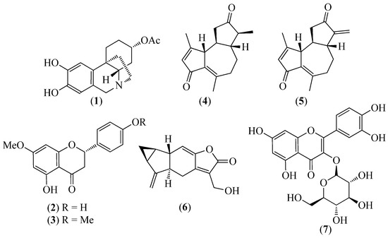
| Vallea stipularis L. f. | Several popular names, depending on the place of growth: chuillur, cugur, rosa, achiotico, achacapuli, and campano are the most common ones | A remedy against gastritis, inflammation, scurvy, and rheumatism. | The flavonoid glycoside trans-tiliroside (22) (Figure 4) was isolated from the leaves [1]. | trans-Tiliroside (22) showed an interesting selective BuChE inhibitory activity (IC50 = 52.9 μM) [1]. |
| Hypericaceae | ||||
| Hypericum decandrum Turcz. Hypericum laricifolium Juss. Hypericum quitense R. Keller | Bura chica (Azuay province), matikillkana, bura de llano, san Juan, romerillo | H. laricifolium is mainly used to cure antibacterial infections. | Research was performed with the aims to (i) develop a predictive model for the antibacterial potential of the genus Hypericum using HPLC fingerprints of H. laricifolium, H. quitense, and H. decandrum that were collected in the Andean regions of Azuay, Loja, and Cañar (Ecuador); and (ii) evaluate the influence of natural variables, such as the altitude and soil composition on the pharmacological effect of lipophilic extracts of H. laricifolium. They exhibited high antibacterial activity, with the pH, soil components, and organic matter as the main factors that influenced the activity; furthermore, no relationship was found between altitude and the antibacterial effects. The prediction model that was obtained did not have predictive ability for different Hypericum species, which could be explained by the differences in the chemical compositions of the three species [57]. | |
| Lamiaceae | ||||
| Clinopodium brownei (Sw.) Kuntze | Poleo chico or poleo warmi chico in Kichwa | Poleo warmi is used by the Saraguros as a digestive and to relieve the discomfort of menstrual colic. It is also considered an effective expectorant agent, and a remedy to cure colds, flu, cough, bronchitis and asthma | Thirty-one components, accounting for 96.15% of the oil that was hydrodistilled from the plant, were identified using GC/MS. The main components were pulegone (48.44%), menthone (34.55%), and β-acorenol (3.41%). Oxygenated monoterpenes (86.06%), followed by oxygenated sesquiterpenes (5.36%), constituted the most abundant fractions. The enantiomeric compositions of β-pinene, sabinene, 3-octanol, menthone, pulegone, and methyl acetate were determined using enantioselective GC/MS [58]. (−)-Menthone showed the highest enantiomeric excess (ee = 83.4%) [58]. | In in vitro tests, the EO showed high selective inhibitory activity against BuChE, with an IC50 = 13.4 ± 1.8 mg/mL. In contrast, it was weakly active against AChE with an IC50 > 250 µg/mL [58]. |
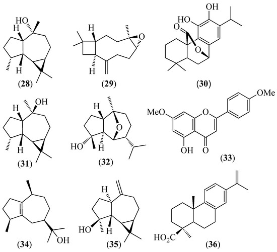
| Lepechinia heteromorpha (Briq.) Epling | Shalshon or zhalshon in Kichwa | Twenty-five constituents were identified in the leaf EO using GC/FID and GC/MS. (−)-Ledol (28) (21.2%) and (−)-caryophyllene oxide (29) (1.0%) (Figure 6) were also isolated and their structures were confirmed using NMR spectroscopy. Other main constituents of the EO were viridiflorene (27.3%), (E,E)-farnesene (1.4%), spirolepechinene and (E)-caryophyllene (7.1% each), allo-aromadendrene (6.1%), camphor (1.7%), limonene (1.3%), and β-phellandrene (4.6%). The enantiomeric excesses and distribution of α-pinene, limonene, β-phellandrene, and camphor were also determined [59]. | ||
| Lepechinia mutica (Benth.) Epling | Shalshon in Kichwa or casa casa in Spanish | Espanto (startle) | Seventy-nine components, accounting for 97.3% of the sample, were identified and quantified using GC/FID and GC/MS in the EO from the leaves. Sesquiterpene hydrocarbons (38.50%) and monoterpene hydrocarbons (30.59%) were the most abundant volatiles, whereas oxygenated sesquiterpenes (16.20%) and oxygenated monoterpenes (2.10%) were the minor components. Moreover, the most important odorants, from the sensory point of view, were identified using aroma extract dilution analysis (AEDA) GC/O. α-Pinene, β-phellandrene, and dauca-5,8-diene exhibited characteristic woody, herbaceous, and earthy odors, respectively. Twelve enantiomeric pairs and two enantiomerically pure chiral monoterpenoids were revealed using enantioselective GC analysis of the oil. The enantiomeric excesses varied from a few percent units to virtually 100% [60]. Ursolic acid (8), oleanolic acid (9) (Figure 3), carnosol (30), viridiflorol (31), chrysothol (32), and 5-hydroxy-4′,7-dimethoxy flavone (33) (Figure 6) were identified in the non-volatile fraction from the leaves of the plant. Their structures were determined using X-ray diffraction and NMR and MS techniques [60]. The chemical compositions of the EOs from the flowers and the leaves were similar, except for several minor components. The main constituents (>4%) of the flower EO were δ-3-carene (24.23%), eudesm-7(11)-en-4-ol (13.02%), thujopsan-2-α-ol (11.90%), β-pinene (7.96%), valerianol (5.19%), and co-eluted limonene and β-phellandrene (4.47%). Enantiomeric pairs of α-thujene, β-pinene, sabinene, α-phellandrene, limonene, and β-phellandrene were identified using enantioselective analysis on a β-cyclodextrin column [61]. | The leaf EO exhibited moderate in vitro activity against five fungal strains, with it being especially effective against Microsporum canis, which is a severe zoophilic dermatophyte that is a causal agent of pet and human infections [60]. The diterpene carnosol (30) (Figure 6) exhibited high activity against the “blast disease” that is caused by the fungus Pyricularia oryzae [61]. The minimum inhibitory concentration (MIC) and the minimum fungicidal concentration (MFC) values of carnosol (30) against this fungus were very close to those of the well-known pesticide flutriafol [61]. Moreover, carnosol (30) showed a promising selective inhibitory activity of the enzyme BuChE (5.15 M, in comparison with 8.568 ± 0.570 M of the positive control donepezil) [1]. |
| Lepechinia paniculata (Kunth) Epling | Yayllon or llanllum in Kichwa | The buds are tied at the forehead for treating the “mal de aire”, a sort of evil eye, and against headache, while flower infusions are used to treat nervous diseases. | Column chromatographic separation of the leaf EtOAc extract afforded ledol (28), (−)-caryophyllene oxide (29), (−)-carnosol (30), and guaiol (34) (Figure 6) [59]. In another work, 40 and 29 compounds were identified in the EOs that were steam distilled from the leaves and the flowers, respectively. The main components of the oils were 1,8-cineole, β-pinene, δ-3-carene, α-pinene, (E)-caryophyllene, guaiol (34), and β-phellandrene [62]. | The flower EO showed interesting inhibitory activity against the enzymes AChE (IC50 = 28.2 ± 1.8 2 µg/mL) and BuChE (IC50 = 28.8 ± 1.5 µg/mL). By contrast, the leaf EO showed moderate inhibitory activity against the two enzymes, with IC50 values of 38.2 ± 2.9 µg/mL (AChE) and 47.4 ± 2.3 µg/mL (BuChE) [62]. |
| Lepechinia radula (Benth.) Epling | Shalshon or zhalshon in Kichwa | The leaves are used to treat “mal de aire” and aches in muscles and bones | Column chromatographic separation of the leaf EtOAc extract afforded 5-hydroxy-4′,7-dimethoxy flavone (33), spathulenol (35), and angustanoic acid E (36) (Figure 6) [59]. Thirty-four compounds were identified in the EO, accounting for 93.4% of the oil. The main constituents were δ-3-carene (19.9%), β-pinene (17.0%), (E)-β-caryophyllene (9.7%), and (E,E)-α-farnesene (9.4%) [63]. | The EO exhibited strong antifungal activity against Trichophyton rubrum and T. mentagrophytes [63]. |
| Melissa officinalis L. | Toronjil | Relaxant, insomnia | The ethanol extract, which was obtained via maceration of the leaves, was a rich source of essential fatty acids and derivatives, benzenoids, phytosterols, and pentacyclic triterpenes [64]. | On the basis of the literature, most constituents identified using GC/MS showed interesting biological activities, including antimicrobial and antitumor properties [64]. |
| Ocimum campechianum Mill. | Albahaca (basil) or albahaca blanca (white basil) | This plant is used by indigenous population both for culinary and medicinal purposes | The volatile fractions from the methanol and the 70% aqueous ethanol extracts of the aerial parts of the plant were chemically characterized using GC/MS and HPLC-DAD-MS techniques [65]. | The EO, the raw extracts, and the main constituents, namely, eugenol and rosmarinic acid, showed significant IC50 values in the DPPH and ABTS assays. The EO and eugenol also showed remarkable activity against Pseudomonas syringae pv. syringae and moderate effects against Candida spp. clinical isolates, with a possible antimicrobial synergy in association with fluconazole. The extracts and isolated compounds were weakly cytotoxic against a HaCaT cell line (keratinocytes) and non-mutagenic against Salmonella typhimurium TA98 and TA100 strains, indicating safety. The EO was weakly active against human adenocarcinoma alveolar basal epithelial cells (A549 cell line). This evidence suggests a potential use of the crude drug, extracts, and the EO as antioxidant agents in cosmetic formulations and food supplements. In addition, the EO may also have potential applications in plant protection and anti-Candida formulations [65]. |
| Salvia leucantha Cav. | Salvia or salvia morada (Mexican bush sage or velvet sage) | The plant is used in traditional medicine as a remedy to relieve cough, chest, lung, and stomach pains, as well as a garden plant | Six main compounds, namely, 6,9-guaiadiene (19.14%), (E)-caryophyllene (16.80%), germacrene D (10.22%), (E)-β-farnesene (10.00%), bicyclogermacrene (7.52%), and bornyl acetate (14.74%), were identified using GC/MS and GC/FID in the EO that was steam distilled from the aerial parts. Four pairs of enantiomers were determined using enantioselective GC/MS on the EO. (−)-Germacrene D and (+)-α-pinene showed the highest ee [66]. | In an in vitro assay, the EO exhibited interesting inhibitory activity of the enzyme BuChE, with an IC50 = 32.60 µg/mL, which was the best value that was determined for an oil from a Salvia species. In contrast, the oil was weakly active against AChE, with an IC50 > 250 µg/mL [66]. |
| Salvia pichinchensis Benth. | Matico de cerro or quinde- sungana-mangapaque | The leaves are used for curing kidney and liver disorders, headache and to treat the infection of external wounds | cis-Cadina-1(6), 4-diene (17.11%), γ-curcumene (13.75%), (E)-caryophyllene (12.58%), (E, E)-α-farnesene (10.00%), α-gurjunene (9.46%), and allo-aromadendrene (6.96%) were identified as the main components of the EO distilled from the aerial parts [67]. | The EO showed interesting selective inhibitory activity against the enzyme BuChE (IC50 = 50.70 μg/mL) and only low inhibitory activity against AChE (IC50 = 117.60 μg/mL) [67]. |
| Salvia sagittata Ruiz & Pav. | Salvia, salvia hoja de flecha | To treat inflammation and different intestinal ailments, fever, influenza, gastritis, cuts, and bumps | The effects of an ethanolic extract of S. sagittata (SSEE) on primary cultures of porcine aortic endothelial cells (pAECs) were investigated. The cells were cultured in the presence of different concentrations (1–200 μg/mL) of SSEE for 24 h, and the cytotoxicity was evaluated using a 3-(4,5-dimethyl-2- thiazolyl)-2,5-diphenyl-2-H-tetrazolium bromide (MTT) assay. SSEE did not adversely affect the cellular viability at any tested concentration. No significant change was observed in the cell cycle. The anti-inflammatory effects of SSEE on pAECs were analyzed using a lipopolysaccharide (LPS) as the inflammatory stimulus. Different markers that were involved in the inflammatory process, such as cytokines and protective compounds, were evaluated using real-time quantitative PCR and Western blots. SSEE showed the ability to restore pAEC physiological conditions by reducing interleukin-6 and increasing heme oxygenase-1 protein levels. The phytochemical composition of SSEE was also evaluated via HPLC/DAD and spectrophotometric assays. The presence of different phenolic acids and flavonoids was revealed, including rosmarinic acid as the most abundant component. SSEE possessed an interesting antioxidant activity, as assessed using the oxygen radical absorbance capacity (ORAC) and DPPH assays. In conclusion, SSEE was suggested to have in vitro anti-inflammatory effects. This finding represents the initial step toward possible scientific support for the traditional therapeutic use of the plant [68]. | |
| Lauraceae | ||||
| Ocotea quixos (Lam.) Kosterm. | Ishpingo | In the preparation of aromatic beverages to which different health benefits are attributed. | A total of 112 volatiles were identified in the leaf EO, among which, 1,8-cineole (21.4%) and p-cymene (12.6%) predominated [69]. Another study demonstrated the variability of the chemical composition of the EO isolated from Amazonian O. quixos. Forty-seven compounds were identified using GC/MS and GC/FID, which represented between 97.17 and 99.89% of the oil composition. The constituents were grouped in aliphatic sesquiterpene hydrocarbons (33.03–55.89%), oxygenated monoterpenes (1.97–39.66%), and other compounds (8.94–47.83%). The main constituents were (E)-cinnamyl acetate (5.96–41.65%), (E)-methyl cinnamate (0.38–37.91%), and (E)-caryophyllene (8.77–37.02%). Statistical analysis suggested the existence of two EO chemotypes and a direct correlation between the environmental conditions and the chemical composition of the oils [70]. | The EO showed moderate antioxidant activity in the DPPH and the FRAP assays. Concerning the oil antimicrobial activity, the MICs were 0.5 μL/L for Staphylococcus aureus, 0.05 μL/L for Bacillus subtilis, 5 μL/L for Escherichia coli, 0.05 μL/L for Salmonella enteritidis, 0.5 μL/L for Aspergillus niger, and 0.5 μL/L for Pennicillium citrinum [69]. In another investigation, the leaf EO was used to predict the termiticidal and repellent effects on termites Nasutitermes corniger using a one-factor response surface methodology design. The variable that was analyzed was the concentration of the EO in EtOH at an interval of 0.05–0.3% for the anti-termite activity and between 0.01 and 0.12% for the repellent action. A 100% mortality rate was found at oil concentrations > 0.12%, while the effect was 22.2% at the minimum concentration analyzed. Moreover, 100 and 48.9% of the termites were repelled by the oil at concentrations of 0.12 and 0.01%, respectively. Forty-two compounds, 39 of which were identified, were detected in the leaf EO, which was analyzed using GC/MS. The main compounds were (E)-cinnamyl acetate (36.44%), (E)-cinnamaldehyde (27.03%), (E)-β-caryophyllene (5.21%), and (E)-methyl isoeugenol (4.18%) [71]. |
| Lecythudaceae | ||||
| Grias neuberthii J.F. Macbr. | Pitón in Pastaza province | Presumed antiproliferative activity against tumor cells. | The cytotoxic effects of leaf, seed, fruit, stem, and bark extracts on colon carcinoma cells RKO (normal p53) and SW613-B3 (mutated p53) were investigated. The stem bark methanolic extract exhibited the highest cytotoxic potential. Moreover, the cytotoxic effect was similar on both cell lines, indicating that it was independent of the status of p53. However, RKO cells were more sensitive than SW613-B3 cells. No evidence for apoptotic markers was recorded; nevertheless, both cell lines showed signs of autophagy after the treatment, including increased Beclin-1 and LC3-II and decreased p62. Lupeol (37), 3′-O-methyl ellagic acid 4-O-β-D-rhamnopyranoside (38), and 19-α-hydroxyasiatic acid 27-O-β-D-glucopyranoside (39) (Figure 7) were identified as the compounds that were likely responsible for the activity [72]. | |
| Loranthaceae | ||||
| Gaiadendron punctatum (Ruiz & Pav.) G. Don. | Violeta de campo (field violet) | In the traditional medicine of the Saraguro community. | Five quercetin glycosides and one kaempferol glycoside were isolated from hydroalcoholic extracts of leaves and flowers. In addition to nicotiflorin (40) from flowers, rutin (41) from flowers and leaves, and artabotryside A (42) from leaves, three novel quercetin glycosides were isolated: hecpatrin (43) and gaiadendrin (44) from the leaves, and puchikrin (45) from the flowers (Figure 7) [73]. | The leaf hydroalcoholic extract exhibited antimicrobial activity against Micrococcus luteus, Staphylococcus aureus, and Enterococcus faecalis, whereas the flower hydroalcoholic extract was only active against Micrococcus luteus. In striking contrast, flavonoid glycosides were weakly active against bacteria. Moreover, the hydroalcoholic extracts and the flavonoids inhibited the activity of α-glucosidase in a dose-dependent manner. Nicotiflorin (40) rutin (41) and gaiadendrin (44) were competitive α-glucosidase inhibitors, while hecpatrin (43) was a non-competitive inhibitor [73]. |
| Lycopodiaceae | ||||
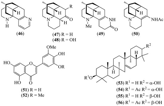
| Huperzia brevifolia (Grev. & Hook.) Holub Huperzia columnaris B. Øllg. Huperzia compacta (Hook.) Trevis. Huperzia crassa (Humb. & Bonpl. Ex Willd.) Rothm. Huperzia espinosana B. Øllg. Huperzia tetragona (Hook. & Grev.) Trevis. Huperzia weberbaueri (Hieron. & Herter ex Nessel) Holub | Waminga verde (green waminga), waminga oso (bear waminga), waminga roja (red waminga), waminga amarilla (yellow waminga), waminga oso warmi (female bear waminga), trencilla roja (red trencilla), or waminga suca (light grey waminga) | Considered sacred by the Saraguros [4], these plants are widely used as intestinal purgative remedies and in ritual ceremonies. Mixed with other plants, some species also induce a state of trance or hallucinations in participants in magical–religious rituals [4]. | GC/MS analysis of the volatile alkaloidal fractions led to the identification of a few lycodine-type and lycopodine-type alkaloids (46–50) (Figure 8) in H. compacta, H. columnaris, and H. tetragona. The flavones selgin (51) and tricin (52) (Figure 8) were isolated from H. brevifolia and H. espinosana, and tricin (52) was also detected in the other five species. The rare serratene triterpenes serratenediol (53), serratenediol-3-O-acetate (54), 21-episerratene-diol (55), and 21-episerratenediol 3-O-acetate (56) (Figure 8) were isolated from H. crassa. In addition, the presence of unprecedented high-molecular-weight alkaloids was determined. An analytical UHPLC-UV-MS method for the quantification of tricin (52) in the extracts of Huperzia plants was also described [74]. | The significant AChE and monoamine oxidase A (MAO-A) inhibitory activity of the alkaloidal fractions from H. brevifolia, H. compacta, H. espinosana, and H. tetragona may support the use of these plants to prepare brews that induce psychoactive effects in participants in magical–religious ceremonies [4]. The unusually high amount of tricin (52) in H. brevifolia and H. compacta is remarkable, where this flavone is considered a potent selective inhibitor of different cancer cell lines and a potential colorectal cancer chemopreventive agent [74]. |
| Malvaceae | ||||
| Malva pseudolavatera Webb & Berthel. Malva sylvestris L. | Malva (mallow), malva loca, malva alta, malva lisa, or malva mayor | Mucolytic | The hexane and the 80% hydroalcoholic extracts of the leaves were analyzed using GC/MS. The phytochemical contents of the two species were similar and included fatty acids, diterpenes and triterpenes, phytosterols, and abundant amino acids [75]. | The leaf aqueous extracts of the two species showed an important mucolytic effect, confirming the traditional use. Thus, the two Malva extracts are potential sources of vegetable material for research and development of phytotherapeutic products with mucolytic and gastroprotective activities [75]. |
| Myrtaceae | ||||
| Eucalyptus globulus Labill. | Eucalipto (eucalyptus) | The leaves are used to treat colds, flu, and coughs | Two EOs were isolated, with yields of 0.17 and 0.15% (v/m), respectively, via hydrodistillation of leaves collected in the canton Cañar, in the regions Moyancón and Chorocópte at altitudes of 1347 and 3191 m above sea level, respectively. Ninety-nine compounds were identified and quantified in the oils using GC/MS and GC/FID. The compositions of the two EOs were not significantly different, with 1,8-cineole and α-pinene being the main components [76]. | The EO from the Moyancón region showed moderate antibacterial activity against Staphylococcus aureus, Streptococcus pyogenes, and Escherichia coli [76]. |
| Myrcia mollis (Kunth) DC. | Geberber | The fruits are edible | A total of 22 compounds were identified in the EO. The main components (>5.0%) were α-pinene (27.7–29.2%), β-pinene (30.0–31.3%), myrcene (5.0–5.2%), 1,8-cineole (8.5–8.7%), and linalool (7.7–8.2%). The enantiomeric excess of five chiral constituents was determined. (S)-α-pinene and (+)-germacrene D were enantiomerically pure. β-Pinene, 1,8-cineole, γ-terpinene, terpinolene, linalool, and (E)-β-caryophyllene were mainly responsible for the aroma of the oil [77]. | |
| Myrcia splendens (Sw.) DC. (syn. M. fallax (Rich.) DC.) | Capulincillo | The main components of the EO were trans-nerolidol (67.81%) and α-bisabolol (17.51%) [78]. | The EO cytotoxic activity was tested (MTT) against MCF-7 (breast), A549 (lung) human tumor cell lines, and a HaCaT (human keratinocytes) non-tumor cell line. A promising selective and efficient activity was observed against the MCF-7 cell line (IC50 = 5.59 ± 0.13 g/mL at 48 h), which was mainly due to the high content of α-bisabolol in the oil. Weak antibacterial effects against Gram-positive and Gram-negative bacteria were observed using a high-performance thin-layer chromatography (HPTLC) bioautographic assay and the microdilution method; trans-nerolidol and β-cedren-9-one were mainly responsible for the activity. Equally negligible was the radical scavenging activity, which was measured using the HPTLC bioautographic and spectrophotometric DPPH tests. In contrast, the minimum inhibitory concentration (MIC) values against some phytopathogen strains were remarkable [78]. | |
| Myrcianthes fragrans (Sw.) McVaugh | Arrayán aromático | A natural aromatic additive that is used in the preparation of the traditional fruit juice colada morada, which is typically drunk on the Day of the Dead or All Souls´ Day. | EOs were hydrodistilled from aerial parts that were collected at Cerro Villonaco (Loja-Ecuador) at different phenological growth stages, i.e., during foliation (Fo), flowering (Fl), and fruiting (Fr) periods. A total of 37, 46, and 38 compounds, accounting, respectively, for 96.5, 96.2, and 95.6% of the Fo, Fl, and Fr oils, were identified using GC/MS and GC/FID. Oxygenated monoterpenes were the main components with percentages of 63.1 (Fo), 49.4 (Fl), and 61.9% (Fr), respectively. The main constituents of the oils were the monoterpene aldehydes geranial and neral, the content of which depended on the phenological development stage of the plant, spanning from 31.1 and 23.6% (Fo), to 23.6 and 17.8% (Fl), and 29.7 and 24.3% (Fr), respectively. The high concentration of the mixture of the two aldehydes (citral) makes the aroma of colada morada prepared in southern Ecuador quite different from the aromas of the same beverage made in other regions of the country [7]. | The pleasant aromatic properties and the good in vitro antimicrobial activity of arrayán suggest a plausible scientific explanation for the use of the plant to aromatize a traditional beverage and as a natural anti-infective and anti-yeast agent. The EO may become a novel rich source of the important industrial chemical citral [7]. |
| Myrcianthes hallii (O. Berg) McVaugh | Arrayán or arrayán de Quito | As an antiseptic | Thirty-eight compounds were identified in the hydro-methanol extract using ultra-high-performance liquid chromatography (UHPLC) that was hyphenated to heated electrospray ionization MS and UV detectors. They included polyphenols and organic acids [79]. | The hydro-methanol extract showed modest antibacterial activity against methicillin-resistant and methicillin-susceptible Staphylococcus aureus and multidrug-resistant and susceptible Pseudomonas aeruginosa, Enterococcus spp., and Streptococcus pyogenes strains, with the exception of E. coli, which was found to be less sensitive. Interestingly, no relevant differences were observed between methicillin-susceptible and methicillin-resistant strains. Considering the long-standing use of the plant in folk medicine, suggesting the relative safety, the mixture of plant polyphenols has potential interesting bio-medical applications as a natural antiseptic agent through the incorporation in new anti-infective biomaterials and nanomaterials [79]. |
| Myrcianthes myrsinoides (Kunth) grifo | Arrayán | Toothache | A total of 58 compounds were identified in the EO using GC/MS and GC/FID. The main components (>5.0%) were limonene (5.2–5.3%), 1,8-cineole (10.4–11.6%), (Z)-caryophyllene (16.6–16.8%), trans-calamenene (14.6–15.9%), and spathulenol (6.2–6.5%). α-Pinene, β-pinene, (+)-limonene, γ-terpinene, terpinolene, linalool, β-elemene, and spathulenol were identified using the gas chromatography-olfactometry (GC/O) technique as the compounds responsible for the aromatic profile. The enantiomeric excess of eight chiral constituents was determined using enantioselective GC, whereas (+)-limonene and (+)-germacrene D were enantiomerically pure [77]. | The EO showed interesting cholinesterase inhibitory activity (IC50 = 78.6 μg/mL against AChE and IC50 = 18.4 μg/mL against BuChE) [77]. |
| Myrteola phylicoides (Benth.) Landrum | Romero blanco de cerro or romero de cerro | For the treatment of fever, cold, measles and “mal aire” (a supernatural disease caused by strong winds) | Thirty-seven compounds, representing 90.30% of the total content, were identified in the EO that was hydro-distilled from the plant. Monoterpene hydrocarbons (53.06%) and sesquiterpene hydrocarbons (35.24%) were the major groups. The main components were α-pinene (30.94%), (E)-caryophyllene (21.93%), β-pinene (14.45%), and α-humulene (9.56%) [80]. | The EO showed weak in vitro inhibitory activity against AChE (IC50 = 60.8 μg/mL) and very low BuChE inhibitory activity (IC50 > 250 μg/mL) [80]. |
| Orchidaceae | ||||
| Maxillaria densa Lidl. | Orquídea de mandíbulas | Antispasmodic and antidiarrheal remedy, and to treat stomach pains; also used as an ornamental plant. | Phenanthrene derivatives were found in methanol and chloroform extracts [81]. | Spasmolytic, antinociceptive, anti-inflammatory, and vasorelaxant activities were reported [81]. |
| Oxalidaceae | ||||
| Oxalis tuberosa Molina | Oca | Remarkable anti-inflammatory properties; used to treat fever, earache, and dermatitis. | The antioxidant activity (µM TE/mg) of a tuber extract was 75.1 ± 6.2 in an ABTS test and 94.7 ± 18.1 in a DPPH assay [20]. | |
| Onagraceae | ||||
| Fuchsia hybrida hort. Ex Siebert & Voss | Pena pena | Relaxant and disinfectant remedy. | The alkaloidal extract exhibited an IC50 value of 90 µg extract/mL and 160 µg extract/mL in ABTS and DPPH assays, respectively [20]. | |
| Ludwigia peruviana (L.) H. Hara | Mejorana de campo | Diuretic and part of a treatment for kidney problems. | The methanolic extract showed an IC50 = 80 µg extract/mL and an IC50 = 90 µg extract/mL in ABTS and DPPH assays, respectively [20]. | |
| Passifloraceae | ||||
| Passiflora ligularis Juss. | Granadilla | External and internal inflammation, hepatic pain, high cholesterol, scurvy, and high blood pressure | The main components of the EOs from shells, juice, and seeds were squalene (34.92%), pentadecanal (15.28%), and ionol (19.16%), respectively. These phytochemical findings might provide added value to the fruit waste and improve the production chain [82]. | Extracts of species belonging to this family showed antifungal, antioxidant, and antibacterial activities. |
| Piperaceae | ||||
| Peperomia inaequalifolia Ruiz & Pav. | Congona, conguna, tigresillo | Analgesic, antiparasitic, and sedative effects. When mixed with other plants, it is used to make a traditional drink called horchata. | Safrole (32.10%), 11-αH-himachal-4-en-1-β-ol (25.29%), myristicin (13.29%), elemicin (10.07%), and viridiflorol (5.24%) were found in the EO isolated from fresh leaves [83]. | The EO showed an interesting antiradical activity in a DPPH test (IC50 = 2.220 ± 0.06 mg/mL), antioxidant activity in a photochemiluminescence (PCL) assay (82.8 µM TE g−1), antibacterial effects against the Gram-positive bacteria Staphylococcus aureus and Streptococcus mutans (MIC = 0.10 mg/mL for each strain), and antifungal activity against the yeasts Candida tropicalis and C. albicans (MIC = 0.10 mg/mL for each microorganism) [83]. |
| Piper barbatum Kunth | Cordoncillo allupa | Used by Quichua communities as an antibacterial agent. | The main constituents that were identified in the EO hydrodistilled from the leaves were α-phellandrene (43.16%), trans-sesquisabinene hydrate (8.23%), elemol (7.21%), and limonene (7.04%) [84]. | The EO showed moderate antimicrobial activity against Staphylococcus aureus (MIC = 264 µg/mL), Streptococcus mutans (MIC = 132 µg/mL), Candida albicans (MIC = 132 µg/mL), and C. tropicalis (MIC = 264 µg/mL). In addition to elemol (57) and trans-sesquisabinene hydrate (58) (Figure 9), the major contribution to the antimicrobial activity was due to two minor sesquiterpene alcohols that were present in the EO, namely, β-eudesmol (59) (3.49%) and 10-epi-γ-eudesmol (60) (1.07%) (Figure 9) [84]. |
| Piper carpunya Ruiz & Pav. (syn. Piper lenticellosum C. DC.) | Guaviduca | Used in the preparation of a traditional drink called guaviduca. | Twenty-eight components were identified in the EO that was hydrodistilled from fresh leaves and spikes; the main ones were piperitone (33.97%), 1,8-cineole (11.92%), limonene (11.07%), safrole (8.18%), and α-pinene (4.49%). Hydrodistillation of leaves and liquid–liquid extraction of guaviduca afforded two EOs. The main constituents were 1,8-cineole in the leaf oil, with a percentage ranging from 25.20% in a winter sample to 17.45% in a summer one, and safrole in the traditional beverage, with a percentage ranging from 2.43% in a winter sample to 13.18% in a summer one. In addition, the enantiomeric pairs of sabinene, phellandrene, linalool, and α-terpineol were detected using enantioselective analysis [85]. | The EO antibacterial activity was evaluated against Staphylococcus aureus (MIC = 100 µL/mL), Escherichia coli (MIC = 200 µL/mL), and Klebsiella pneumoniae (MIC = 300 µL/mL) [85]. The leaf EO exhibited high AChE inhibitory activity (IC50 = 36.42 ± 1.15 µg/mL) [11]. |
| Piper coruscans Kunth | Matico | The leaves are used as a purgative. | Fifty-two constituents were identified in the EO, of which, the main ones were (E)-β-caryophyllene (61) (24.1–25.0%) (Figure 9), α-humulene (11.6–12.0%), caryophyllene oxide (29) (9.3–10.9%), linalool (4.5–5.2%), humulene epoxide II (3.6–4.1%), (E)-nerolidol (62) (3.7–4.0%) (Figure 9), α-copaene (3.7–3.9%), α-muurolol (3.4–3.7%), α-selinene (3.4–3.5%), and β-selinene (3.1–3.3%). Five enantiomer pairs were identified in the EO; the main stereoisomers were (1S,5S)-(−)-α-pinene (60.0–69.6%), (1S,5S)-(−)-β-pinene (5.2–7.2%), (R)-(−)-α-phellandrene (72.5–78.2%), (R)-(+)-limonene (28.6%), and (R)-(−)-linalool (1.8–3.1%). Chemical analysis of the hydrolate showed the presence of linalool with a concentration of 12.3–15.7 mg/100 mL [86]. | |
| Piper ecuadorense Sodiro | Matico de monte | Disinfectant, healing of wounds | The main components of the EO were bicyclogermacrene (12.98%), 3-thujopsanone (11.59%), α-phellandrene (6.89%), (E)-nerolidol (62) (6.88%), δ-elemene (6.83%), and shyobunol (5.79%) [87]. The flavanone pinocembrin (63) (Figure 9) was isolated from a leaf aqueous extract; the pinocembrin content in a leaf ethanolic extract was estimated to be 6.64 ± 0.17 µg/mL using an HPLC-DAD method [88]. | The EO showed significant antimicrobial activity against Staphyloccocus aureus (MIC = 250 µg/mL) and remarkable effects against Trichophyton mentagrophytes and T. rumbus (MIC = 62.5 µg/mL). The antioxidant activity of the oil had an IC50 = 1.81 ± 0.09 mg/mL (ABTS) [87]. Pinocembrin (63) exhibited antitumor, antimicrobial, anti-inflammatory, and antioxidant properties. |
| Piper lanceifolium Kunth | Matico, hoja de platanillo | A leaf aqueous infusion is taken as a bath to treat skin infections and a leaf decoction mixed with a little alcohol is drunk to treat headache and body pain. | The flavanone sakuranetin (64) and two benzoic acid derivatives, namely, lanceaefolic acid methyl ester (65) and cyclolanceaefolic acid methyl ester (66) (Figure 9), were isolated from the EtOAc extract of dried leaves. Thirty-five compounds were identified in the volatile fraction of the plant, whose main constituents were safrole (48.3%), apiole (13.6%), γ-terpinene (4.1%), (E)-β-ocimene (3.9%), and epi-α-cadinol (2.9%) [89]. | The EO showed moderate antibacterial activity against Klebsiella pneumoniae (MIC = 500 µg/mL) [89]. |
| Piper pseudochurumayu Ruiz & Pav. | Ámbar ámbar or matico | Used to provide analgesic, diuretic, digestive, dermatological, anthelmintic, antirheumatic and antidiarrheal effects and treat respiratory infections. | The extract exhibited an antioxidant capacity of 790.1 ± 1.3 and 949.3 ± 11.8 µM TE/mg extract in ABTS and DPPH assays, respectively [20]. | |
| Piper pubinervulum C. DC. | Matico | Used by the indigenous communities living in the Morona Santiago province as an antirheumatic and analgesic remedy, and as an antidote for snake bites. | Forty-four constituents were identified in the EO, whose main components were β-caryophyllene (61) (13.18%), γ-asarone (67) (8.81%), nerolidol (62) (8.54%), and isoeugenol methyl ether (68) (7.56%) (Figure 9) [90]. | The EO exhibited high antifungal activity against Candida tropicalis (MIC = 0.77 mg/mL) and C. albicans (MIC = 0.33 mg/mL) [90]. |
| Piper subscutatum (Miq.) C. DC. | Matico de monte | Treat wounds | The main components that were identified in the volatile fraction were (E)-β-caryophyllene (61) (25.2–25.3%), β-chamigrene (7.8–10.3%), (E)-nerolidol (62) (7.7–8.1%), β-selinene (7.2–7.7%), δ-cadinene (2.7–3.9%), bicyclogermacrene (2.4–3.7%), and β-pinene (2.6–3.4%). Four pairs of enantiomers were determined in the EO using enantioselective GC/MS analysis. The main enantiomers were (1R,5R)-(+)-α-pinene (ee 28.8%), (1S,5S)-(–)-β-pinene (ee 77.8%), (S)-(–)-limonene (ee 18.4%), and (1R,2S,6S,7S,8S)-(–)-α-copaene (ee 6.0%). The main compounds that were present in the hydrolate were 6-methyl-5-hepten-2-one (63.7–64.4%) and linalool (6.5–6.0%). Five lignans were isolated from the nonvolatile fraction and identified as (–)-beilshminol B (69), (–)-grandisin (70), (–)-3′,4′-methylenedioxy-3,4,5-trimethoxy-7,7′-epo-xylignan (71), (–)-3′,4′-methylenedioxy-3,4,5,5′-tetramethoxy-7,7′-epoxylignan (72), and (–)-3,4,3′,4′-dimethylene-dioxy-5,5′-dimethoxy-7,7′-epoxylignan (73) (Figure 10) [91]. | |
| Sarcorhachis sydowii Trel. | Called omentaca by the Huaorani people | To prevent tooth decay. | Together with a small amount of safrole (0.74%), (E)-caryophyllene (61) (25.07%), α-humulene (10.48%), α-selinene (7.58%), β-selinene (6.08%), and α-phellandrene (5.37%) were the main constituents of the EO [92]. | The EO showed strong antifungal activity against Trichophyton rubrum and T. mentagrophytes (both with an MIC of 500 µg/mL) and high antiradical activity (IC50 = 950 and 800 µg/mL in DPPH and ABTS assays, respectively) [92]. The alkaloidal extract exhibited stronger antiradical activity with IC50 values of 70 and 100 µg/mL in ABTS and DPPH assays, respectively [20]. |
| Polygonaceae | ||||
| Muehlenbeckia tamnifolia (Kunth) Meisn. | Anku yuyu lutu yuyu | To treat kidney diseases and toothache, and as an anti-inflammatory agent in combination with other plants. | β-Sitosterol (21), lupeol (37), lupeol acetate (74), cis-p-coumaric acid (75), trans-p-coumaric acid (76), linoleic acid (77), (+)-catechin (78), afzelin (79), and quercitrin (80) (Figure 11) were isolated from the non-volatile fractions. | The hexane extract showed weak α-amylase inhibitory activity (IC50 = 625 µg/mL), while the other extracts and isolated compounds were inactive at the maximum dose tested. The hexane and methanol extracts exhibited strong inhibitory activity against α-glucosidase (IC50 = 48.22 and 19.22 µg/mL, respectively). Linoleic acid (77) (IC50 = 0.42 µM), afzelin (78) (IC50 = 3.56 µM), (+)-catechin (79) (IC50 = 5.50 µM), and quercitrin (80) (IC50 = 7.77 µM) were much stronger inhibitors than acarbose (377 µM) [93]. |
| Proteaceae | ||||
| Oreocallis grandiflora (Lam.) R. Br. | Cucharillo in Loja and Zamora provinces, cucharilla in the Sierra region, gañal in Bolivar, and algil in Chimborazo province | Leaves and flowers are traditionally administered to treat liver diseases, ovary and uterus inflammation, and vaginal bleeding; moreover, they are used to prepare a digestive, diuretic, and hypoglycemic remedy. | Quercetin 3-O-β-glucuronide (81) and myricetin 3-O-β-glucuronide (82) (Figure 12) were isolated from a flower hydroalcoholic extract; in addition to these two flavonoids, quercetin 3-O-rutinoside (83) and isorhamnetin 3-O-rutinoside (84) (Figure 12) were detected in the leaf hydroalcoholic extract [94]. | The leaf extract exhibited high antiradical and anti-inflammatory effects in the DPPH assay (IC50 = 6.69 ± 1.39 µg/mL) and the water-soluble tetrazolium salt WST-1 (IC50 = 4.08 ± 0.07 µg/mL) assay. Quercetin 3-O-β-glucuronide (81) showed an IC50 = 3.73 ± 0.11 µg/mL in a DPPH test [94]. The plant methanolic extract also showed remarkable inhibitory activity against α-glucosidase (IC50 = 2.8 ± 0.4 µg/mL) and α-amylase (IC50 = 161.5 ± 1.3 µg/mL) [19]. These findings justify the traditional medicinal uses of the plant, and suggest the potential use as a source of natural antioxidant, anti-inflammatory, and hypoglycemic products, and as a food supplement [19,94]. |
| Roupala montana Aubl. | Palo de zorrilo | The infusion is used to treat nervous diseases. | Kaur-16-ene (85), linolenic acid (86), and α-tocopherol (87) (Figure 12) were isolated from a hexane extract; kaur-16-ene (85) (77.2%), kaur-15-ene (4.1%), phytol (19) (3.45%), (E)-nerolidol (62) (2.22%), and (5E,9E)-farnesyl acetone (1.2%) were identified as the main constituents of the EO that was steam distilled from dried plants using GC/MS and GC/FID [95]. | |
| Rubiaceae | ||||
| Alibertia sp. | Suu | Anti-inflammatory, analgesic, and antimicrobial remedies. | Hexane extracts of the stems and leaves showed antiradical capacities with values of 58.6 ± 20.6 and 68.5 ± 15.1 µM TE/mg extract in ABTS and DPPH assays, respectively [20]. | |
| Arcytophyllum thymifolium (Ruiz & Pav.) Standl. | Canllye | Aerial parts are used in the Andean region to treat indigestion and colics. | The new coumarins 88–90, the prenyloxy eriodictyol derivative 91, and the iridoids 92 and 93, in addition to known coumarins (94–98), flavonols (99–101), iridoids (102–108), and quinic acid derivatives 109 and 110 (Figure 13), were isolated from the plant [96]. | The flavanone 91 showed potent α-glucosidase inhibitory effect (IC50 = 28.1 ± 2.6 µM), whereas asperulosidic acid (102) (IC50 = 69.4 ± 3.1 µM) and rhamnetin (100) (IC50 = 73.9 ± 5.9 µM) were active against α-amylase. Molecular modeling suggested the interaction of the flavanone 91 at the active site of α-glucosidase [96]. |
| Sapotaceae | ||||
| Mimusops coriacea (A.DC.) Mig. | Manzana de mono (monkey apple) | Analgesic and anti-inflammatory remedies. | Two oils were extracted with hexane from the seeds of green and ripe fruits in a Soxhlet apparatus. Four fatty acids were identified using GC/MS in the saponifiable fraction, among which, 9-octadecanoic acid predominated (61.05%). The main constituents of the unsaponifiable fractions were squalene (81.26%) from green fruits and 3-oxo-urs-12-en-24-oic acid methyl ester (45.13%) from ripe fruits, respectively. Thirty-one compounds, including phenolic derivatives and triterpene saponins, were identified using LC-MS in the hydroalcoholic extracts of green and ripe fruits [97]. | The green fruit extract showed the highest radical scavenging activity (IC50 = 4.99 ± 1.32 and 246.80 ± 6.87 µg/mL in DPPH and ABTS assays, respectively), followed by the ripe fruit extract with values of IC50 = 8.95 ± 1.24 and 250.30 ± 6.19 µg/mL, respectively. As for the anti-inflammatory activity, in a carrageenan-induced foot edema test, the extracts showed inhibition values higher than 50%, which were comparable with the reference drug indomethacin [97]. |
| Siparunaceae | ||||
| Siparuna echinata (Kunth) A. DC. | Limoncillo, amapa, capitiú, or napanga | Fruit and leaf infusions are used to treat digestive disorders and rheumatisms. | α-Pinene (20.3–24.3%), β-pinene (21.7–22.7%), β-myrcene (11.3–14.8%), limonene (10.0-11.3%), cis-ocimene (8.1–8.5%), and trans-ocimene (8.4–8.9%) were identified in the volatile fraction. (+)-α-Pinene was enantiomerically pure, while the enantiomeric excess of (+)-β-pinene was 6.7%. The rare sesquiterpenoid diacetate sipaucin A (111) (Figure 13) was isolated from an EtOAc extract of dried leaves [98]. | |
| Siparuna muricata (Ruiz & Pav.) A. DC. | Limoncillo | Antiacid | Four EOs, which were steam distilled from samples of the plant that were collected at four different localities of Ecuador, were compared using GC/MS and GC/FID. The main components of the sample that was collected at Chuquiribamba were guaiol (34) (14.61%), atractylone (13.21%), and cis-cadina-1(6),4-diene (13.31%); the main components of the sample collected in the Yangana sector were cis-cadina-1(6),4-diene (21.20%) and myrcene (16.57%); atractylone (17.70%), myrcene (12.70%), and germacrene B (12.18%) predominated in the specimen from the Celica sector; whereas, germacrene B (19.65%), myrcene (17.95%), and cis-cadina-1(6),4-diene (7.48%) were the main components of the EO from the plant collected in the Colaisaca sector. The enantiomeric excesses of β-pinene, limonene, δ-elemene, β-bourbonene, and cis-cadina-1(6),4-diene were determined using enantioselective GC. The altitude and the soil and leaf chemical elements influenced the chemical compositions of the EOs [99]. | |
| Solanaceae | ||||
| Datura stramonium L. | Chamico or estramonio (stramonium) | To treat asthma, toothache, and Parkinson’s disease; it is also used as an antiparasitic and analgesic remedy. | The alkaloidal extract exhibited antiradical activity in DPPH (IC50 = 500 µg extract/mL) and ABTS (IC50 > 1 µg extract/mL) assays [20]. | |
| Tropaeolaceae | ||||
| Tropaeolum tuberosum Ruiz & Pav. | Mashua or cubios | To cure kidney and prostate disorders, liver pain, and skin eczemas. | The alkaloidal extract of leaves and stems showed an IC50 = 364.8 ± 18.9 µM TE/mg extract in an ABTS assay and an IC50 = 258.2 ± 38.0 µM TE/mg extract in a DPPH test [20]. | |
| Verbenaceae | ||||
| Lippia citriodora (Palau) Kunth | Cedrón | To flavor drinks, desserts, salads, and as a food seasoning agent; infusions of the leaves and flowers are used to treat respiratory and digestive problems. | Phytochemical screenings indicated the presence of tannins, polyphenols, triterpenes, and unsaturated sterols in the leaves, stems, and flowers; phenylpropanoids and catechins in the stems and flowers; alkaloids in the leaves and flowers; saponins in the leaves and stems; and coumarins and methylene ketones in the flowers. | The ethanolic extracts showed high antibacterial activity against Escherichia coli, Staphylococcus aureus, and Pseudomonas aeruginosa. The flower extract was moderately active against S. aureus. The flower and stem extracts showed high antifungal activity against Candida albicans, while the leaf extract was only moderately active. All the extracts were significantly lethal against Artemia salina after 24 h of exposure; the stem extract presented the highest activity (82.19 µg/mL), followed by the leaf extract (168.77 µg/mL) and the flower extract (172.76 µg/mL) [100]. |
| Zingiberaceae | ||||
| Curcuma longa L. | Turmeric, curcuma, or safran | Turmeric extracts have shown hepatoprotective, antiparasitic, antifungal, and insect repellent activities; the plant is traditionally known for its fungicidal and bactericidal properties, and as a food seasoning agent. | Oxygenated compounds, such as ar-turmerone (45.5%) and α-turmerone (13.4%), and sesquiterpenes and monoterpenes, such as α-zingiberene (5.3%) and α-phellandrene (6.3%), were identified in the EO that was steam distilled from the rhizomes [101]. | Low antioxidant activity was detected for the EO using DPPH and FRAP assays; instead, the EO exhibited good antibacterial activity against Bacillus subtilis, Staphylococcus aureus, and Penicillium citrinum [101]. |
| Renealmia thyrsoidea (Ruiz & Pav.) Poepp. & Endlicher | Shiwanku muyu | A wide range of pharmacological properties, including antimalarial, antipyretic, analgesic, and anti-flu effects, and antidote activity against snake bites. A dye is extracted from the fruits, which is used in rituals by ethnic groups in the Amazon region. | Terpinolene (26.32%), α-phellandrene (17.16%), γ-terpinene (6.55%), β-pinene (5.97%), and p-cymol (4.70%) were the main constituents of the EO [102]. | The EO exhibited strong antimicrobial activity against Escherichia coli and Pseudomonas aeruginosa (MIC = 0.35 mg/mL toward each bacterium) [102]. |
| Zingiber officinale Roscoe | Ginger | To treat dyspeptic disorders and nausea. | Seventy-one compounds were identified in the EO isolated from rhizomes. The main components were citral (neral 9.1% and geranial 10.5%), α-zingiberene (17.4%), camphene (7.8%), (E,E)-α-farnesene (6.8%), and β-sesquiphellandrene (6.7%) [103]. | The EO exhibited immunomodulatory and bronchodilatory effects. In vitro assays showed that the EO was active against the hydroxyl radical (IC50 = 0.0065 µg/mL), ABTS cation radical (IC50 = 3.94 µg/mL), oxygen radical (IC50 = 404.0 µg/mL) and DPPH radical (IC50 = 675 µg/mL); moreover, it had Fe(III)-chelating activity (IC50 = 0.822 µg/mL) and exhibited xanthine oxidase inhibitory activity (IC50 = 138.0 µg/mL). In vivo studies with Saccharomyces cerevisiae showed that the oil blocked the oxidation processes in yeast cells and significantly increased the antioxidant marker enzymes, superoxide dismutase (SOD), catalase (CAT), and glutathione peroxidase (GPx) in a dose-dependent manner. In addition, at a concentration of 1.6 mg/mL, the EO increased cellular viability under H2O2-induced oxidative stress. Thus, the antioxidant ability of ginger EO demonstrated its potential as a food additive and a phytotherapeutic remedy [103]. |
Publisher’s Note: MDPI stays neutral with regard to jurisdictional claims in published maps and institutional affiliations. |
© 2021 by the authors. Licensee MDPI, Basel, Switzerland. This article is an open access article distributed under the terms and conditions of the Creative Commons Attribution (CC BY) license (https://creativecommons.org/licenses/by/4.0/).
Share and Cite
Armijos, C.; Ramírez, J.; Salinas, M.; Vidari, G.; Suárez, A.I. Pharmacology and Phytochemistry of Ecuadorian Medicinal Plants: An Update and Perspectives. Pharmaceuticals 2021, 14, 1145. https://doi.org/10.3390/ph14111145
Armijos C, Ramírez J, Salinas M, Vidari G, Suárez AI. Pharmacology and Phytochemistry of Ecuadorian Medicinal Plants: An Update and Perspectives. Pharmaceuticals. 2021; 14(11):1145. https://doi.org/10.3390/ph14111145
Chicago/Turabian StyleArmijos, Chabaco, Jorge Ramírez, Melissa Salinas, Giovanni Vidari, and Alírica I. Suárez. 2021. "Pharmacology and Phytochemistry of Ecuadorian Medicinal Plants: An Update and Perspectives" Pharmaceuticals 14, no. 11: 1145. https://doi.org/10.3390/ph14111145
APA StyleArmijos, C., Ramírez, J., Salinas, M., Vidari, G., & Suárez, A. I. (2021). Pharmacology and Phytochemistry of Ecuadorian Medicinal Plants: An Update and Perspectives. Pharmaceuticals, 14(11), 1145. https://doi.org/10.3390/ph14111145

