Development and Validation of a Modular Sensor-Based System for Gait Analysis and Control in Lower-Limb Exoskeletons
Abstract
1. Introduction
2. Materials and Methods
2.1. System Description
2.1.1. Preliminary Experiments
2.1.2. Crutches Design
2.1.3. Insoles Design
2.1.4. Central Unit and Data Handling
2.1.5. Technical Considerations
2.1.6. Fuzzy Logic
2.2. Validation Experiments
2.2.1. Anteroposterior Center of Pressure
2.2.2. Crutches Ground Reaction Forces
2.2.3. Heel Strike Gait Detection
2.2.4. Data and Statistical Analysis
3. Results and Discussion
3.1. Results of Validation Experiments
3.1.1. Anteroposterior Center of Pressure

3.1.2. Crutches Ground Reaction Forces

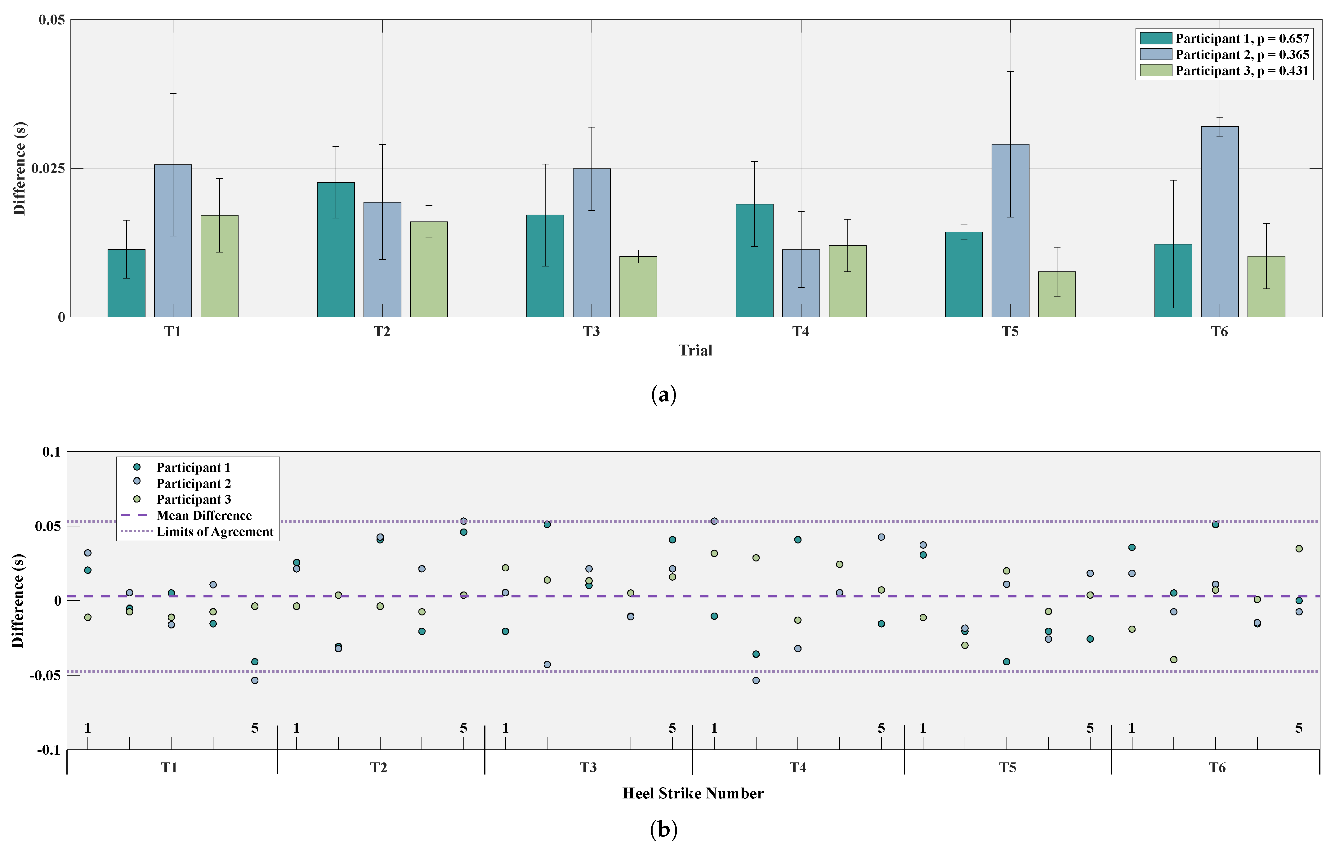
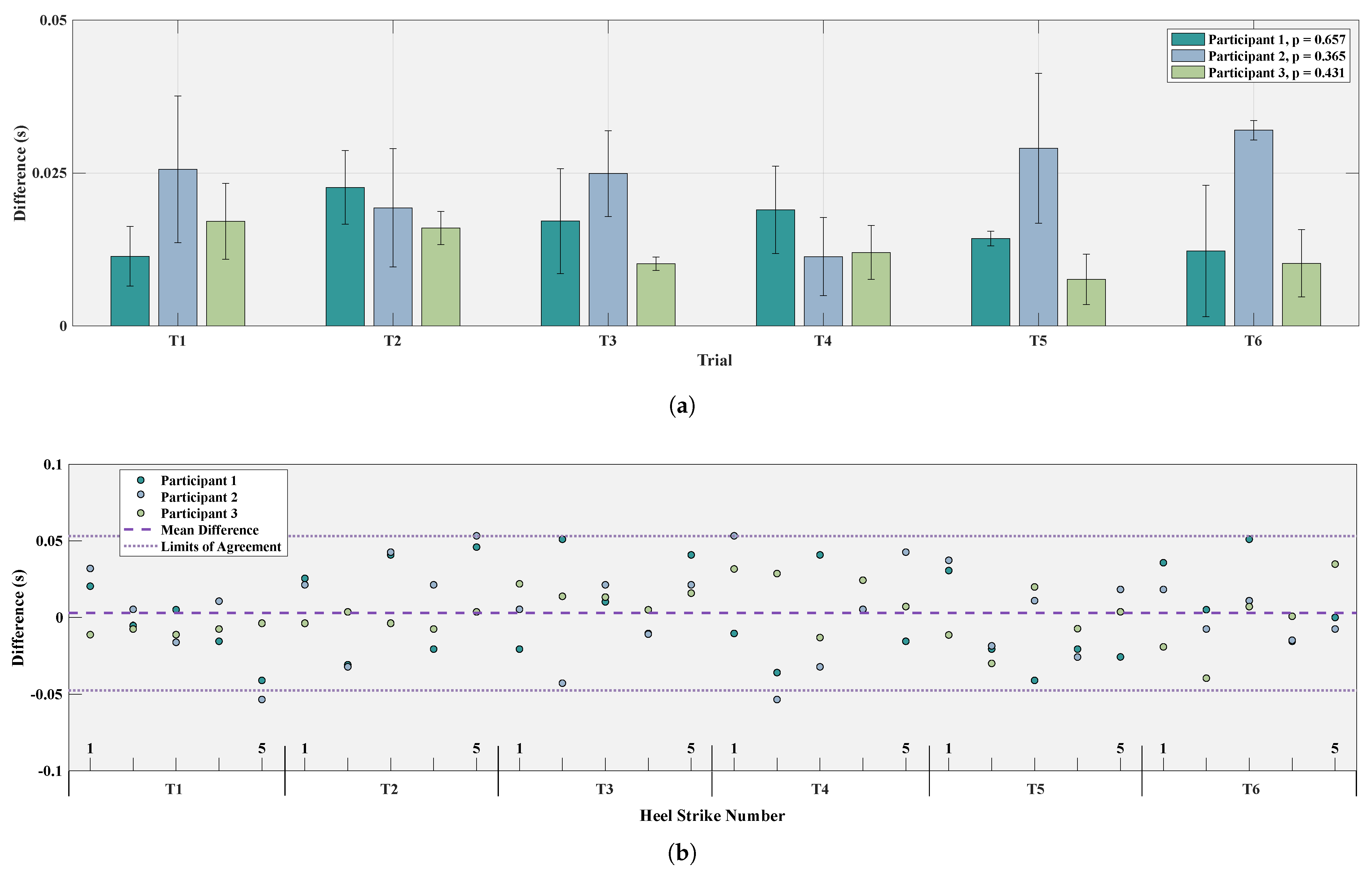
3.1.3. Heel Strike Gait Detection

3.2. Discussion on Future Applications
3.2.1. Biomechanical Evaluation
3.2.2. High-Level Controller
- Basic Gait Phase Detection Controller
- Safety Assurance Controller
- Adaptive Support Controller
4. Conclusions
Supplementary Materials
Author Contributions
Funding
Institutional Review Board Statement
Informed Consent Statement
Data Availability Statement
Conflicts of Interest
Abbreviations
| LLE | Lower-Limb Exoskeleton |
| IMU | Inertial Measurement Unit |
| sEMG | Surface Electromyography |
| FSR | Force-Sensitive Resistor |
| GRF | Ground Reaction Force |
| CoP | Center of Pressure |
| BLE | Bluetooth Low Energy |
| ADC | Analog-to-Digital Converter |
| ESP32 | A microcontroller series by Espressif Systems |
| RGB-LED | Red-Green-Blue Light Emitting Diode |
| RTC | Real-Time-Clock |
| RMSE | Root Mean Square Error |
| STD | Standard Deviation |
| IQR | Inter-quartile Range |
| PID | Proportional-Integral-Derivative (controller) |
References
- du Plessis, T.; Djouani, K.; Oosthuizen, C. A review of active hand exoskeletons for rehabilitation and assistance. Robotics 2021, 10, 40. [Google Scholar] [CrossRef]
- Rehmat, N.; Zuo, J.; Meng, W.; Liu, Q.; Xie, S.Q.; Liang, H. Upper limb rehabilitation using robotic exoskeleton systems: A systematic review. Int. J. Intell. Robot. Appl. 2018, 2, 283–295. [Google Scholar] [CrossRef]
- Wang, T.; Zhang, B.; Liu, C.; Liu, T.; Han, Y.; Wang, S.; Ferreira, J.P.; Dong, W.; Zhang, X. A Review on the Rehabilitation Exoskeletons for the Lower Limbs of the Elderly and the Disabled. Electronics 2022, 11, 388. [Google Scholar] [CrossRef]
- Smith, A.J.; Fournier, B.N.; Nantel, J.; Lemaire, E.D. Estimating upper extremity joint loads of persons with spinal cord injury walking with a lower extremity powered exoskeleton and forearm crutches. J. Biomech. 2020, 107, 109835. [Google Scholar] [CrossRef]
- Marinou, G.; Sloot, L.; Mombaur, K. Towards efficient lower-limb exoskeleton evaluation: Defining biomechanical metrics to quantify assisted gait familiarization. In Proceedings of the IEEE RAS and EMBS International Conference on Biomedical Robotics and Biomechatronics, Seoul, Republic of Korea, 21–24 August 2022. [Google Scholar] [CrossRef]
- Li, W.Z.; Cao, G.Z.; Zhu, A.B. Review on Control Strategies for Lower Limb Rehabilitation Exoskeletons. IEEE Access 2021, 9, 123040–123060. [Google Scholar] [CrossRef]
- Barbareschi, G.; Richards, R.; Thornton, M.; Carlson, T.; Holloway, C. Statically vs dynamically balanced gait: Analysis of a robotic exoskeleton compared with a human. In Proceedings of the Annual International Conference of the IEEE Engineering in Medicine and Biology Society, EMBS, Milan, Italy, 25–29 August 2015; pp. 6728–6731. [Google Scholar] [CrossRef]
- Fineberg, D.B.; Asselin, P.; Harel, N.Y.; Agranova-Breyter, I.; Kornfeld, S.D.; Bauman, W.A.; Spungen, A.M. Vertical ground reaction force-based analysis of powered exoskeleton-assisted walking in persons with motor-complete paraplegia. J. Spinal Cord Med. 2013, 36, 313–321. [Google Scholar] [CrossRef]
- Kanko, R.M.; Laende, E.K.; Davis, E.M.; Selbie, W.S.; Deluzio, K.J. Concurrent assessment of gait kinematics using marker-based and markerless motion capture. J. Biomech. 2021, 127, 110665. [Google Scholar] [CrossRef]
- Ribeiro, N.F.; Santos, C.P. Inertial measurement units: A brief state of the art on gait analysis. In Proceedings of the ENBENG 2017—5th Portuguese Meeting on Bioengineering, Proceedings, Coimbra, Portugal, 16–18 February 2017. [Google Scholar] [CrossRef]
- Park, S.; Yoon, S. Validity Evaluation of an Inertial Measurement Unit (IMU) in Gait Analysis Using Statistical Parametric Mapping (SPM). Sensors 2021, 21, 3667. [Google Scholar] [CrossRef]
- Seel, T.; Raisch, J.; Schauer, T. IMU-Based Joint Angle Measurement for Gait Analysis. Sensors 2014, 14, 6891–6909. [Google Scholar] [CrossRef]
- De Miguel-Fernández, J.; Salazar-Del Rio, M.; Rey-Prieto, M.; Bayón, C.; Guirao-Cano, L.; Font-Llagunes, J.M.; Lobo-Prat, J. Inertial sensors for gait monitoring and design of adaptive controllers for exoskeletons after stroke: A feasibility study. Front. Bioeng. Biotechnol. 2023, 11, 1208561. [Google Scholar] [CrossRef]
- Park, J.; Park, H.; Kim, J. Performance estimation of the lower limb exoskeleton for plantarflexion using surface electromyography (sEMG) signals. J. Biomech. Sci. Eng. 2017, 12, 16-00595. [Google Scholar] [CrossRef]
- Kong, Y.K.; Choi, K.H.; Cho, M.U.; Kim, S.Y.; Kim, M.J.; Shim, J.W.; Park, S.S.; Kim, K.R.; Seo, M.T.; Chae, H.S.; et al. Ergonomic Assessment of a Lower-Limb Exoskeleton through Electromyography and Anybody Modeling System. Int. J. Environ. Res. Public Health 2022, 19, 8088. [Google Scholar] [CrossRef] [PubMed]
- Abdoli-Eramaki, M.; Damecour, C.; Christenson, J.; Stevenson, J. The effect of perspiration on the sEMG amplitude and power spectrum. J. Electromyogr. Kinesiol. 2012, 22, 908–913. [Google Scholar] [CrossRef]
- Sun, Y.; Tang, Y.; Zheng, J.; Dong, D.; Chen, X.; Bai, L. From sensing to control of lower limb exoskeleton: A systematic review. Annu. Rev. Control 2022, 53, 83–96. [Google Scholar] [CrossRef]
- Neťuková, S.; Bejtic, M.; Malá, C.; Horáková, L.; Kutílek, P.; Kauler, J.; Krupička, R. Lower Limb Exoskeleton Sensors: State-of-the-Art. Sensors 2022, 22, 9091. [Google Scholar] [CrossRef]
- Moon, D.H.; Kim, D.; Hong, Y.D. Intention Detection Using Physical Sensors and Electromyogram for a Single Leg Knee Exoskeleton. Sensors 2019, 19, 4447. [Google Scholar] [CrossRef]
- Kawamoto, H.; Lee, S.; Kanbe, S.; Sankai, Y. Power assist method for HAL-3 using EMG-based feedback controller. In Proceedings of the SMC’03 Conference Proceedings. 2003 IEEE International Conference on Systems, Man and Cybernetics. Conference Theme—System Security and Assurance (Cat. No.03CH37483), Washington, DC, USA, 8 October 2003; Volume 2, pp. 1648–1653. [Google Scholar] [CrossRef]
- Guizzo, E.; Goldstein, H. The rise of the body bots [robotic exoskeletons]. IEEE Spectr. 2005, 42, 50–56. [Google Scholar] [CrossRef]
- Kawamoto, H.; Kanbe, S.; Sankai, Y. Power assist method for HAL-3 estimating operator’s intention based on motion information. In Proceedings of the 12th IEEE International Workshop on Robot and Human Interactive Communication, 2003. Proceedings. ROMAN 2003, Millbrae, CA, USA, 2 November 2003; pp. 67–72. [Google Scholar] [CrossRef]
- Iqbal, N.; Khan, T.; Khan, M.; Hussain, T.; Hameed, T.; Bukhari, S.A.C. Neuromechanical Signal-Based Parallel and Scalable Model for Lower Limb Movement Recognition. IEEE Sens. J. 2021, 21, 16213–16221. [Google Scholar] [CrossRef]
- Zhang, P.; Gao, X.; Miao, M.; Zhao, P. Design and Control of a Lower Limb Rehabilitation Robot Based on Human Motion Intention Recognition with Multi-Source Sensor Information. Machines 2022, 10, 1125. [Google Scholar] [CrossRef]
- Gil, I.C. Development of an Instrumented Crutch for Quantitative Gait Monitoring and Diagnosis of Patients with Multiple Sclerosis. Ph.D. Thesis, University of the Basque Country, Leioa, Spain, 2021. [Google Scholar]
- Khandakar, A.; Mahmud, S.; Chowdhury, M.E.H.; Reaz, M.B.I.; Kiranyaz, S.; Mahbub, Z.B.; Ali, S.H.M.; Bakar, A.A.A.; Ayari, M.A.; Alhatou, M.; et al. Design and Implementation of a Smart Insole System to Measure Plantar Pressure and Temperature. Sensors 2022, 22, 7599. [Google Scholar] [CrossRef]
- Manupibul, U.; Charoensuk, W.; Kaimuk, P. Design and development of SMART insole system for plantar pressure measurement in imbalance human body and heavy activities. In Proceedings of the 7th 2014 Biomedical Engineering International Conference, Fukuoka, Japan, 26–28 November 2014; pp. 1–5. [Google Scholar] [CrossRef]
- Nascimento, D.H.A.; Magalhães, F.A.; Sabino, G.S.; Resende, R.A.; Duarte, M.L.M.; Vimieiro, C.B.S. Development of a Human Motion Analysis System Based on Sensorized Insoles and Machine Learning Algorithms for Gait Evaluation. Inventions 2022, 7, 98. [Google Scholar] [CrossRef]
- González, I.; Fontecha, J.; Hervás, R.; Bravo, J. An Ambulatory System for Gait Monitoring Based on Wireless Sensorized Insoles. Sensors 2015, 15, 16589–16613. [Google Scholar] [CrossRef] [PubMed]
- Silva, P.M.M.; Holanda, L.J.; Granados, E.E.; Morya, E. Building Pressure-Sensitive Foot Insoles for Public Health Evaluation in Smart Cities. In Proceedings of the 2017 IEEE First Summer School on Smart Cities (S3C), Natal, Brazil, 6–11 August 2017; pp. 153–156. [Google Scholar] [CrossRef]
- Yin, K.; Xiang, K.; Pang, M.; Chen, J.; Anderson, P.; Yang, L. Personalised Control of Robotic Ankle Exoskeleton Through Experience-Based Adaptive Fuzzy Inference. IEEE Access 2019, 7, 72221–72233. [Google Scholar] [CrossRef]
- Ármannsdóttir, A.L.; Beckerle, P.; Moreno, J.C.; van Asseldonk, E.H.; Manrique-Sancho, M.T.; del Ama, A.J.; Veneman, J.F.; Briem, K. Assessing the Involvement of Users During Development of Lower Limb Wearable Robotic Exoskeletons: A Survey Study. Hum. Factors 2020, 62, 351–364. [Google Scholar] [CrossRef]
- Senanayake, C.M.; Senanayake, S.M.N.A. Computational Intelligent Gait-Phase Detection System to Identify Pathological Gait. IEEE Trans. Inf. Technol. Biomed. 2010, 14, 1173–1179. [Google Scholar] [CrossRef]
- Sardini, E.; Serpelloni, M.; Lancini, M. Wireless Instrumented Crutches for Force and Movement Measurements for Gait Monitoring. IEEE Trans. Instrum. Meas. 2015, 64, 3369–3379. [Google Scholar] [CrossRef]
- Seylan, C.; Saranli, U. Estimation of ground reaction forces using low-cost instrumented forearm crutches. IEEE Trans. Instrum. Meas. 2018, 67, 1308–1316. [Google Scholar] [CrossRef]
- Chen, Y.F.; Napoli, D.; Agrawal, S.K.; Zanotto, D. Smart Crutches: Towards Instrumented Crutches for Rehabilitation and Exoskeletons-Assisted Walking. In Proceedings of the 2018 7th IEEE International Conference on Biomedical Robotics and Biomechatronics (Biorob), Enschede, The Netherlands, 26–29 August 2018; pp. 193–198. [Google Scholar] [CrossRef]
- Kong, K.; Tomizuka, M. Smooth and continuous human gait phase detection based on foot pressure patterns. In Proceedings of the 2008 IEEE International Conference on Robotics and Automation, Pasadena, CA, USA, 19–23 May 2008; pp. 3678–3683. [Google Scholar] [CrossRef]
- Zadeh, L.A. Fuzzy sets. Inf. Control 1965, 8, 338–353. [Google Scholar] [CrossRef]
- Laffranchi, M.; D’Angella, S.; Vassallo, C.; Piezzo, C.; Canepa, M.; De Giuseppe, S.; Di Salvo, M.; Succi, A.; Cappa, S.; Cerruti, G.; et al. User-Centered Design and Development of the Modular TWIN Lower Limb Exoskeleton. Front. Neurorobotics 2021, 15, 709731. [Google Scholar] [CrossRef]
- Marinou, G.; Kourouma, I. MoSeS-LLEx: A Modular Sensor System for Lower-Limb Exoskeletons. Available online: https://github.com/ibokou/MoSeS-LLEx (accessed on 6 April 2025).
- FUTEK Advanced Sensor Technology. Miniature Threaded In Line Load Cell. Available online: https://www.futek.com/store/load-cells/threaded-in-line-load-cells/miniature-threaded-in-line-LCM200/FSH03903 (accessed on 6 April 2025).
- Avia Semiconductor. 24-Bit Analog-to-Digital Converter (ADC) for Weigh Scales; Avia Semiconductor: Xiamen, China, 2016; Available online: http://en.aviaic.com/detail/730856.html (accessed on 6 April 2025).
- Adafruit Industries. Adafruit ESP32-S3 Feather. Available online: https://learn.adafruit.com/adafruit-esp32-s3-feather/overview (accessed on 6 April 2025).
- Damm, P.; Schwachmeyer, V.; Dymke, J.; Bender, A.; Bergmann, G. In vivo hip joint loads during three methods of walking with forearm crutches. Clin. Biomech. 2013, 28, 530–535. [Google Scholar] [CrossRef]
- Ding, S.; Ouyang, X.; Li, Z.; Yang, H. Proportion-based fuzzy gait phase detection using the smart insole. Sens. Actuators A Phys. 2018, 284, 96–102. [Google Scholar] [CrossRef]
- Paredes-Madrid, L.; Matute, A.; Cruz-Pacheco, A.F.; Parra-Vargas, C.A.; Gutiérrez-Velásquez, E.I. Experimental characterization, modeling and compensation of hysteresis in force sensing resistors. Rev. DYNA 2018, 85, 191–198. [Google Scholar] [CrossRef]
- Aqueveque, P.; Gómez, B.; Saavedra, F.; Canales, C.; Contreras, S.; Ortega-Bastidas, P.; Cano-De-La-Cuerda, R. Validation of a portable system for spatial-temporal gait parameters based on a single inertial measurement unit and a mobile application. Eur. J. Transl. Myol. 2020, 30, 9002. [Google Scholar] [CrossRef] [PubMed]
- Coviello, G.; Avitabile, G.; Florio, A.; Talarico, C. A Study on IMU Sampling Rate Mismatch for a Wireless Synchronized Platform. In Proceedings of the 2020 IEEE 63rd International Midwest Symposium on Circuits and Systems, Springfield, MA, USA, 9–12 August 2020; pp. 229–232. [Google Scholar] [CrossRef]
- Coviello, G.; Avitabile, G.; Florio, A. The Importance of Data Synchronization in Multiboard Acquisition Systems. In Proceedings of the 20th IEEE Mediterranean Electrotechnical Conference, MELECON 2020—Proceedings, Palermo, Italy, 16–18 June 2020; pp. 293–297. [Google Scholar] [CrossRef]
- Coviello, G.; Avitabile, G.; Florio, A. A Synchronized Multi-Unit Wireless Platform for Long-Term Activity Monitoring. Electronics 2020, 9, 1118. [Google Scholar] [CrossRef]
- Chen, C.F.; Du, Z.J.; He, L.; Shi, Y.J.; Wang, J.Q.; Xu, G.Q.; Zhang, Y.; Wu, D.M.; Dong, W. Development and hybrid control of an electrically actuated lower limb exoskeleton for motion assistance. IEEE Access 2019, 7, 169107–169122. [Google Scholar] [CrossRef]
- Terrazas-Rodas, D.; Rocca-Huaman, L.; Ramirez-Amaya, C.; Alvarez-Rodriguez, A.E. Lower-Limb Exoskeleton Systems for Rehabilitation and/or Assistance: A Review. In Proceedings of the 2022 IEEE International IOT, Electronics and Mechatronics Conference, IEMTRONICS 2022, Toronto, ON, Canada, 1–4 June 2022. [Google Scholar] [CrossRef]
- Jönsson, M.; Munkhammar, T.; Norrbrand, L.; Berg, H.E. Foot centre of pressure and ground reaction force during quadriceps resistance exercises; a comparison between force plates and a pressure insole system. J. Biomech. 2019, 87, 206–210. [Google Scholar] [CrossRef]
- Ugurlu, B.; Oshima, H.; Narikiyo, T. Lower body exoskeleton-supported compliant bipedal walking for paraplegics: How to reduce upper body effort? In Proceedings of the IEEE International Conference on Robotics and Automation, Hong Kong, China, 31 May–7 June 2014; pp. 1354–1360. [Google Scholar] [CrossRef]
- Roberts, M.; Prince, F.; Mongeon, D.; Prince, F. Biomechanical parameters for gait analysis: A systematic review of healthy human gait. Gait Posture 2017, 58, 66–71. [Google Scholar] [CrossRef]
- Kim, J.K.; Bae, M.N.; Lee, K.B.; Hong, S.G. Gait event detection algorithm based on smart insoles. ETRI J. 2020, 42, 46–53. [Google Scholar] [CrossRef]
- Crea, S.; Donati, M.; Marco, S.; De Rossi, M.; Oddo, M.; Vitiello, N. A Wireless Flexible Sensorized Insole for Gait Analysis. Sensors 2014, 14, 1073–1093. [Google Scholar] [CrossRef]





| Study | Sensors & Hardware (per Side) | Biomechanical Outcomes | Wireless Communication | Exoskeleton Integration | Open Source | ||
|---|---|---|---|---|---|---|---|
| GS | CoP | GRFs | |||||
| Insoles | |||||||
| González et al. (2015) [29] | 4 FSRs, 1 IMU | Yes | No | No | Yes | No | No |
| Khandakar et al. (2022) [26] | 16 FSRs | Yes | No | Yes | Yes | No | No |
| Senanayake et al. (2010) [33] | 4 FSRs, 1 IMU | Yes | No | No | No | No | No |
| Crutches | |||||||
| Sardini et al. (2015) [34] | 6 Strain Gauges | No | No | Yes | Yes | No | No |
| Seylan et al. (2018) [35] | 4 FSRs, 1 Accelerometer | No | No | Yes | No | No | No |
| Chen et al. (2018) [36] | 1 Load Cell, 4 Strain Gauges | No | No | Yes | Yes | Yes | No |
| Combined Systems | |||||||
| Marinou et al. (this work) | 3 FSRs, 1 Load Cell, 2 IMUs | Yes | Yes | Yes 1 | Yes | Yes | Yes |
| FSR Grades () | Outcome | ||||||
|---|---|---|---|---|---|---|---|
| LH | L5M | L1M | RH | R5M | R1M | ||
| Value | Low | High | High | High | Low | High | Heel Strike |
| Low | Low | High | High | High | Low | Loading Response | |
| Low | Low | Low | High | High | High | Mid-stance | |
| High | Low | Low | Low | High | High | Terminal Stance | |
| High | Low | Low | Low | Low | High | Pre-swing | |
| High | High | High | Low | High | Low | Initial Swing | |
| High | High | High | Low | Low | Low | Mid-Swing | |
| Low | High | High | Low | Low | Low | Terminal Swing | |
| Anteroposterior Center of Pressure | Crutch Ground Reaction Forces | Heel Strike Gait Detection | ||||
|---|---|---|---|---|---|---|
| Pearson Corr. | RMSE (mm) | Pearson Corr. | RMSE (N) | Pearson Corr. | RMSE (s) | |
| Min | 0.873 | 14.4 | 0.921 | 10.5 | 0.997 | 0.0195 |
| Max | 0.948 | 19.2 | 0.967 | 17.9 | 0.999 | 0.0362 |
| Mean | 0.907 ± 0.038 | 17.2 ± 2.49 | 0.945 ± 0.023 | 15.3 ± 4.21 | 0.998 ± 0.001 | 0.0291 ± 0.0084 |
Disclaimer/Publisher’s Note: The statements, opinions and data contained in all publications are solely those of the individual author(s) and contributor(s) and not of MDPI and/or the editor(s). MDPI and/or the editor(s) disclaim responsibility for any injury to people or property resulting from any ideas, methods, instructions or products referred to in the content. |
© 2025 by the authors. Licensee MDPI, Basel, Switzerland. This article is an open access article distributed under the terms and conditions of the Creative Commons Attribution (CC BY) license (https://creativecommons.org/licenses/by/4.0/).
Share and Cite
Marinou, G.; Kourouma, I.; Mombaur, K. Development and Validation of a Modular Sensor-Based System for Gait Analysis and Control in Lower-Limb Exoskeletons. Sensors 2025, 25, 2379. https://doi.org/10.3390/s25082379
Marinou G, Kourouma I, Mombaur K. Development and Validation of a Modular Sensor-Based System for Gait Analysis and Control in Lower-Limb Exoskeletons. Sensors. 2025; 25(8):2379. https://doi.org/10.3390/s25082379
Chicago/Turabian StyleMarinou, Giorgos, Ibrahima Kourouma, and Katja Mombaur. 2025. "Development and Validation of a Modular Sensor-Based System for Gait Analysis and Control in Lower-Limb Exoskeletons" Sensors 25, no. 8: 2379. https://doi.org/10.3390/s25082379
APA StyleMarinou, G., Kourouma, I., & Mombaur, K. (2025). Development and Validation of a Modular Sensor-Based System for Gait Analysis and Control in Lower-Limb Exoskeletons. Sensors, 25(8), 2379. https://doi.org/10.3390/s25082379

