Adversarial Range Gate Pull-Off Jamming Against Tracking Radar
Abstract
1. Introduction
- 1.
- We formulate the strategy optimization of the RGPO jamming as an ASSO problem, which lays the foundation for the nature of the problem and the optimization model for subsequent related research.
- 2.
- We propose an idea to use local simulation assisted SSO algorithms to solve the strategy optimization problem for RGPO jamming, which lays the foundation for the main frame of the algorithm for subsequent related research.
- 3.
- In this paper, an optimization algorithm based on PSO-ER with local simulation assistance is proposed to generate well-tuned strategies for white-box RGPO jamming.
2. Problem Statement
2.1. Description of RGPO Jamming Process
2.2. Optimization Model of White-Box RGPO Jamming Strategy
- 1.
- Whether or not the real target escapes from the tracking gate: If the real target does not escape from the tracking gate, as shown in Figure 3a, then the jamming effect is very limited. On the contrary, if the measurement of the real target escapes from the tracking gate, as shown in Figure 3b, this means that the threat radar has temporarily lost the real target.
- 2.
- The miss distance: In the case of a larger miss distance, the real target is more difficult to recaptured by the tracking gate, and the real target is safer.

3. White-Box RGPO Jamming Strategy Generation
3.1. Overall Framework
3.2. PSO-ER-Based Strategy Optimizer
| Algorithm 1 Local simulation-assisted PSO-ER-based white-box RGPO jamming strategy optimization algorithm. |
|
4. Empirical Study
| Radar Parameters | |
|---|---|
| Time interval t | 1s |
| Measurement noise | Range: Gaussian of ; Angle: Gaussian of |
| Detection probability | 0.99 |
| Elliptic gate parameter | 16 |
| CV Benchmark | |
| Target motion model | Nearly constant velocity (CV) model |
| Target initial state | = |
| Target motion process noise | x axis: Gaussian of ; y axis: Gaussian of |
| Tracking method | KF-PDA |
| Process noise of KF model | x axis: Gaussian of ; y axis: Gaussian of |
| CA Benchmark | |
| Target motion model | Nearly constant acceleration (CA) model |
| Target initial state | = |
| Target motion process noise | x axis: Gaussian of ; y axis: Gaussian of |
| Tracking method | KF-PDA |
| Process noise of KF model | x axis: Gaussian of ; y axis: Gaussian of |
| CT Benchmark | |
| Target motion model | Nearly coordinate turn (CT) model |
| Target initial state | = |
| Target motion process noise | x axis: Gaussian of ; y axis: Gaussian of |
| Tracking method | KF-PDA |
| Process noise of KF model | x axis: Gaussian of ; y axis: Gaussian of |
| RV Benchmark | |
| Target motion model | Nearly exoatmospheric re-entry vehicle (RV) model |
| Target initial state | = |
| Target motion process noise | x axis: Gaussian of ; y axis: Gaussian of |
| Tracking method | EKF-PDA |
| Process noise of KF model | x axis: Gaussian of ; y axis: Gaussian of |
| Ballistic parameters | 40,000 |
| Atmospheric density parameter | |
4.1. Parameter Sensitivity Analysis
4.1.1. Scalability
4.1.2. Effect of Scoring Mechanism
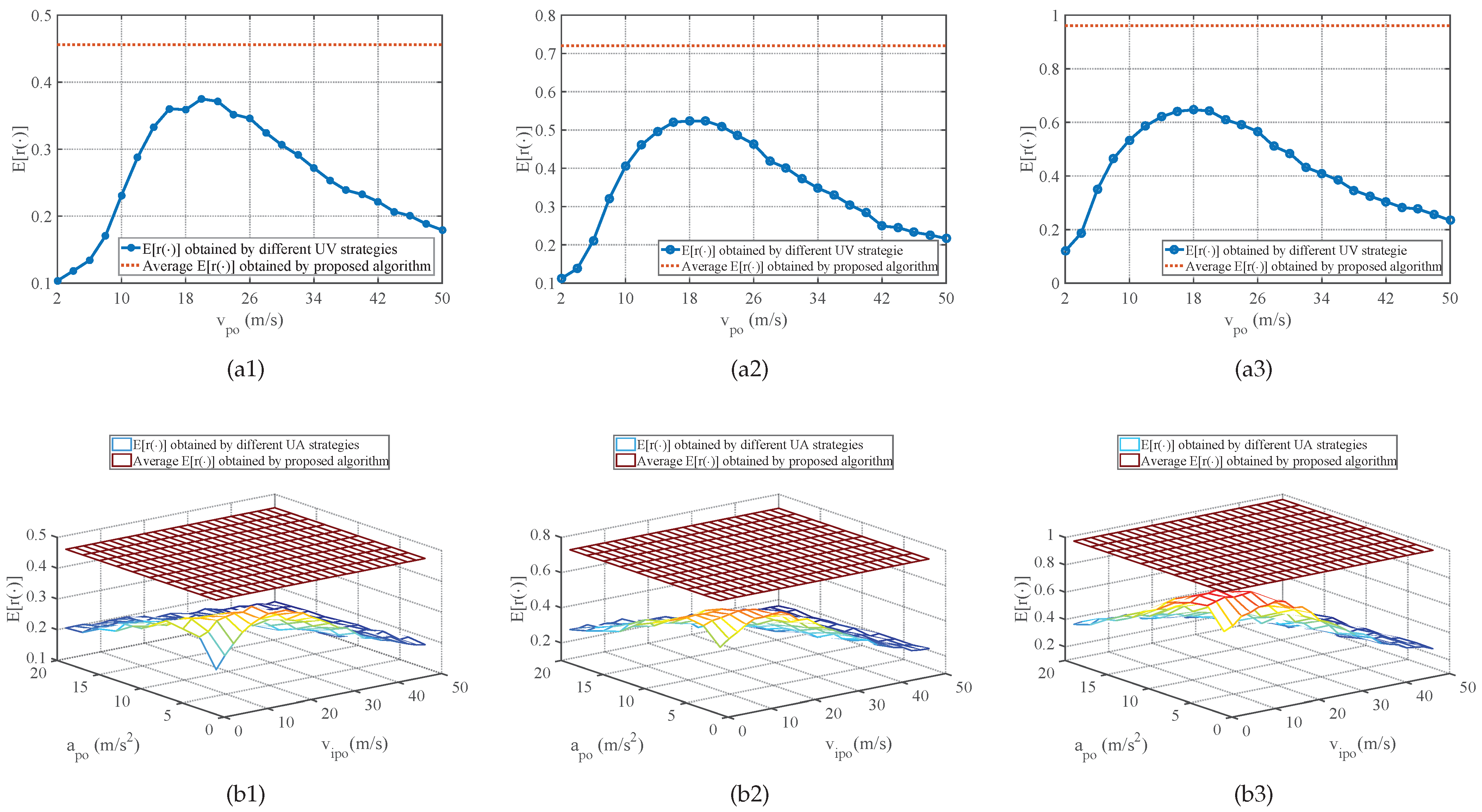
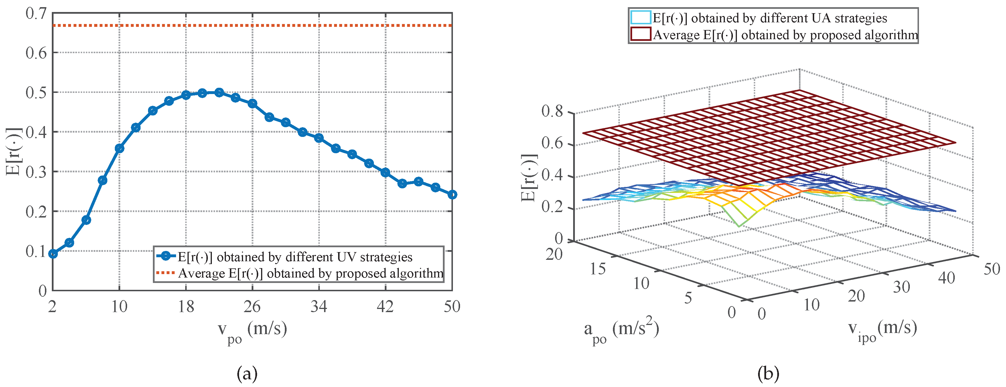
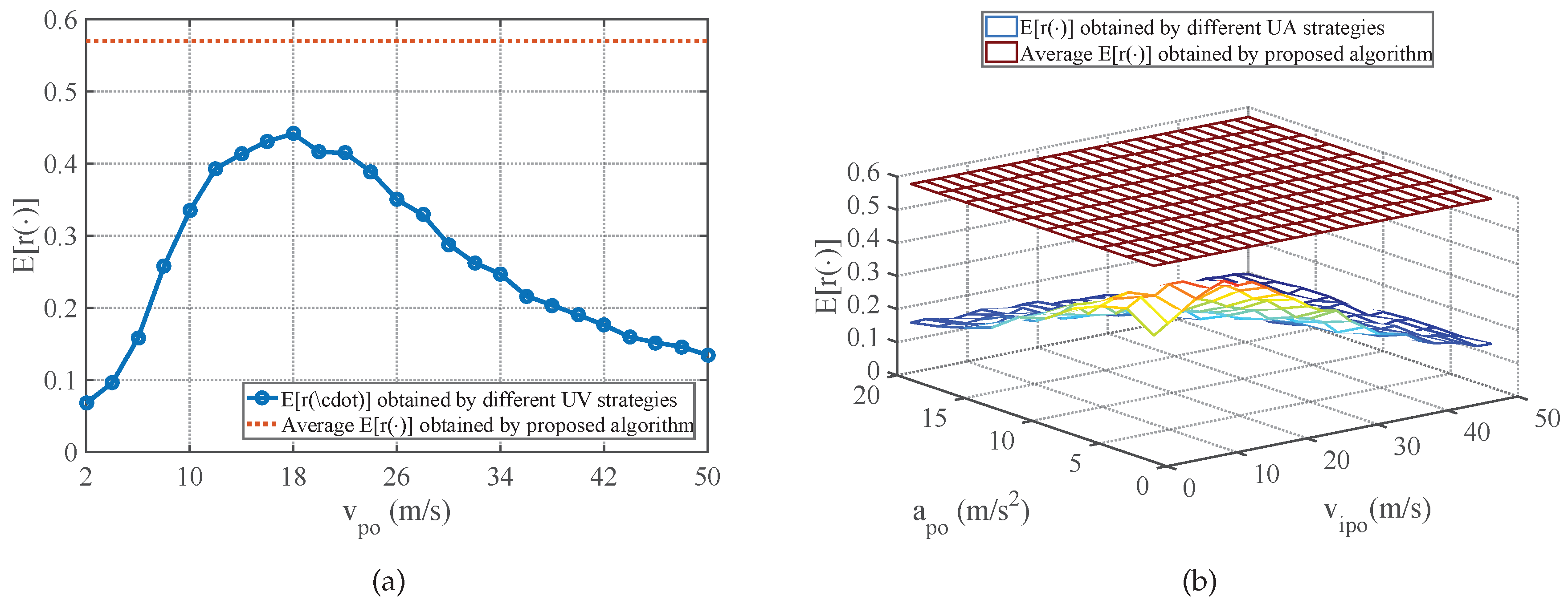
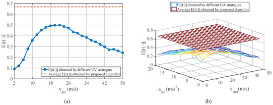
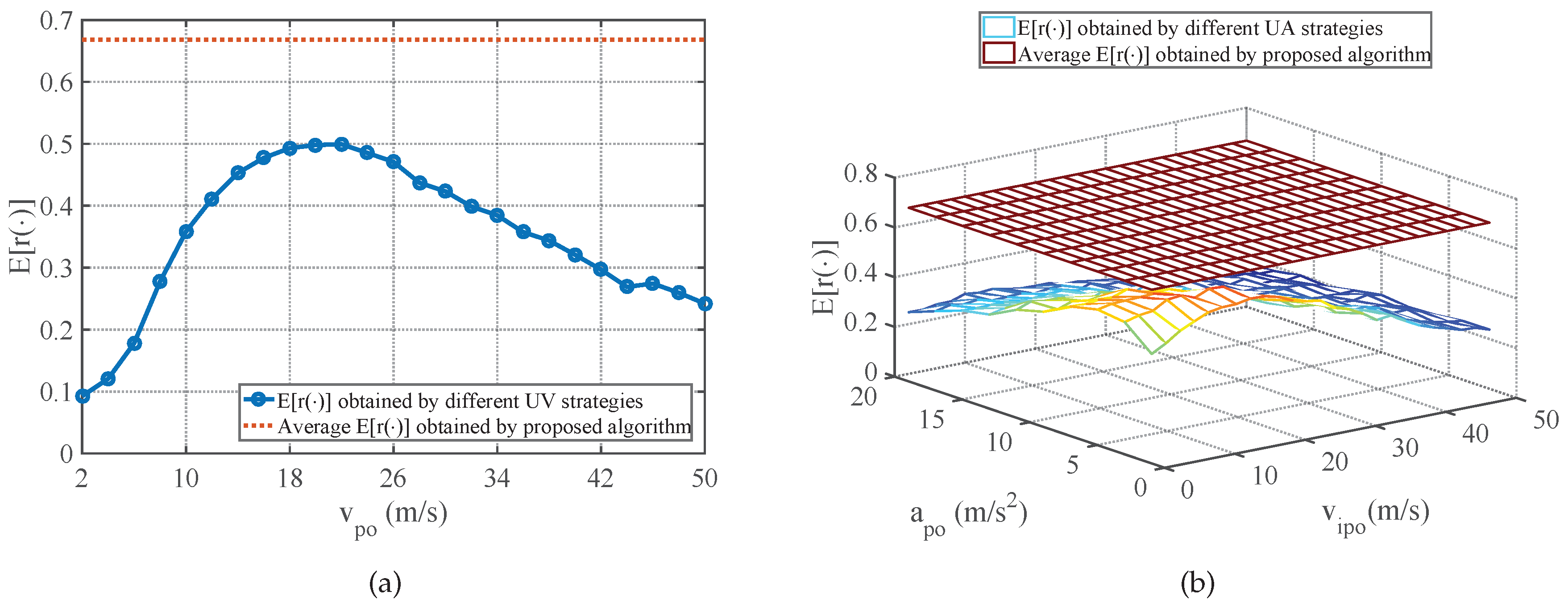
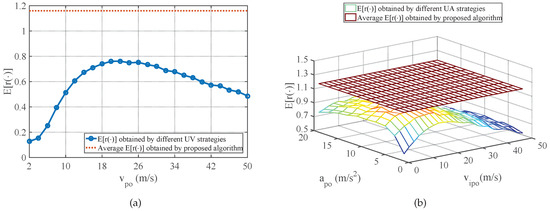
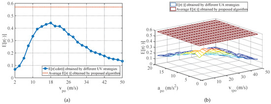
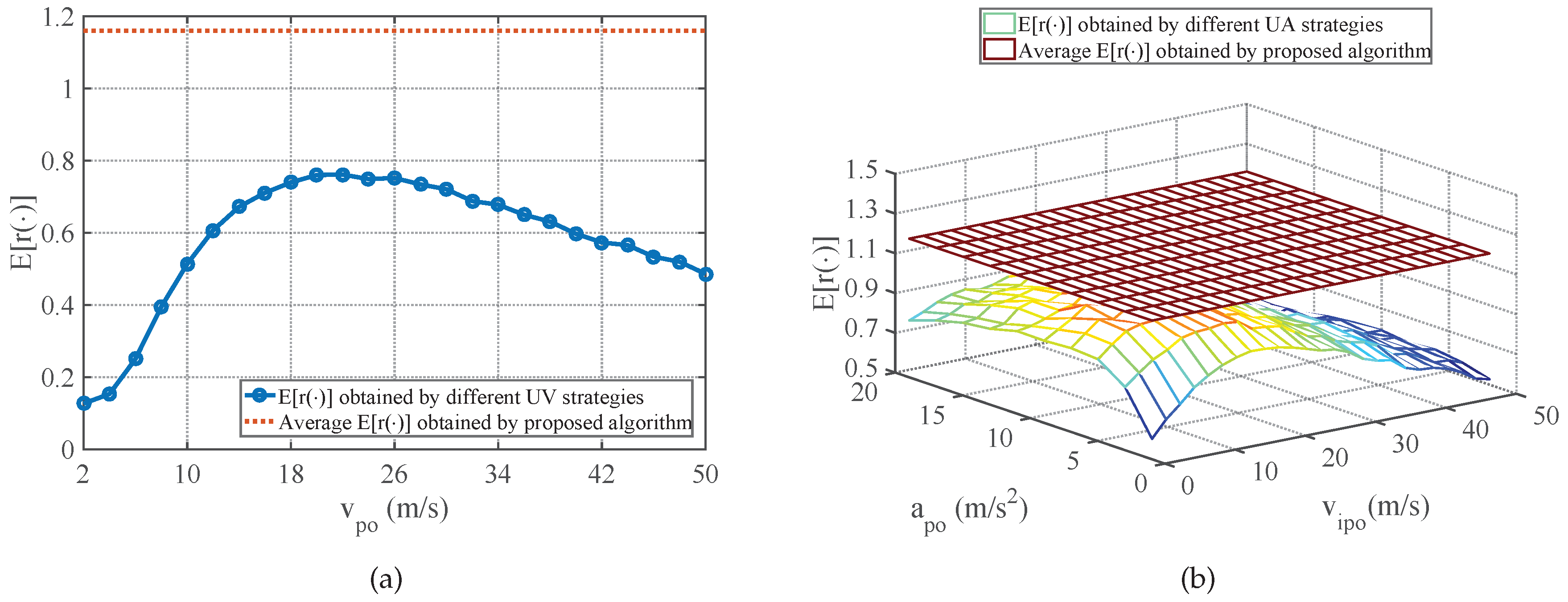
4.2. Experiments on Different Benchmark Problems
5. Conclusions
Author Contributions
Funding
Data Availability Statement
Conflicts of Interest
References
- Li, N.; Zhang, Y. A survey of radar ECM and ECCM. IEEE Trans. Aerosp. Electron. Syst. 1995, 31, 1110–1120. [Google Scholar] [CrossRef]
- Li, Y.; Shi, C.; Yan, M.; Zhou, J. Mission Planning and Trajectory Optimization in UAV Swarm for Track Deception against Radar Network. Remote Sens. 2024, 16, 3490. [Google Scholar] [CrossRef]
- Adamy, D.L. EW 101: A First Course in Electronic Warfare; Artech House: Norwood, MA, USA, 2001. [Google Scholar]
- Adamy, D.L. EW 104: Electronic Warfare Against a New Generation of Threats; Artech House: Norwood, MA, USA, 2015. [Google Scholar]
- De Martino, A. Introduction to Modern EW Systems; Artech House: Norwood, MA, USA, 2018. [Google Scholar]
- Blair, W.; Watson, G.; Kirubarajan, T.; Bar-Shalom, Y. Benchmark for radar allocation and tracking in ECM. IEEE Trans. Aerosp. Electron. Syst. 1998, 34, 1097–1114. [Google Scholar] [CrossRef]
- Kirubarajan, T.; Bar-Shalom, Y.; Blair, W.; Watson, G. IMMPDAF for radar management and tracking benchmark with ECM. IEEE Trans. Aerosp. Electron. Syst. 1998, 34, 1115–1134. [Google Scholar] [CrossRef]
- Han, Q.; Long, W.; Yang, Z.; Dong, X.; Chen, J.; Wang, F.; Liang, Z. Resource Allocation of Netted Opportunistic Array Radar for Maneuvering Target Tracking under Uncertain Conditions. Remote Sens. 2024, 16, 3499. [Google Scholar] [CrossRef]
- Zhang, G.; Xie, J.; Zhang, H.; Feng, W.; Liu, M.; Qin, C. Power Allocation Scheme for Multi-Static Radar to Stably Track Self-Defense Jammers. Remote Sens. 2024, 16, 2699. [Google Scholar] [CrossRef]
- Wang, Y.; Zhang, T.; Kong, L.; Ma, Z. A Stochastic Simulation Optimization based Range Gate Pull-Off Jamming Method. IEEE Trans. Evol. Comput. 2022, 27, 580–594. [Google Scholar] [CrossRef]
- Amaran, S.; Sahinidis, N.V.; Sharda, B.; Bury, S.J. Simulation optimization: A review of algorithms and applications. Ann. Oper. Res. 2016, 240, 351–380. [Google Scholar] [CrossRef]
- Liu, Y.; Pedrielli, G.; Li, H.; Lee, L.H.; Chen, C.H.; Shortle, J.F. Optimal Computing Budget Allocation for N-k Stochastic Problem in the Power Grid System. IEEE Trans. Rel. 2019. [Google Scholar] [CrossRef]
- Goodwin, T.; Xu, J.; Celik, N.; Chen, C.H. Real-time digital twin-based optimization with predictive simulation learning. J. Simul. 2022, 18, 47–64. [Google Scholar] [CrossRef]
- Zhu, C.; Xu, J.; Chen, C.H.; Lee, L.H.; Hu, J.Q. Balancing Search and Estimation in Random Search Based Stochastic Simulation Optimization. IEEE Trans. Autom. Control. 2016, 61, 3593–3598. [Google Scholar] [CrossRef]
- Horng, S.C.; Yang, F.Y.; Lin, S.S. Applying PSO and OCBA to Minimize the Overkills and Re-Probes in Wafer Probe Testing. IEEE Trans. Semicond. Manuf. 2012, 25, 531–540. [Google Scholar] [CrossRef]
- Barreno, M.; Nelson, B.; Joseph, A.D.; Tygar, J.D. The security of machine learning. Mach. Learn. 2010, 81, 121–148. [Google Scholar] [CrossRef]
- Barreno, M.; Nelson, B.; Sears, R.; Joseph, A.D.; Tygar, J.D. Can machine learning be secure? In Proceedings of the 2006 ACM Symposium on Information, computer and communications security, Taipei, Taiwan, 21–24 March 2006; pp. 16–25. [Google Scholar]
- Shen, J.; Robertson, N. BBAS: Towards large scale effective ensemble adversarial attacks against deep neural network learning. Inf. Sci. 2021, 569, 469–478. [Google Scholar] [CrossRef]
- Xiao, Y.; Pun, C.M. Improving adversarial attacks on deep neural networks via constricted gradient-based perturbations. Inf. Sci. 2021, 571, 104–132. [Google Scholar] [CrossRef]
- Sadeghi, M.; Larsson, E.G. Adversarial Attacks on Deep-Learning Based Radio Signal Classification. IEEE Wirel. Commun. Lett. 2018, 8, 213–216. [Google Scholar] [CrossRef]
- Wei, X.; Guo, Y.; Li, B. Black-box adversarial attacks by manipulating image attributes. Inf. Sci. 2021, 550, 285–296. [Google Scholar] [CrossRef]
- Lin, Y.; Zhao, H.; Tu, Y.; Mao, S.; Dou, Z. Threats of Adversarial Attacks in DNN-Based Modulation Recognition. In Proceedings of the IEEE INFOCOM 2020—IEEE Conference on Computer Communications, Toronto, ON, Canada, 6–9 July 2020; pp. 2469–2478. [Google Scholar] [CrossRef]
- Xu, J.; Huang, E.; Chen, C.H.; Lee, L.H. Simulation optimization: A review and exploration in the new era of cloud computing and big data. Asia-Pac. J. Oper. Res. 2015, 32. [Google Scholar] [CrossRef]
- Hassan, R.; Cohanim, B.; De Weck, O.; Venter, G. A comparison of particle swarm optimization and the genetic algorithm. In Proceedings of the 46th AIAA/ASME/ASCE/AHS/ASC Structures, Structural Dynamics and Materials Conference, Austin, TX, USA, 18–21 April 2005; pp. 1–13. [Google Scholar]
- Rada-Vilela, J.; Zhang, M.; Johnston, M. Resampling in particle swarm optimization. In Proceedings of the 2013 IEEE Congress on Evolutionary Computation, Cancun, Mexico, 20–23 June 2013; pp. 947–954. [Google Scholar]
- Pan, H.; Wang, L.; Liu, B. Particle swarm optimization for function optimization in noisy environment. Appl. Math. Comput. 2006, 181, 908–919. [Google Scholar] [CrossRef]
- Bartz-Beielstein, T.; Blum, D.; Branke, J. Particle swarm optimization and sequential sampling in noisy environments. In Metaheuristics; Springer: New York, NY, USA, 2007; Volume 39, pp. 261–273. [Google Scholar]
- Bar-Shalom, Y.; Blair, W. Multitarget-Multisensor Tracking: Applications and Advances; Artech House: Norwood, MA, USA, 2000; Volume III. [Google Scholar]
- Liggins II, M.; Hall, D.; Llinas, J. Handbook of Multisensor Data Fusion: Theory and Practice; CRC Press: Boca Raton, FL, USA, 2017. [Google Scholar]
- Kershaw, D.; Evans, R. A contribution to performance prediction for probabilistic data association tracking filters. IEEE Trans. Aerosp. Electron. Syst. 1996, 32, 1143–1148. [Google Scholar] [CrossRef]
- Morrice, D.J.; Butler, J.; Mullarkey, P.W. An approach to ranking and selection for multiple performance measures. In Proceedings of the 1998 Winter Simulation Conference. Proceedings (Cat. No.98CH36274), Washington, DC, USA, 13–16 December 1998; Volume 1, pp. 719–725. [Google Scholar]
- Butler, J.; Morrice, D.J.; Mullarkey, P.W. A multiple attribute utility theory approach to ranking and selection. Manag. Sci. 2001, 47, 800–816. [Google Scholar] [CrossRef]
- Swisher, J.R.; Jacobson, S.H. Evaluating the design of a family practice healthcare clinic using discrete-event simulation. Health Care Manag. Sci. 2002, 5, 75–88. [Google Scholar]
- Eberhart, R.C.; Shi, Y. Comparing inertia weights and constriction factors in particle swarm optimization. In Proceedings of the 2000 Congress on Evolutionary Computation. CEC00 (Cat. No.00TH8512), La Jolla, CA, USA, 16–19 July 2000; Volume 1, pp. 84–88. [Google Scholar]
- Chatterjee, A.; Siarry, P. Nonlinear inertia weight variation for dynamic adaptation in particle swarm optimization. Comput. Oper. Res. 2006, 33, 859–871. [Google Scholar] [CrossRef]







| K | Method | |||
|---|---|---|---|---|
| 10 | Proposed method | 21.4% | 140 | 0.415 |
| 10 | UV-RGPO | 17.7% | 113 | 0.372 |
| 10 | UA-RGPO | 13.3% | 126 | 0.382 |
| 15 | Proposed method | 31.8% | 224 | 0.720 |
| 15 | UV-RGPO | 28.0% | 153 | 0.524 |
| 15 | UA-RGPO | 21.0% | 196 | 0.595 |
| 20 | Proposed method | 37.1% | 310 | 0.920 |
| 20 | UV-RGPO | 35,4% | 187 | 0.645 |
| 20 | UA-RGPO | 20.9% | 301 | 0.856 |
| Method | ||||
|---|---|---|---|---|
| 0.25, 0.75/200 | Proposed method | 30.2% | 226 | 0.920 |
| 0.25, 0.75/200 | UV-RGPO | 27.7% | 153 | 0.642 |
| 0.25, 0.75/200 | UA-RGPO | 19.7% | 203 | 0.811 |
| 0.5, 0.5/200 | Proposed method | 31.8% | 224 | 0.720 |
| 0.5, 0.5/200 | UV-RGPO | 28.0% | 153 | 0.524 |
| 0.5, 0.5/200 | UA-RGPO | 21.0% | 196 | 0.595 |
| 0.75, 0.25/200 | Proposed method | 34.4% | 204 | 0.513 |
| 0.75, 0.25/200 | UV-RGPO | 31.8% | 143 | 0.421 |
| e 0.75, 0.25/200 | UA-RGPO | 27.4% | 173 | 0.422 |
| Benchmark | Method | |||
|---|---|---|---|---|
| CA | Proposed method | 49.8% | 365 | 1,16 |
| CA | UV-RGPO | 38.9% | 223 | 0.752 |
| CA | UA-RGPO | 35.5% | 330 | 1.00 |
| CT | Proposed method | 29.7% | 208 | 0.668 |
| CT | UV-RGPO | 25.7% | 148 | 0.499 |
| CT | UA-RGPO | 18.1% | 190 | 0.568 |
| RV | Proposed method | 27.2% | 174 | 0.570 |
| RV | UV-RGPO | 26.1% | 124 | 0.441 |
| RV | UA-RGPO | 22.3% | 148 | 0.482 |
Disclaimer/Publisher’s Note: The statements, opinions and data contained in all publications are solely those of the individual author(s) and contributor(s) and not of MDPI and/or the editor(s). MDPI and/or the editor(s) disclaim responsibility for any injury to people or property resulting from any ideas, methods, instructions or products referred to in the content. |
© 2025 by the authors. Licensee MDPI, Basel, Switzerland. This article is an open access article distributed under the terms and conditions of the Creative Commons Attribution (CC BY) license (https://creativecommons.org/licenses/by/4.0/).
Share and Cite
Wang, Y.; Han, Y.; Jiang, Y. Adversarial Range Gate Pull-Off Jamming Against Tracking Radar. Sensors 2025, 25, 1553. https://doi.org/10.3390/s25051553
Wang Y, Han Y, Jiang Y. Adversarial Range Gate Pull-Off Jamming Against Tracking Radar. Sensors. 2025; 25(5):1553. https://doi.org/10.3390/s25051553
Chicago/Turabian StyleWang, Yuanhang, Yi Han, and Yi Jiang. 2025. "Adversarial Range Gate Pull-Off Jamming Against Tracking Radar" Sensors 25, no. 5: 1553. https://doi.org/10.3390/s25051553
APA StyleWang, Y., Han, Y., & Jiang, Y. (2025). Adversarial Range Gate Pull-Off Jamming Against Tracking Radar. Sensors, 25(5), 1553. https://doi.org/10.3390/s25051553
