LoRaBB: An Algorithm for Parameter Selection in LoRa-Based Communication for the Amazon Rainforest
Abstract
1. Introduction
- Bandwidth (BW): This refers to the communication channel’s capacity to transmit data within a specific time frame. BW significantly influences data transmission speed and sensitivity to noise. For instance, increasing bandwidth enhances data transmission speed but may reduce sensitivity [11].
- Spreading factor (SF): This determines the trade-off between data rate and range in LoRa. Lower SF values provide higher data rates and shorter ranges, suitable for nodes closer to gateways. In contrast, higher SF values are preferable for nodes situated at a greater distance. LoRa defines six SF values (7 to 12) that influence the chirp bit count and directly influence energy consumption and data rate [11,12].
- Coding rate (CR): This determines the bits allocated for error-checking transmission redundancy. In summary, a higher CR value implies a greater degree of redundancy, which contributes to an improvement in the error-correction capabilities of the transmitted data.
- Transmission power (TP): TP represents the transmission power used by the transmitter. Lower TP values contribute to reduced battery consumption, while higher values increase the probability of successful communication and extend the communication range.
2. Related Work
3. Architecture Overview
3.1. Overview of Technique Requirements
- Stationary end nodes: The end nodes, also known as end devices, contain a LoRa transceiver and transmit data to gateways using LoRa modulation [33]. Each node deployed remains stationary, serving as a communication network endpoint. However, we have considered that its initial location is initially unknown to both nodes.
- Node-gateway discovery: Gateways are nodes with Internet connectivity, consisting of a transmitter and a microprocessor [33]. Further, the gateway is designed to attempt to initiate the LoRa parameter selection by using a set of default parameters, facilitating the node discovery phase.
3.2. ADR LoRaWAN
3.3. The Proposed LoRaBB Parameter Selection Algorithm
- 1.
- -array building: In this phase the communication in the forest scenario is characterized and evaluated in order to create the R-array, a structure that defines the mean expected performance of the LoRa communication in our scenario. The main aspects of the scenario characterization and the details of the R-array building are described in Section 3.3.1.
- 2.
- Algorithm design: In this phase, the algorithm is fully described, as well as how each end node uses the R-array loaded in its firmware to run the algorithm logic during the life cycle of the network. The details of how the binary search approach was utilized is described in Section 3.3.2.
3.3.1. The R-Array Building
3.3.2. The Binary Search Phase
- Initially, when : In this condition, the algorithm detected suboptimal network performance, since . Thus, LoRaBB indicates that it might be a more suitable LoRa parameter combination for the end node, by improving LoRa parameters such as increasing SF or PT, or decreasing BW. Consequently, it shifts to the right side of the R-array using the binary strategy.
- Next evaluation: Following the shift step, the LoRaBB calculates the new R value for the combination represented by in the R-array, yielding .Comparing it to the updated , if the absolute difference is lower than the , the algorithm will shift to the left side to search for a more suitable parameter combination since R is greater than , so the parameters can still be optimized.
- Stopping conditions: The search phase concludes when either the absolute difference between R and is lower than or no further binary steps are available.
| Algorithm 1: Binary Search LoRa Parameter Selection. |
![]() |
4. Design of Experiments
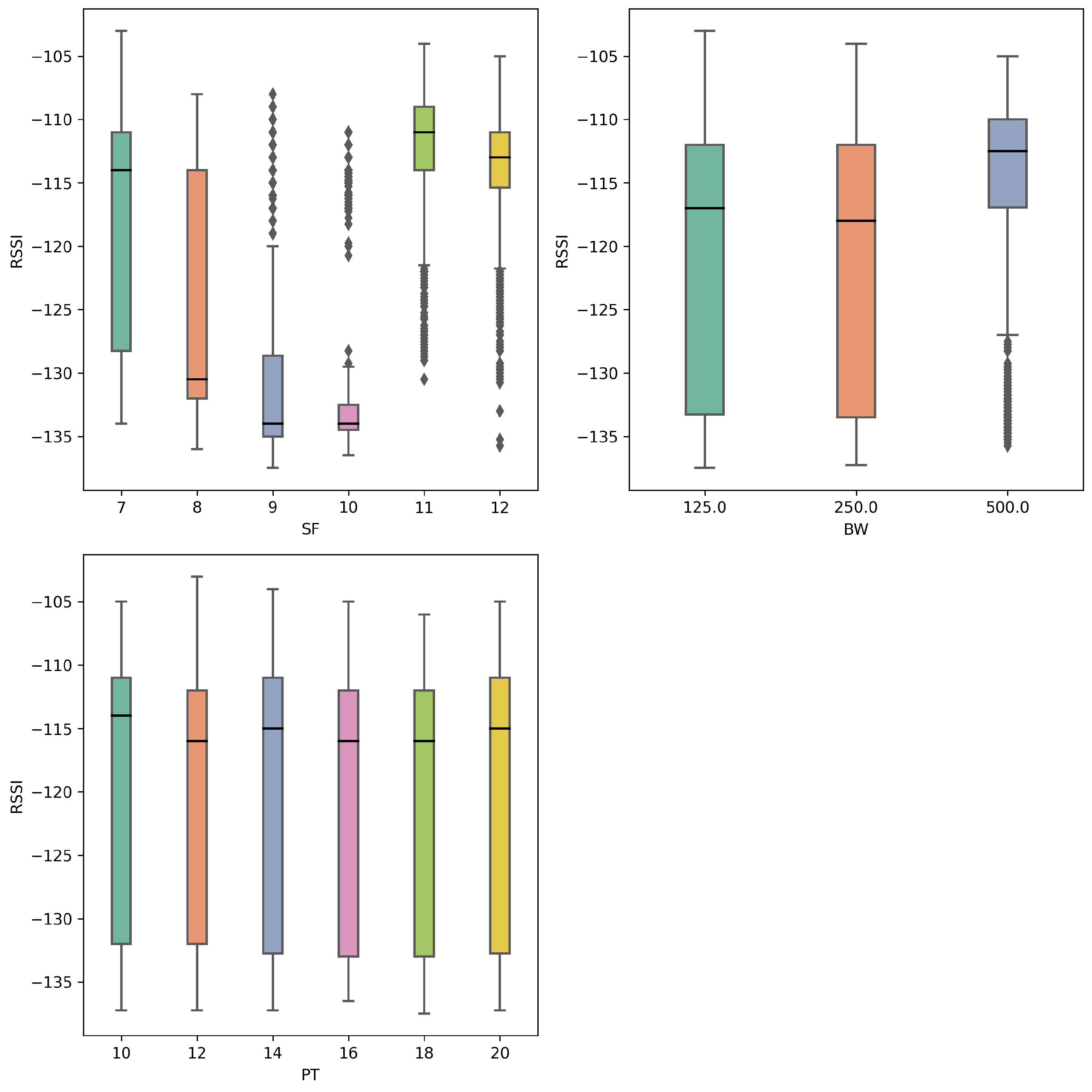
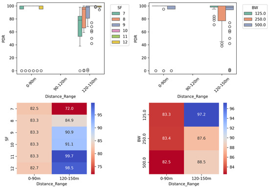
5. Results
6. Conclusions and Future Work
Author Contributions
Funding
Institutional Review Board Statement
Informed Consent Statement
Data Availability Statement
Conflicts of Interest
Abbreviations
| LoRa | Long Range |
| TP | Transmission power |
| BW | Bandwidth |
| SF | Spreading factor |
| CR | Coding rate |
| ADR | Adaptive Data Rate |
| ToA | Time on Air |
| RSSI | Received signal strength indicator |
| SNR | Signal-to-noise ratio |
| PDR | Packet delivery ratio |
References
- de Souza, J.R.; de Moraes, M.E.B.; Sonoda, S.L.; Santos, H.C.R.G. A importância da qualidade da água e os seus múltiplos usos: Caso Rio Almada, sul da Bahia, Brasil. REDE-Rev. Eletrônica Prodema 2014, 8. Available online: http://www.revistarede.ufc.br/rede/article/view/217 (accessed on 7 January 2025).
- Rico, A.; de Oliveira, R.; de Souza Nunes, G.S.; Rizzi, C.; Villa, S.; López-Heras, I.; Vighi, M.; Waichman, A.V. Pharmaceuticals and other urban contaminants threaten Amazonian freshwater ecosystems. Environ. Int. 2021, 155, 106702. [Google Scholar] [CrossRef] [PubMed]
- de Souza Filho, E.A.; Alves, S.B.d.S.M.; Neves, R.K.R.; Batista, I.H.; de Albuquerque, C.C.; Damasceno, S.B.; do Nascimento, D.A. Estudo comparativo de aspectos físico-químicos entre águas da microbacia do mindu e igarapés sob influência antrópica na cidade de Manaus-AM/Comparative study of physicochemical aspects between mindu microbacy waters and igarapes under anthropic influence in Manaus-AM city. Braz. J. Dev. 2020, 6, 2419–2433. [Google Scholar]
- Das, B.; Jain, P. Real-time water quality monitoring system using Internet of Things. In Proceedings of the 2017 International Conference on Computer, Communications and Electronics (Comptelix), Jaipur, India, 1–2 July 2017; pp. 78–82. [Google Scholar]
- Pasika, S.; Gandla, S.T. Smart water quality monitoring system with cost-effective using IoT. Heliyon 2020, 6, e04096. [Google Scholar] [CrossRef] [PubMed]
- Ribeiro, L.E.; Tokikawa, D.W.; Rebelatto, J.L.; Brante, G. Comparison between LoRa and NB-IoT coverage in urban and rural Southern Brazil regions. Ann. Telecommun. 2020, 75, 755–766. [Google Scholar] [CrossRef]
- Marini, R.; Mikhaylov, K.; Pasolini, G.; Buratti, C. Low-power wide-area networks: Comparison of LoRaWAN and NB-IoT performance. IEEE Internet Things J. 2022, 9, 21051–21063. [Google Scholar] [CrossRef]
- Ballerini, M.; Polonelli, T.; Brunelli, D.; Magno, M.; Benini, L. NB-IoT versus LoRaWAN: An experimental evaluation for industrial applications. IEEE Trans. Ind. Inform. 2020, 16, 7802–7811. [Google Scholar] [CrossRef]
- Chen, W.; Hao, X.; Lu, J.; Yan, K.; Liu, J.; He, C.; Xu, X. Research and design of distributed IoT water environment monitoring system based on LoRa. Wirel. Commun. Mob. Comput. 2021, 2021, 9403963. [Google Scholar] [CrossRef]
- Almuhaya, M.A.M.; Jabbar, W.A.; Sulaiman, N.; Abdulmalek, S. A Survey on LoRaWAN Technology: Recent Trends, Opportunities, Simulation Tools and Future Directions. Electronics 2022, 11, 164. [Google Scholar] [CrossRef]
- LoRa Modulation Basics, 2015. Available online: https://www.frugalprototype.com/wp-content/uploads/2016/08/an1200.22.pdf (accessed on 1 December 2023).
- Bor, M.; Roedig, U. LoRa transmission parameter selection. In Proceedings of the 2017 13th International Conference on Distributed Computing in Sensor Systems (DCOSS), Ottawa, ON, Canada, 5–7 June 2017; pp. 27–34. [Google Scholar]
- Sugiyama, S.; Makizoe, K.; Arai, M.; Hasegawa, M.; Otsuki, T.; Li, A. Fully Autonomous Distributed Transmission Parameter Selection Method for Mobile IoT Applications Using Deep Reinforcement Learning. In Proceedings of the 2024 IEEE 99th Vehicular Technology Conference (VTC2024-Spring), Washington, DC, USA, 24–27 June 2024; pp. 1–5. [Google Scholar]
- Rašić, T.; Simon, J.L.E.; Zorić, N.; Simić, M. The Impact of LoRa Transmission Parameters on Packet Delivery and Dissipation Power. In Proceedings of the 2021 International Balkan Conference on Communications and Networking (BalkanCom), Novi Sad, Serbia, 20–22 September 2021; pp. 11–15. [Google Scholar]
- Polidori, L.; Caldeira, C.R.T.; Smessaert, M.; Hage, M.E. Digital elevation modeling through forests: The challenge of the Amazon. Acta Amaz. 2022, 52, 69–80. [Google Scholar] [CrossRef]
- Li, C.; Cao, Z. Lora networking techniques for large-scale and long-term iot: A down-to-top survey. ACM Comput. Surv. CSUR 2022, 55, 1–36. [Google Scholar] [CrossRef]
- Carlsson, A.; Kuzminykh, I.; Franksson, R.; Liljegren, A. Measuring a LoRa network: Performance, possibilities and limitations. In Proceedings of the Internet of Things, Smart Spaces, and Next Generation Networks and Systems: 18th International Conference, NEW2AN 2018, and 11th Conference, ruSMART 2018, St. Petersburg, Russia, 27–29 August 2018; Springer: Berlin/Heidelberg, Germany, 2018; pp. 116–128. [Google Scholar]
- Sarker, V.K.; Queralta, J.P.; Gia, T.N.; Tenhunen, H.; Westerlund, T. A survey on LoRa for IoT: Integrating edge computing. In Proceedings of the 2019 Fourth International Conference on Fog and Mobile Edge Computing (FMEC), Rome, Italy, 10–13 June 2019; pp. 295–300. [Google Scholar]
- Ojo, M.O.; Adami, D.; Giordano, S. Experimental evaluation of a LoRa wildlife monitoring network in a forest vegetation area. Future Internet 2021, 13, 115. [Google Scholar] [CrossRef]
- Wang, H.; Pei, P.; Pan, R.; Wu, K.; Zhang, Y.; Xiao, J.; Yang, J. A collision reduction adaptive data rate algorithm based on the fsvm for a low-cost lora gateway. Mathematics 2022, 10, 3920. [Google Scholar] [CrossRef]
- Neumann, P.; Montavont, J.; Noel, T. Indoor deployment of low-power wide area networks (LPWAN): A LoRaWAN case study. In Proceedings of the 2016 IEEE 12th International Conference on Wireless and Mobile Computing, Networking and Communications (WiMob), New York, NY, USA, 17–19 October 2016; pp. 1–8. [Google Scholar]
- Kartakis, S.; Choudhary, B.D.; Gluhak, A.D.; Lambrinos, L.; McCann, J.A. Demystifying low-power wide-area communications for city IoT applications. In Proceedings of the Tenth ACM International Workshop on Wireless Network Testbeds, Experimental Evaluation, and Characterization, New York, NY, USA, 3–7 October 2016; pp. 2–8. [Google Scholar]
- Cattani, M.; Boano, C.A.; Römer, K. An experimental evaluation of the reliability of lora long-range low-power wireless communication. J. Sens. Actuator Netw. 2017, 6, 7. [Google Scholar] [CrossRef]
- Gao, W.; Du, W.; Zhao, Z.; Min, G.; Singhal, M. Towards energy-fairness in lora networks. In Proceedings of the 2019 IEEE 39th International Conference on Distributed Computing Systems (ICDCS), Dallas, TX, USA, 7–10 July 2019; pp. 788–798. [Google Scholar]
- Angrisani, L.; Arpaia, P.; Bonavolontà, F.; Conti, M.; Liccardo, A. LoRa protocol performance assessment in critical noise conditions. In Proceedings of the 2017 IEEE 3rd International Forum on Research and Technologies for Society and Industry (RTSI), Modena, Italy, 11–13 September 2017; pp. 1–5. [Google Scholar] [CrossRef]
- The Things Network. LoRaWAN Adaptive Data Rate; 2016. Available online: https://www.thethingsnetwork.org/docs/lorawan/adaptive-data-rate/ (accessed on 7 January 2025).
- Serati, R.; Teymuri, B.; Anagnostopoulos, N.A.; Rasti, M. ADR-Lite: A Low-Complexity Adaptive Data Rate Scheme for the LoRa Network. In Proceedings of the 2022 18th International Conference on Wireless and Mobile Computing, Networking and Communications (WiMob), Thessaloniki, Greece, 10–12 October 2022; pp. 296–301. [Google Scholar] [CrossRef]
- de Jesus, G.G.M.; Souza, R.D.; Montez, C.; Hoeller, A. LoRaWAN Adaptive Data Rate With Flexible Link Margin. IEEE Internet Things J. 2021, 8, 6053–6061. [Google Scholar] [CrossRef]
- Khalifeh, A.; Shraideh, S.; Darabkh, K.A. Joint Channel and Spreading Factor Selection Algorithm for LoRaWAN Based Networks. In Proceedings of the 2020 International Conference on UK-China Emerging Technologies (UCET), Glasgow, UK, 20–21 August 2020; pp. 1–4. [Google Scholar] [CrossRef]
- Filho, M.C.; Campista, M. Economia de Energia através da Configuração Inteligente de Parâmetros de Camada Física em Redes LoRa. In Proceedings of the Anais do XL Simpósio Brasileiro de Redes de Computadores e Sistemas Distribuídos, Porto Alegre, RS, Brasil, 24–25 April 2022; pp. 559–572. [Google Scholar] [CrossRef]
- Yatagan, T.; Oktug, S. Smart Spreading Factor Assignment for LoRaWANs. In Proceedings of the 2019 IEEE Symposium on Computers and Communications (ISCC), Barcelona, Spain, 29 June–3 July 2019; pp. 1–7. [Google Scholar] [CrossRef]
- Ilahi, I.; Usama, M.; Farooq, M.O.; Umar Janjua, M.; Qadir, J. LoRaDRL: Deep Reinforcement Learning Based Adaptive PHY Layer Transmission Parameters Selection for LoRaWAN. In Proceedings of the 2020 IEEE 45th Conference on Local Computer Networks (LCN), Sydney, Australia, 16–19 November 2020; pp. 457–460. [Google Scholar] [CrossRef]
- Alliance, L. Lora and Lorawan—A Technical Overview; White Paper; 2019. Available online: https://www.semtech.com/uploads/technology/LoRa/lora-and-lorawan.pdf (accessed on 7 January 2025).
- Semtech Corporation. LoRaWAN—Simple Rate Adaptation Recommended Algorithm; 2016. Available online: https://www.thethingsnetwork.org/forum/uploads/default/original/2X/7/7480e044aa93a54a910dab8ef0adfb5f515d14a1.pdf (accessed on 7 January 2025).
- Demetri, S.; Zúñiga, M.; Picco, G.P.; Kuipers, F.; Bruzzone, L.; Telkamp, T. Automated estimation of link quality for LoRa: A remote sensing approach. In Proceedings of the 18th International Conference on Information Processing in Sensor Networks, Montreal, QC, Canada, 16–18 April 2019; pp. 145–156. [Google Scholar]
- Richardson Ansah, M.; Sowah, R.A.; Melià-Seguí, J.; Katsriku, F.A.; Vilajosana, X.; Owusu Banahene, W. Characterising foliage influence on LoRaWAN pathloss in a tropical vegetative environment. IET Wirel. Sens. Syst. 2020, 10, 198–207. [Google Scholar] [CrossRef]
- Ferreira, A.E.; Ortiz, F.M.; Costa, L.H.M.; Foubert, B.; Amadou, I.; Mitton, N. A study of the LoRa signal propagation in forest, urban, and suburban environments. Ann. Telecommun. 2020, 75, 333–351. [Google Scholar] [CrossRef]
- Almeida-Correa, T.; Frazao, L.; Costa, D.M.; Menin, M.; Kaefer, I.L. Effect of environmental parameters on squamate reptiles in an urban forest fragment in central Amazonia. Acta Amaz. 2020, 50, 239–245. [Google Scholar] [CrossRef]
- Križanović, V.; Grgić, K.; Spišić, J.; Žagar, D. An Advanced Energy-Efficient Environmental Monitoring in Precision Agriculture Using Lora-Based Wireless Sensor Networks. Sensors 2023, 23, 6332. [Google Scholar] [CrossRef] [PubMed]
- Bouguera, T.; Diouris, J.F.; Chaillout, J.J.; Jaouadi, R.; Andrieux, G. Energy Consumption Model for Sensor Nodes Based on LoRa and LoRaWAN. Sensors 2018, 18, 2104. [Google Scholar] [CrossRef] [PubMed]
















| Authors | LoRa Parameters Used | Scenario | Missing Points |
|---|---|---|---|
| Gao et al. [24] | SF, CR, BW | Simulated | The authors presented a mathematical model to achieve max–min fairness of energy efficiency based on LoRa parameter selection considering free-space path loss. Nevertheless, the authors did not consider any impact of the environment on signal attenuation in the mathematical modeling. |
| Angrisani et al. [25] | SF, CR, BW | Real Scenario | The authors verified the robustness of the LoRa communication protocol versus different levels of white Gaussian noise based on SF, CR, and BW values. Despite demonstrating the robustness of LoRa in different noise scenarios, the impact of environment attenuation factors were not fully evaluated. |
| The Things Network (TTN) [26] | SF | Simulated | In the ADR TTN white paper, the ADR is based on the link budget capacity to update SF. In addition, many aspects of algorithm design and parameter values were not fully addressed, and even the details of the mathematical modeling were not. |
| Serati et al. [27] | SF, TP, CF, CR | Simulated | The authors applied simulations using the Oulu Lora Path Loss model based on real urban scenarios. Their modified ADR version considered mobile and static end devices. Thus, the path loss model used in their experiments may not be suitable for performance evaluation considering communication within vegetation and forests. |
| de Jesus et al. [28] | SF, SNR | Simulated | The authors evaluated their experiments by comparing SF and SNR performance using free-space path loss, which may not be suitable for reflecting behavior in forest communications. |
| Khalifeh, Shefaa, and Darabkh [29] | SF | Simulated | The authors presented an algorithm to select SF parameters based on rate demand. In their simulations, they applied a white Gaussian noise in path loss to simulate lossy urban environments. Other attenuation factors were not addressed in the algorithm design. |
| ML techniques [13,32] | SF, CR, BW | Simulated | The machine learning-based algorithms proposed by [13,32] lack a detailed specification of the path loss model used in their simulations. While these studies considered multi-device communication channel interference, they did not comprehensively evaluate environmental attenuation factors. |
| Parameter | Value |
|---|---|
| Spreading Factor | 12 |
| Bandwidth | 125 kHz |
| Transmission Power | 20 dBm |
| Code Rate | 4/5 |
| Parameter | Values |
|---|---|
| Spreading Factor | |
| Bandwidth | kHz |
| Transmission Power | dBm |
| Coding Rate |
| Step | Combination | SF | BW | PT | Calculated R | Move | |
|---|---|---|---|---|---|---|---|
| 1 | 8 | 500 | 20 | 0.30 | 0.50 | Move Right | |
| 2 | 12 | 125 | 20 | 0.95 | 0.80 | Move Left | |
| 3 | 10 | 500 | 20 | 0.75 | 0.70 | Accept |
Disclaimer/Publisher’s Note: The statements, opinions and data contained in all publications are solely those of the individual author(s) and contributor(s) and not of MDPI and/or the editor(s). MDPI and/or the editor(s) disclaim responsibility for any injury to people or property resulting from any ideas, methods, instructions or products referred to in the content. |
© 2025 by the authors. Licensee MDPI, Basel, Switzerland. This article is an open access article distributed under the terms and conditions of the Creative Commons Attribution (CC BY) license (https://creativecommons.org/licenses/by/4.0/).
Share and Cite
Moreira, D.S.; Santos, G.; Yanai, A.E.; Souza, P.B.d.; Melo, P.V.F.d.; Mota, E. LoRaBB: An Algorithm for Parameter Selection in LoRa-Based Communication for the Amazon Rainforest. Sensors 2025, 25, 1200. https://doi.org/10.3390/s25041200
Moreira DS, Santos G, Yanai AE, Souza PBd, Melo PVFd, Mota E. LoRaBB: An Algorithm for Parameter Selection in LoRa-Based Communication for the Amazon Rainforest. Sensors. 2025; 25(4):1200. https://doi.org/10.3390/s25041200
Chicago/Turabian StyleMoreira, Diogo Soares, Gilmara Santos, Angela Emi Yanai, Pedro Barreto de Souza, Paulo Victor Fernandes de Melo, and Edjair Mota. 2025. "LoRaBB: An Algorithm for Parameter Selection in LoRa-Based Communication for the Amazon Rainforest" Sensors 25, no. 4: 1200. https://doi.org/10.3390/s25041200
APA StyleMoreira, D. S., Santos, G., Yanai, A. E., Souza, P. B. d., Melo, P. V. F. d., & Mota, E. (2025). LoRaBB: An Algorithm for Parameter Selection in LoRa-Based Communication for the Amazon Rainforest. Sensors, 25(4), 1200. https://doi.org/10.3390/s25041200


