Spectral Super-Resolution Technology Based on Fabry–Perot Interferometer for Temporally and Spatially Modulated Fourier Transform Imaging Spectrometer
Abstract
1. Introduction
2. Spectral Super-Resolution Principle Analysis of SMJI-HI Based on FPI
2.1. Principle Analysis of FPI
2.2. Principle Analysis of SMJI
2.2.1. Optical Path Without FPI
2.2.2. Optical Path with FPI
2.3. Principle Analysis of Spectral Mixing in SMJI
3. Spectral Super-Resolution Inversion for SMJI-HI
3.1. Inversion Algorithm Calculation Principle
3.2. Interpolation of the Interferogram and Calculation of FPI’s OPD
3.3. FPI Optical Defects and Algorithm Improvements
3.3.1. OPD Offset
3.3.2. Frequency Shift Component Broadening
3.3.3. Algorithm Improvements
4. Experimental Simulation and Results Discussion
4.1. Simulation Conditions
4.2. Simulation Results
4.2.1. Gaussian Input Spectrum
4.2.2. Spectral Data Input Spectrum
4.2.3. Super-Resolution Results of the Entire Row Field
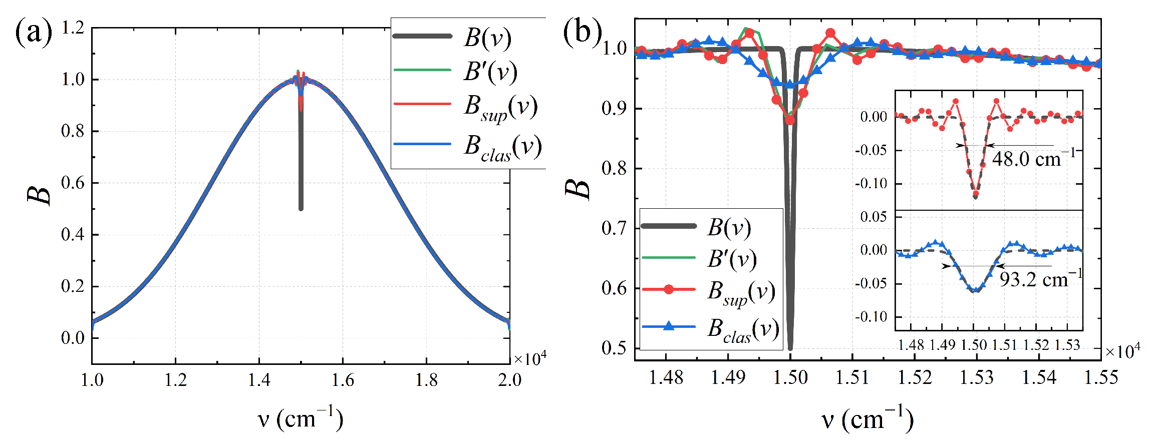
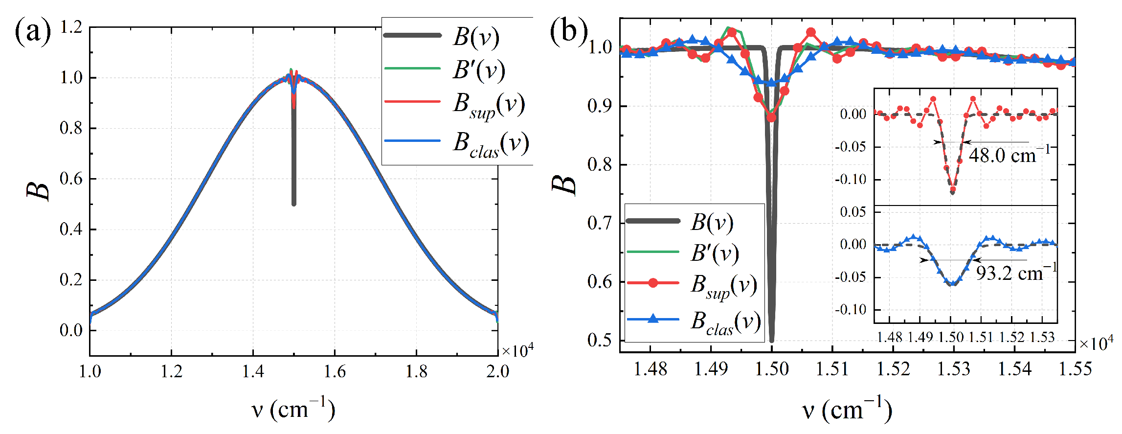
4.2.4. Defect Simulation and Analysis
5. Conclusions
Author Contributions
Funding
Institutional Review Board Statement
Informed Consent Statement
Data Availability Statement
Conflicts of Interest
Abbreviations
| FPI | Fabry–Pérot Interferometer |
| SMJI | Static Multi-Component Joint Interference Hyperspectral Imaging |
| FTIS | Fourier Transform Imaging Spectroscopy |
| TSMFTIS | Time–Space-Modulated FTIS |
| TMFTIS | Time-Modulated FTIS |
| SMFTIS | Space-Modulated FTIS |
| OPD | Optical Path Difference |
References
- Xiangli, B.; Lv, Q.; Cai, Q.; Fang, Y.; Zhou, J.; Huang, M. Fourier transform imaging spectroscopy. Sci. Sin. Inform. 2020, 50, 1462–1474. [Google Scholar]
- Horrocks, T.; Wedge, D.; Hackman, N.; Green, T.; Holden, E.J. Automated geological logging from FTIR reflectance spectra utilising geochemical and historical logging constraints. Ore Geol. Rev. 2024, 168, 106004. [Google Scholar] [CrossRef]
- Zhu, Q.; Wang, W.; Shan, C.; Xie, Y.; Zeng, X.; Wu, P.; Liang, B.; Liu, C. Effects of biomass burning on CO, HCN, C2H6, C2H2 and H2CO during long-term FTIR measurements in Hefei, China. Opt. Express 2024, 32, 8343–8363. [Google Scholar] [CrossRef] [PubMed]
- Wiercik, P.; Kuśnierz, M.; Kabsch-Korbutowicz, M.; Plucińska, A.; Chrobot, P. Evaluation of changes in activated sludge and sewage sludge quality by FTIR analysis and laser diffraction. Desalin. Water Treat. 2022, 273, 114–125. [Google Scholar] [CrossRef]
- Pereira, D.C.; Pupin, B.; de Simone Borma, L. Influence of sample preparation methods on FTIR spectra for taxonomic identification of tropical trees in the Atlantic forest. Heliyon 2024, 10, e27232. [Google Scholar] [CrossRef]
- Barragán, R.; Castrellon-Uribe, J.; Garcia-Torales, G.; Rodríguez-Rivas, A. IR characterization of plant leaves, endemic to semi-tropical regions, in two senescent states. Appl. Opt. 2020, 59, E126–E133. [Google Scholar] [CrossRef]
- Suto, H.; Kataoka, F.; Kikuchi, N.; Knuteson, R.O.; Butz, A.; Haun, M.; Buijs, H.; Shiomi, K.; Imai, H.; Kuze, A. Thermal and near-infrared sensor for carbon observation Fourier transform spectrometer-2 (TANSO-FTS-2) on the Greenhouse gases Observing SATellite-2 (GOSAT-2) during its first year in orbit. Atmos. Meas. Tech. 2021, 14, 2013–2039. [Google Scholar] [CrossRef]
- Xiang, L.B.; Yang, J.F.; Gao, Z.; Liu, G. On the tolerance of the mirror tilting in Fourier transform interferometer. Act. Photon. Sinica 1997, 2, 132–135. [Google Scholar]
- Feng, M.; Xu, L.; Jin, L.; Liu, W.; Gao, M.; Li, S.; Li, X.; Tong, J.; Liu, J. Tilt and dynamic alignment for the moving mirror in the Fourier transform infrared spectrometer. Acta Photonica Sin. 2016, 45, 0412005. [Google Scholar] [CrossRef]
- Hu, B. Review of the development of interferometric spectral imaging technology (invited). Acta Photonica Sin. 2022, 51, 751401. [Google Scholar]
- Yu, L.; Li, H.; Li, J.; Li, W. Lossless Compression of Large Aperture Static Imaging Spectrometer Data. Appl. Sci. 2023, 13, 5632. [Google Scholar] [CrossRef]
- Cao, J.; Yuan, Y.; Su, L.; Zhu, C.; Yan, Q. Online Correction Method for the Registration Error between TSMFTIS Detector and Interferogram. Sensors 2020, 20, 1195. [Google Scholar] [CrossRef]
- Yang, J.; Ruan, P.; Bin, X.; Zhao, B. Large-aperture static imaging spectroscopy (LASIS). In Proceedings of the Multispectral and Hyperspectral Remote Sensing Instruments and Applications, Hangzhou, China, 25–27 October 2002; SPIE: Bellingham, WA, USA, 2003; Volume 4897, pp. 318–324. [Google Scholar]
- Barducci, A.; De Cosmo, V.; Marcoionni, P.; Pippi, I. ALISEO: A new stationary imaging interferometer. In Proceedings of the Imaging Spectrometry X, SPIE, Denver, CO, USA, 2–6 August 2004; Volume 5546, pp. 262–270. [Google Scholar]
- Bai, C.; Li, J.; Xu, Y.; Yuan, H.; Liu, J. Compact birefringent interferometer for Fourier transform hyperspectral imaging. Opt. Express 2018, 26, 1703–1725. [Google Scholar] [CrossRef] [PubMed]
- Corti, M.; Ardini, B.; Preda, F.; Perri, A.; Polli, D.; Cerullo, G.; Manzoni, C. A compact and rugged hyperspectral camera for remote sensing based on FT spectroscopy. In Proceedings of the Sensors, Systems, and Next-Generation Satellites XXVII, SPIE, Amsterdam, The Netherlands, 3–7 September 2023; Volume 12729, pp. 427–432. [Google Scholar]
- Sun, J.; Chen, X.; Liu, X.; Hu, B.; Li, S.; Hao, X.; Zhang, H.; Wang, S.; Zhang, Z. Design and Verification of Hyperspectral Imager on HJ-2A/B Satellites. Spacecr. Eng. 2022, 31, 55–62. [Google Scholar]
- Özcan, M.; Sardari, B. Broadband and high-resolution static Fourier transform spectrometer with bandpass sampling. Appl. Spectrosc. 2018, 72, 1116–1121. [Google Scholar] [CrossRef] [PubMed]
- Li, J.; Qu, C.; Wu, H.; Qi, C. Spectral resolution enhanced static Fourier transform spectrometer based on a birefringent retarder array. Opt. Express 2019, 27, 15505–15517. [Google Scholar] [CrossRef]
- Köhler, M.H.; Schardt, M.; Müller, M.; Kienle, P.; Wang, K.; Dong, X.; Giebeler, C.; Wiesent, B.R.; Jakobi, M.; Koch, A.W. Static Fourier transform mid-infrared spectrometer with increased spectral resolution using a stepped mirror. OSA Contin. 2020, 3, 2134–2142. [Google Scholar] [CrossRef]
- Cho, J.Y.; Lee, S.; Kim, H.; Jang, W.K. Spectral Reconstruction for High Spectral Resolution in a Static Modulated Fourier-transform Spectrometer. Curr. Opt. Photonics 2022, 6, 244–251. [Google Scholar]
- Jervis, D.; McKeever, J.; Durak, B.O.; Sloan, J.J.; Gains, D.; Varon, D.J.; Ramier, A.; Strupler, M.; Tarrant, E. The GHGSat-D imaging spectrometer. Atmos. Meas. Tech. 2021, 14, 2127–2140. [Google Scholar] [CrossRef]
- Kokka, A.; Toivanen, H.; Mannila, R.; Näsilä, A. High-resolution hyperspectral imager based on tunable fabry-pérot interferometer filter technology. In Proceedings of the Photonic Instrumentation Engineering IX, SPIE, San Francisco, CA, USA, 22 January–28 February 2022; Volume 12008, pp. 39–46. [Google Scholar]
- Raita-Hakola, A.M.; Annala, L.; Lindholm, V.; Trops, R.; Näsilä, A.; Saari, H.; Ranki, A.; Pölönen, I. FPI Based Hyperspectral Imager for the Complex Surfaces—Calibration, Illumination and Applications. Sensors 2022, 22, 3420. [Google Scholar] [CrossRef] [PubMed]
- Larsen, M.N.; Jørgensen, A.L.; Petrunin, V.; Kjelstrup-Hansen, J.; Jørgensen, B. A hyperspectral thermal imager based on a low order scanning Fabry-Pérot interferometer. In Proceedings of the Image Sensing Technologies: Materials, Devices, Systems, and Applications XI, SPIE, National Harbor, MD, USA, 21–26 April 2024; Volume 13030, pp. 127–137. [Google Scholar]
- Hu, X.; Yang, J.; Rao, X.; Tong, D.; Yao, J.; Du, Z.; Lin, Q.; Rao, C. Fabry-Pérot Interferometer Based Imaging Spectrometer for Fe I Line Observation and Line-of-Sight Velocity Measurement. Sol. Phys. 2024, 299, 112. [Google Scholar] [CrossRef]
- Swinyard, B.; Ferlet, M. Cascaded interferometric imaging spectrometer. Appl. Opt. 2007, 46, 6381–6390. [Google Scholar] [CrossRef] [PubMed]
- Iwata, T.; Koshoubu, J. Proposal for high-resolution, wide-bandwidth, high-optical-throughput spectroscopic system using a Fabry-Perot interferometer. Appl. Spectrosc. 1998, 52, 1008–1013. [Google Scholar] [CrossRef]
- Yang, Q. Compact ultrahigh resolution interferometric spectrometer. Opt. Express 2019, 27, 30606–30617. [Google Scholar] [CrossRef] [PubMed]
- Yang, Q. First order design of compact, broadband, high spectral resolution ultraviolet-visible imaging spectrometer. Opt. Express 2020, 28, 5587–5601. [Google Scholar] [CrossRef] [PubMed]
- Yang, Q. Theoretical analysis of compact ultrahigh-spectral-resolution infrared imaging spectrometer. Opt. Express 2020, 28, 16616–16632. [Google Scholar] [CrossRef] [PubMed]
- Chen, L.; Yang, P.; Xie, B.; Feng, S. Super-resolution spectroscopy via spectrum slicing with a Fabry–Perot cavity. JOSA J. Opt. Soc. Am. B 2024, 41, 1069–1075. [Google Scholar] [CrossRef]
- Rukdee, S.; Ben-Ami, S.; Szentgyorgyi, A.; López-Morales, M.; Charbonneau, D.; Garcia-Mejia, J. Characterization of a multi-etalon array for ultra-high resolution spectroscopy. In Proceedings of the Ground-based and Airborne Instrumentation for Astronomy VIII, SPIE, Online, 14–18 December 2020; Volume 11447, pp. 337–350. [Google Scholar]
- Zhang, Y.; Lv, Q.; Tang, Y.; He, P.; Zhu, B.; Sui, X.; Yang, Y.; Bai, Y.; Liu, Y. Super-Resolution Multicomponent Joint-Interferometric Fabry–Perot-Based Technique. Appl. Sci. 2023, 13, 1012. [Google Scholar] [CrossRef]
- Cook, W.B.; Snell, H.E.; Hays, P.B. Multiplex Fabry–Perot interferometer: I. Theory. Appl. Opt. 1995, 34, 5263–5267. [Google Scholar] [CrossRef]
- McGill, M.J.; Skinner, W.R.; Irgang, T.D. Analysis techniques for the recovery of winds and backscatter coefficients from a multiple-channel incoherent Doppler lidar. Appl. Opt. 1997, 36, 1253–1268. [Google Scholar] [CrossRef] [PubMed]
- Sloggett, G. Fringe broadening in Fabry-Perot interferometers. Appl. Opt. 1984, 23, 2427–2432. [Google Scholar] [CrossRef]
















| Hyperspectral Imaging System | (dB) | (dB) | Iterations | Optimize Time (s) | |
|---|---|---|---|---|---|
| FTIS (L) | 18.107 | 0.5577 | |||
| FTIS (2L) | 18.518 | 0.5660 | |||
| SMJI-HI | 9.877 | 18.515 | 0.5635 | 36 | 14.8 |
| Hyperspectral Imaging System | (dB) | (dB) | Iterations | Optimize Time (s) | |
|---|---|---|---|---|---|
| FTIS (L) | 18.107 | 0.5577 | |||
| FTIS (2L) | 18.518 | 0.5660 | |||
| SMJI-HI | 8.263∼9.878 | 18.505∼18.515 | 0.5632∼0.5639 | 36∼37 | 12.1∼18.9 |
| Hyperspectral Imaging System | (dB) | (dB) | Iterations | Optimize Time (s) | ||
|---|---|---|---|---|---|---|
| FTIS (L) | 18.107 | 0.5577 | ||||
| FTIS (2L) | 18.518 | 0.5660 | ||||
| SMJI-HI | 0.125 | 9.102 | 18.502 | 0.5624 | 36 | 9.9 |
| (improved | 0.25 | 9.618 | 18.508 | 0.5619 | 36 | 12.2 |
| algorithm) | 0.5 | 8.256 | 18.493 | 0.5608 | 36 | 21.4 |
| SMJI-HI | 0.125 | 7.629 | 18.479 | 0.5652 | 37 | 16.6 |
| (unimproved | 0.25 | 3.187 | 18.312 | 0.5684 | 37 | 17.2 |
| algorithm) | 0.5 | 1.855 | 17.662 | 0.5761 | 37 | 16.5 |
Disclaimer/Publisher’s Note: The statements, opinions and data contained in all publications are solely those of the individual author(s) and contributor(s) and not of MDPI and/or the editor(s). MDPI and/or the editor(s) disclaim responsibility for any injury to people or property resulting from any ideas, methods, instructions or products referred to in the content. |
© 2025 by the authors. Licensee MDPI, Basel, Switzerland. This article is an open access article distributed under the terms and conditions of the Creative Commons Attribution (CC BY) license (https://creativecommons.org/licenses/by/4.0/).
Share and Cite
Zhang, Y.; Lv, Q.; Wang, J.; Tang, Y.; Si, J.; Chen, X.; Liu, Y. Spectral Super-Resolution Technology Based on Fabry–Perot Interferometer for Temporally and Spatially Modulated Fourier Transform Imaging Spectrometer. Sensors 2025, 25, 1201. https://doi.org/10.3390/s25041201
Zhang Y, Lv Q, Wang J, Tang Y, Si J, Chen X, Liu Y. Spectral Super-Resolution Technology Based on Fabry–Perot Interferometer for Temporally and Spatially Modulated Fourier Transform Imaging Spectrometer. Sensors. 2025; 25(4):1201. https://doi.org/10.3390/s25041201
Chicago/Turabian StyleZhang, Yu, Qunbo Lv, Jianwei Wang, Yinhui Tang, Jia Si, Xinwen Chen, and Yangyang Liu. 2025. "Spectral Super-Resolution Technology Based on Fabry–Perot Interferometer for Temporally and Spatially Modulated Fourier Transform Imaging Spectrometer" Sensors 25, no. 4: 1201. https://doi.org/10.3390/s25041201
APA StyleZhang, Y., Lv, Q., Wang, J., Tang, Y., Si, J., Chen, X., & Liu, Y. (2025). Spectral Super-Resolution Technology Based on Fabry–Perot Interferometer for Temporally and Spatially Modulated Fourier Transform Imaging Spectrometer. Sensors, 25(4), 1201. https://doi.org/10.3390/s25041201

