Material Limitations on the Detection Limit in Refractometry
Abstract
:1. Introduction
2. Theory
3. Examples
3.1. Gas Sensing
3.2. Liquid-phase Sensing—General Considerations
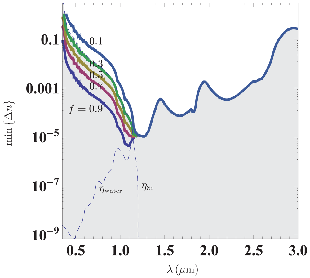
3.3. Liquid-Droplet Resonators
3.4. Liquid-infiltrated Silicon Photonic Crystals
4. Conclusions
Acknowledgments
References
- Psaltis, D.; Quake, S.R.; Yang, C.H. Developing optofluidic technology through the fusion of microfluidics and optics. Nature 2006, 442, 381–386. [Google Scholar]
- Monat, C.; Domachuk, P.; Eggleton, B.J. Integrated optofluidics: A new river of light. Nat. Photonics 2007, 1, 106–114. [Google Scholar]
- Erickson, D. Special issue on “Optofluidics”. Microfluid. Nanofluid. 2008, 4, 1–2. [Google Scholar]
- Schmidt, B.; Almeida, V.; Manolatou, C.; Preble, S.; Lipson, M. Nanocavity in a silicon waveguide for ultrasensitive nanoparticle detection. Appl. Phys. Lett. 2004, 85, 4854–4856. [Google Scholar]
- Erickson, D.; Rockwood, T.; Emery, T.; Scherer, A.; Psaltis, D. Nanofluidic tuning of photonic crystal circuits. Opt. Lett. 2006, 31, 59–61. [Google Scholar]
- Skivesen, N.; Tetu, A.; Kristensen, M.; Kjems, J.; Frandsen, L.H.; Borel, P.I. Photonic-crystal waveguide biosensor. Opt. Express 2007, 15, 3169–3176. [Google Scholar]
- Nunes, P.S.; Mortensen, N.A.; Kutter, J.P.; Mogensen, K.B. Photonic crystal resonator integrated in a microfluidic system. Opt. Lett. 2008, 33, 1623–1625. [Google Scholar]
- Mandal, S.; Erickson, D. Nanoscale optofluidic sensor arrays. Opt. Express 2008, 16, 1623–1631. [Google Scholar]
- White, I.M.; Fan, X.D. On the performance quantification of resonant refractive index sensors. Opt. Express 2008, 16, 1020–1028. [Google Scholar]
- Fan, X.D.; White, I.M.; Shopoua, S.I.; Zhu, H.Y.; Suter, J.D.; Sun, Y.Z. Sensitive optical biosensors for unlabeled targets: A review. Anal. Chim. Acta 2008, 620, 8–26. [Google Scholar]
- Mortensen, N.A.; Xiao, S.S.; Pedersen, J. Liquid-infiltrated photonic crystals: enhanced light-matter interactions for lab-on-a-chip applications. Microfluid. Nanofluid. 2008, 4, 117–127. [Google Scholar]
- Kwon, S.H.; Sunner, T.; Kamp, M.; Forchel, A. Optimization of photonic crystal cavity for chemical sensing. Opt. Express 2008, 16, 11709–11717. [Google Scholar]
- Tomljenovic-Hanic, S.; Rahmani, A.; Steel, M.J.; de Sterke, C.M. Comparison of the sensitivity of air and dielectric modes in photonic crystal slab sensors. Opt. Express 17. 17, 14552–14557.
- Armani, A.M.; Kulkarni, R.P.; Fraser, S.E.; Flagan, R.C.; Vahala, K.J. Label-free, single-molecule detection with optical microcavities. Science 2007, 317, 783–787. [Google Scholar]
- Xu, T.; Wheeler, M.S.; Ruda, H.E.; Mojahedi, M.; Aitchison, J.S. The influence of material absorption on the quality factor of photonic crystal cavities. Opt. Express 2009, 17, 8343–8348. [Google Scholar]
- Arnold, S.; Khoshsima, M.; Teraoka, I.; Holler, S.; Vollmer, F. Shift of whispering-gallery modes in microspheres by protein adsorption. Opt. Lett. 2003, 28, 272–274. [Google Scholar]
- Teraoka, I.; Arnold, S.; Vollmer, F. Perturbation approach to resonance shifts of whispering-gallery modes in a dielectric microsphere as a probe of a surrounding medium. J. Opt. Soc. Am. B 2003, 20, 1937–1946. [Google Scholar]
- Hanumegowda, N.M.; Stica, C.J.; Patel, B.C.; White, I.; Fan, X.D. Refractometric sensors based on microsphere resonators. Appl. Phys. Lett. 2005, 87, 201107. [Google Scholar]
- Jensen, K.H.; Alam, M.N.; Scherer, B.; Lambrecht, A.; Mortensen, N.A. Slow-light enhanced light-matter interactions with applications to gas sensing. Opt. Commun. 2008, 281, 5335–5339. [Google Scholar]
- Querry, M.R.; Wieliczka, D.M.; Segelstein, D.J. Water (H2O). In Handbook of Optical Constants of Solids II; Palik, E.D., Ed.; Academic Press: New York, NY, USA, 1991; pp. 1059–1077. [Google Scholar]
- Azzouz, H.; Alkhafadiji, L.; Balslev, S.; Johansson, J.; Mortensen, N.A.; Nilsson, S.; Kristensen, A. Levitated droplet dye laser. Opt. Express 2006, 14, 4374–4379. [Google Scholar]
- Hossein-Zadeh, M.; Vahala, K.J. Fiber-taper coupling to Whispering-Gallery modes of fluidic resonators embedded in a liquid medium. Opt. Express 2006, 14, 10800–10810. [Google Scholar]
- Kiraz, A.; Dundar, M.A.; Demirel, A.L.; Doganay, S.; Kurt, A.; Sennaroglu, A.; Yuce, M.Y. Single glycerol/water microdroplets standing on a superhydrophobic surface: Optical microcavities promising original applications. J. Nanophotonics 2007, 1, 011655. [Google Scholar]
- Kiraz, A.; Sennaroglu, A.; Doganay, S.; Dundar, M.A.; Kurt, A.; Kalaycioglu, H.; Demirel, A.L. Lasing from single, stationary, dye-doped glycerol/water microdroplets located on a superhydrophobic surface. Opt. Commun. 2007, 276, 145–148. [Google Scholar]
- Mølhave, K.; Kristensen, A.; Mortensen, N.A. Innovative Photonic Structures for Bio/Chemical Detection. In Integrated Microanalytical Systems; Springer: New York, NY, USA, 2009; chapter 17; pp. 471–486. [Google Scholar]
- Edwards, D.F. Silicon (Si). In Handbook of Optical Constants of Solids; Palik, E.D., Ed.; Academic Press Handbook Series; Academic Press: New York, NY, USA, 1985; pp. 547–569. [Google Scholar]
- Bog, U.; Smith, C.L.C.; Lee, M.W.; Tomljenovic-Hanic, S.; Grillet, C.; Monat, C.; O'Faolain, L.; Karnutsch, C.; Krauss, T.F.; Mcphedran, R.C.; Eggleton, B.J. High-Q microfluidic cavities in silicon-based two-dimensional photonic crystal structures. Opt. Lett. 2008, 33, 2206–2208. [Google Scholar]


© 2009 by the authors; licensee Molecular Diversity Preservation International, Basel, Switzerland. This article is an open access article distributed under the terms and conditions of the Creative Commons Attribution license (http://creativecommons.org/licenses/by/3.0/).
Share and Cite
Skafte-Pedersen, P.; Nunes, P.S.; Xiao, S.; Mortensen, N.A. Material Limitations on the Detection Limit in Refractometry. Sensors 2009, 9, 8382-8390. https://doi.org/10.3390/s91108382
Skafte-Pedersen P, Nunes PS, Xiao S, Mortensen NA. Material Limitations on the Detection Limit in Refractometry. Sensors. 2009; 9(11):8382-8390. https://doi.org/10.3390/s91108382
Chicago/Turabian StyleSkafte-Pedersen, Peder, Pedro S. Nunes, Sanshui Xiao, and Niels Asger Mortensen. 2009. "Material Limitations on the Detection Limit in Refractometry" Sensors 9, no. 11: 8382-8390. https://doi.org/10.3390/s91108382
APA StyleSkafte-Pedersen, P., Nunes, P. S., Xiao, S., & Mortensen, N. A. (2009). Material Limitations on the Detection Limit in Refractometry. Sensors, 9(11), 8382-8390. https://doi.org/10.3390/s91108382
