Arrays of Regenerated Fiber Bragg Gratings in Non-Hydrogen-Loaded Photosensitive Fibers for High-Temperature Sensor Networks
Abstract
:1. Introduction
2. Experiments
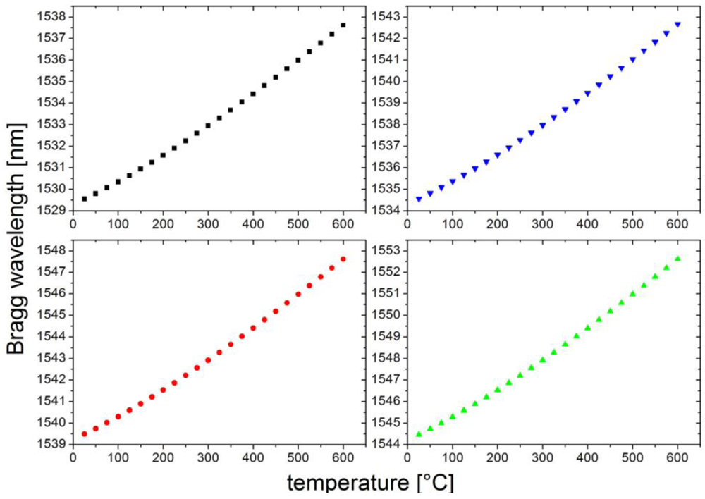
3. Results of Grating Arrays
4. Conclusions
Acknowledgments
References and Notes
- Bandyopadhyay, S.; Canning, J.; Stevenson, M.; Cook, K. Ultra-high temperature regenerated gratings in boron codoped germanosilicate optical fibre using 193 nm. Opt. Lett. 2008, 2, 1917–1919. [Google Scholar]
- Canning, J.; Stevenson, M.; Bandyopadhyay, S.; Cook, K. Extreme silica optical fibre gratings. Sensors 2008, 8, 6448–6452. [Google Scholar]
- Lindner, E.; Chojetzki, C.; Brueckner, S.; Becker, M.; Rothhardt, M.; Bartelt, H. Thermal regeneration of fiber Bragg gratings in photosensitive fibers. Opt. Expr. 2009, 17, 12523–12531. [Google Scholar]
- Dockney, M.L.; James, S.W.; Tatam, R.P. Fibre Bragg gratings fabricated using a wavelength tunable laser source and a phase mask based interferometer. Meas. Sci. Technol. 1996, 7, 445–448. [Google Scholar]
- Becker, M.; Bergmann, J.; Brueckner, S.; Franke, M.; Lindner, E.; Rothhardt, M.; Bartelt, H. Fiber Bragg grating inscription combining DUV sub-picosecond laser pulses and two-beam interferometry. Opt. Expr. 2008, 16, 19169–19178. [Google Scholar]
- Lindner, E.; Becker, M.; Rothhardt, M.; Bartelt, H. Generation and characterization of first order fiber Bragg gratings with Bragg wavelengths in the visible spectral range. Opt. Commun. 2008, 281, 4612–4615. [Google Scholar]



© 2009 by the authors; licensee Molecular Diversity Preservation International, Basel, Switzerland. This article is an open access article distributed under the terms and conditions of the Creative Commons Attribution license (http://creativecommons.org/licenses/by/3.0/).
Share and Cite
Lindner, E.; Chojetztki, C.; Brueckner, S.; Becker, M.; Rothhardt, M.; Vlekken, J.; Bartelt, H. Arrays of Regenerated Fiber Bragg Gratings in Non-Hydrogen-Loaded Photosensitive Fibers for High-Temperature Sensor Networks. Sensors 2009, 9, 8377-8381. https://doi.org/10.3390/s91008377
Lindner E, Chojetztki C, Brueckner S, Becker M, Rothhardt M, Vlekken J, Bartelt H. Arrays of Regenerated Fiber Bragg Gratings in Non-Hydrogen-Loaded Photosensitive Fibers for High-Temperature Sensor Networks. Sensors. 2009; 9(10):8377-8381. https://doi.org/10.3390/s91008377
Chicago/Turabian StyleLindner, Eric, Christoph Chojetztki, Sven Brueckner, Martin Becker, Manfred Rothhardt, Johan Vlekken, and Hartmut Bartelt. 2009. "Arrays of Regenerated Fiber Bragg Gratings in Non-Hydrogen-Loaded Photosensitive Fibers for High-Temperature Sensor Networks" Sensors 9, no. 10: 8377-8381. https://doi.org/10.3390/s91008377
APA StyleLindner, E., Chojetztki, C., Brueckner, S., Becker, M., Rothhardt, M., Vlekken, J., & Bartelt, H. (2009). Arrays of Regenerated Fiber Bragg Gratings in Non-Hydrogen-Loaded Photosensitive Fibers for High-Temperature Sensor Networks. Sensors, 9(10), 8377-8381. https://doi.org/10.3390/s91008377
