GPU Ray Tracing for the Analysis of Light Deflection in Inhomogeneous Refractive Index Fields of Hot Tailored Forming Components
Abstract
1. Introduction
2. Materials and Methods
3. Simulation Setup
4. Results
4.1. Preliminary Investigation
4.1.1. Parameter Selection
- The number of viewing rays;
- The number of boundary layers;
- The number of polygons per boundary layer;
- The smoothing of boundary layers;
- The export configuration of the COMSOL simulation.
4.1.2. Quality Metric
4.1.3. Preliminary Results
4.2. Light Deflection on Optical Systems
4.2.1. Parameter Setup
4.2.2. Investigation Metrics
- The mean Euclidean distance between the IRIF-refracted and IRIF-unrefracted lines of viewing: ;
- The mean lateral and axial resolutions: und ;
- The mean angle of incidence between the line of sight and the surface: ;
- The computation time of the ray tracing simulation: ;
- The coverage of the measurement object’s surface by the lines of sight: .
4.2.3. Light Deflection Results
4.3. Complex Components
4.3.1. Hybrid Cylinder
4.3.2. Bevel Gear
4.3.3. Wishbone
4.4. Feature Analysis: Bevel Gear Tooth
4.4.1. Metrics and Methodology
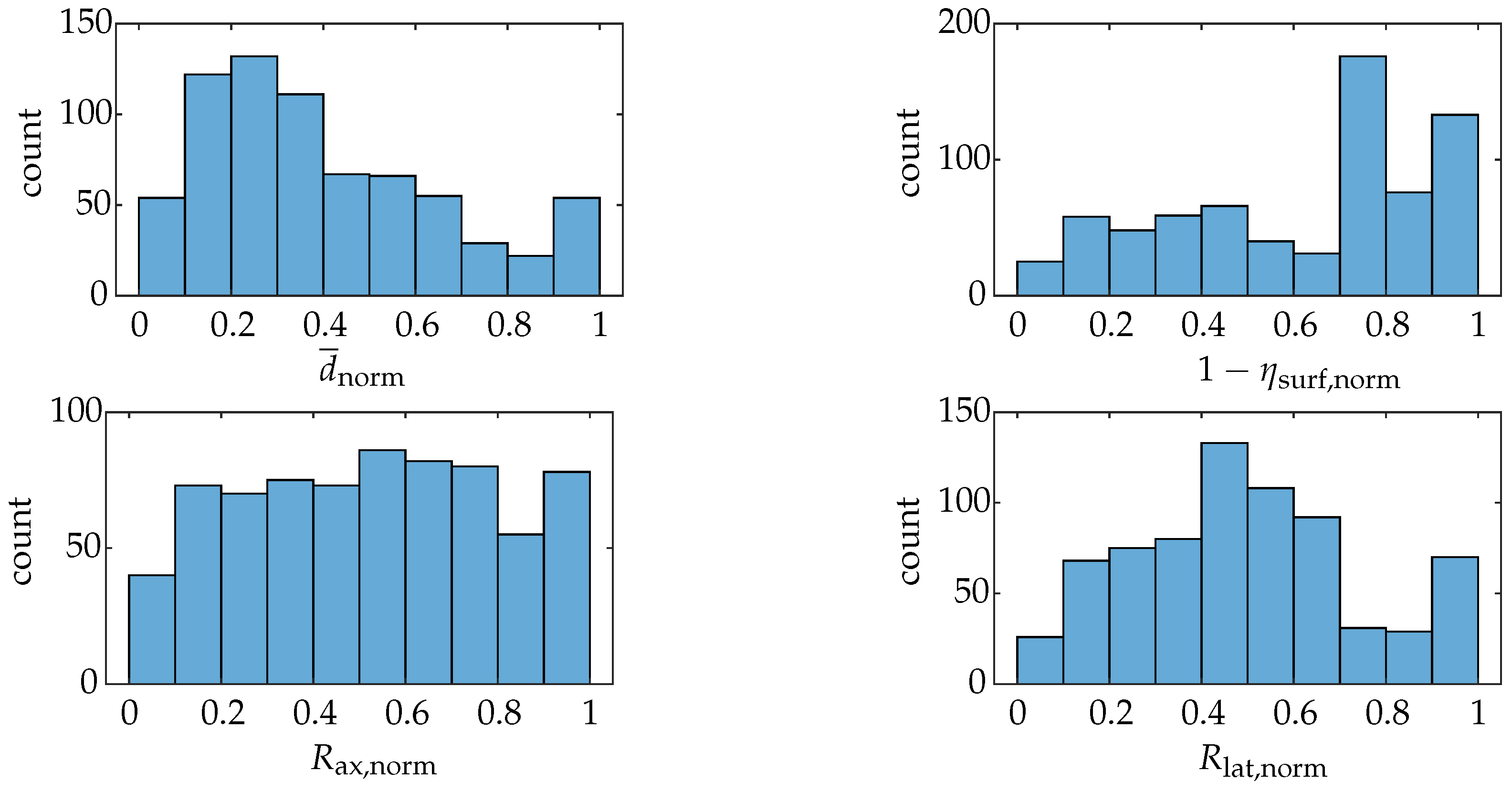
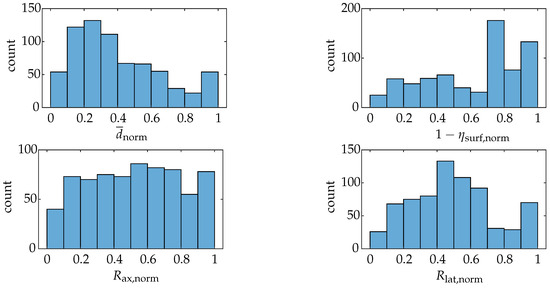
- Normalization and Directional Alignment of Metric Distributions:Each metric distribution is normalized over the range defined by its minimum value and the 95th percentile value . This normalization maps all metrics to the interval , facilitating comparability. Additionally, the coverage metric is inverted to ensure that minimizing all metrics results in an optimized solution. The normalized metric for each is computed as
- Weighted Aggregation of Metrics:A weighted sum combines the normalized metrics into a single composite metric:where the weights reflect the relative proportion of each metric:
4.4.2. Results and Interpretation
5. Discussion
Limitations of the Method
6. Conclusions
Author Contributions
Funding
Institutional Review Board Statement
Informed Consent Statement
Data Availability Statement
Conflicts of Interest
Abbreviations
| GPU | Graphics Processing Unit |
| IRIF | Inhomogeneous Refractive Index Field |
| RMSE | Root Mean Squared Error |
Appendix A. Light Deflection Results

Appendix B. Histograms of Metrics and Methodology


References
- Tanaka, Y.; Sato, I. Development of high purity large forgings for nuclear power plants. J. Nucl. Mater. 2011, 417, 854–859. [Google Scholar] [CrossRef]
- Franceschi, A.; Stahl, J.; Kock, C.; Selbmann, R.; Ortmann-Ishkina, S.; Jobst, A.; Merklein, M.; Kuhfuß, B.; Bergmann, M.; Behrens, B.A.; et al. Strategies for residual stress adjustment in bulk metal forming. Arch. Appl. Mech. 2021, 91, 3557–3577. [Google Scholar] [CrossRef]
- Stebner, S.C.; Martschin, J.; Arian, B.; Dietrich, S.; Feistle, M.; Hütter, S.; Lafarge, R.; Laue, R.; Li, X.; Schulte, C.; et al. Monitoring the evolution of dimensional accuracy and product properties in property-controlled forming processes. Adv. Ind. Manuf. Eng. 2024, 8, 100133. [Google Scholar] [CrossRef]
- Quentin, L.; Beermann, R.; Reinke, C.; Kern, P.; Kästner, M.; Reithmeier, E. Adapted Fringe Projection Sequences for Changing Illumination Conditions on the Example of Measuring a Wrought-Hot Object Influenced by Forced Cooling. Sensors 2021, 21, 1599. [Google Scholar] [CrossRef] [PubMed]
- Beermann, R.; Quentin, L.; Stein, G.; Reithmeier, E.; Kaestner, M. Full simulation model for laser triangulation measurement in an inhomogeneous refractive index field. Opt. Eng. 2018, 57, 114107. [Google Scholar] [CrossRef]
- Kern, P.; Hinz, L.; Kästner, M.; Reithmeier, E.; Blankemeyer, S.; Ince, C.-V.; Raatz, A.; Behrens, B.-A.; Brunotte, K.; Uhe, J. Prozessoptimierung mittels Inline-Geometriemessung. Wt Werkstattstech. Online 2023, 113, 413–418. [Google Scholar]
- Deng, H.; Wang, F.; Zhang, J.; Hu, G.; Ma, M.; Zhong, X. Vision measurement error analysis for nonlinear light refraction at high temperature. Appl. Opt. 2018, 57, 5556–5565. [Google Scholar] [CrossRef] [PubMed]
- Montagnino, L. Ray Tracing in Inhomogeneous Media. J. Opt. Soc. Am. 1968, 58, 1667. [Google Scholar] [CrossRef]
- Sharma, A.; Kumar, D.V.; Ghatak, A.K. Tracing rays through graded-index media: A new method. Appl. Opt. 1982, 21, 984–987. [Google Scholar] [CrossRef] [PubMed]
- Dorić, S. Ray tracing through gradient-index media: Recent improvements. Appl. Opt. 1990, 29, 4026–4029. [Google Scholar] [CrossRef] [PubMed]
- Zhang, Q.; Tan, Y.; Ren, G.; Tang, T. Ray Tracing Method of Gradient Refractive Index Medium Based on Refractive Index Step. Appl. Sci. 2021, 11, 912. [Google Scholar] [CrossRef]
- Kern, P.; Hinz, L.; Kästner, M.; Reithmeier, E. Simulation of Inhomogeneous Refractive Index Fields Induced by Hot Tailored Forming Components. Adv. Eng. Mater. 2024, 2401394. [Google Scholar] [CrossRef]
- COMSOL AB. COMSOL Multiphysics®, v5.1; COMSOL AB: Stockholm, Sweden, 2019. [Google Scholar]
- Hentschel, K. Das Brechungsgesetz in der Fassung von Snellius. Arch. Hist. Exact Sci. 2001, 55, 297–344. [Google Scholar] [CrossRef]
- Born, M.; Wolf, E.; Knight, P. Principles of Optics: 60th Anniversary Edition, 7th ed.; Cambridge University Press: Cambridge, UK, 2019. [Google Scholar]
- Marrs, A.; Shirley, P.; Wald, I. Ray Tracing Gems II; Apress: Berkeley, CA, USA, 2021. [Google Scholar]
- Pharr, M. Physically Based Rendering: From Theory to Implementation, 3rd ed.; Morgan Kaufmann: Cambridge, MA, USA, 2017. [Google Scholar]
- Leung, R. GPU implementation of a ray-surface intersection algorithm in CUDA (Compute Unified Device Architecture). arXiv 2022, arXiv:2209.02878. [Google Scholar]
- Morton, G.M. A Computer Oriented Geodetic Data Base and a New Technique in File Sequencing: Technical Report; IBM Ltd.: Ottawa, ON, Canada, 1966. [Google Scholar]
- Glassner, A.S. (Ed.) An Introduction to Ray Tracing; Academic Press: London, UK, 1988. [Google Scholar]
- Möller, T.; Trumbore, B. Fast, Minimum Storage Ray-Triangle Intersection. J. Graph. Tools 1997, 2, 21–28. [Google Scholar] [CrossRef]
- Taubin, G. Curve and Surface Smoothing Without Shrinkage. In Proceedings of the IEEE International Conference on Computer Vision, Cambridge, MA, USA, 20–23 June 1995; pp. 852–857. [Google Scholar] [CrossRef]
- Dyn, N.; Levine, D.; Gregory, J.A. A butterfly subdivision scheme for surface interpolation with tension control. ACM Trans. Graph. 1990, 9, 160–169. [Google Scholar] [CrossRef]
- Apetrei, C. Fast and Simple Agglomerative LBVH Construction; The Eurographics Association: Limassol, Cyprus, 2014. [Google Scholar]
- ASTM B574; Standard Specification for Low-Carbon Nickel-Chromium-Molybdenum, Low-Carbon Nickel-Molybdenum-Chromium, Low-Carbon Nickel-Molybdenum-Chromium-Tantalum, Low-Carbon Nickel-Chromium-Molybdenum-Copper, and Low-Carbon Nickel-Chromium-Molybdenum-Tungsten. ASTM International: West Conshohocken, PA, USA, 2023.
- EN 573-3; Aluminium and Aluminium Alloys—Chemical Composition and Form of Wrought Products. European Committee for Standardization (CEN): Brussels, Belgium, 2019.





















| Mesh Resolution | Configuration Name | Isosurface Resolution | Configuration Name |
|---|---|---|---|
| Coarse | A | No Refinement | no subfix |
| Normal | B | ||
| Fine | C | Extra-fine | + |
| Extra-Fine | D |
| Scene | Camera | Ray Tracer | |||
|---|---|---|---|---|---|
| COMSOL Config. | C | Sensor Size | 6.7 mm × 5.6 mm | Evaluation | Yes |
| Trimming | Yes | Resolution | 2448 px × 2048 px | Visualization | Yes |
| Smoothing | No | Scaling | 0.5 | Storage | Yes |
| Cylinder Diameter | 27 mm | Focal Length | 10 mm | ||
| Cylinder Length | 170 mm | Position | Variable | ||
| Cylinder Polygons | 2000 | Rotation | Variable |
Disclaimer/Publisher’s Note: The statements, opinions and data contained in all publications are solely those of the individual author(s) and contributor(s) and not of MDPI and/or the editor(s). MDPI and/or the editor(s) disclaim responsibility for any injury to people or property resulting from any ideas, methods, instructions or products referred to in the content. |
© 2025 by the authors. Licensee MDPI, Basel, Switzerland. This article is an open access article distributed under the terms and conditions of the Creative Commons Attribution (CC BY) license (https://creativecommons.org/licenses/by/4.0/).
Share and Cite
Kern, P.; Brower-Rabinowitsch, M.; Hinz, L.; Kästner, M.; Reithmeier, E. GPU Ray Tracing for the Analysis of Light Deflection in Inhomogeneous Refractive Index Fields of Hot Tailored Forming Components. Sensors 2025, 25, 1663. https://doi.org/10.3390/s25061663
Kern P, Brower-Rabinowitsch M, Hinz L, Kästner M, Reithmeier E. GPU Ray Tracing for the Analysis of Light Deflection in Inhomogeneous Refractive Index Fields of Hot Tailored Forming Components. Sensors. 2025; 25(6):1663. https://doi.org/10.3390/s25061663
Chicago/Turabian StyleKern, Pascal, Max Brower-Rabinowitsch, Lennart Hinz, Markus Kästner, and Eduard Reithmeier. 2025. "GPU Ray Tracing for the Analysis of Light Deflection in Inhomogeneous Refractive Index Fields of Hot Tailored Forming Components" Sensors 25, no. 6: 1663. https://doi.org/10.3390/s25061663
APA StyleKern, P., Brower-Rabinowitsch, M., Hinz, L., Kästner, M., & Reithmeier, E. (2025). GPU Ray Tracing for the Analysis of Light Deflection in Inhomogeneous Refractive Index Fields of Hot Tailored Forming Components. Sensors, 25(6), 1663. https://doi.org/10.3390/s25061663

