A Bearing Fault Diagnosis Model Based on a Simplified Wide Convolutional Neural Network and Random Forrest
Abstract
1. Introduction
2. SWDCNN-RF Basic Theory
- (1)
- Select a training set containing N samples, with each sample including M features;
- (2)
- Randomly select k features (k < M) as the candidate set of features for node splitting in each decision tree;
- (3)
- For each node, select the optimal feature from the candidate feature set for splitting to minimize the impurity (Gini index or information entropy) after the split;
- (4)
- Repeat steps 2 and 3 to construct n decision trees;
- (5)
- For a new test sample, input it into each decision tree and obtain a comprehensive prediction through methods such as averaging or voting.
- (1)
- Calculate the mean and variance of the current small batch;
- (2)
- Calculate the standardized , subtract the mean of the small batch from the input, and then divide by the standard deviation , where is a very small constant to prevent the phenomenon of dividing by 0;
- (3)
- Enlarge , multiply by the same scaling value , and add a bias value to enhance the network expression ability after batch normalization layer.
3. Fault Diagnosis of Rolling Bearings Based on SWDCNN-RF
3.1. Dataset Introduction
3.2. Application of Methods
- Model initialization section:
- class sWDCNN(BasicTorchModel):
- def __init__(self, name, input_shape=(1, 1024), num_classes=2):
- super().__init__()
- self.model_name = name
- self.loss_fn = None
- self.optimizer = None
- self.metric_fn = None
- The first convolutional layer:
- padding_1 = self.clac_padding(input_shape[1], 64, 16)
- self.conv1d_1 = nn.Conv1d(input_shape[0], 16, kernel_size=64, stride=16, padding=padding_1)
- self.bn_1 = nn.BatchNorm1d(16)
- self.active_1 = nn.ReLU()
- self.pool1d_1 = nn.MaxPool1d(2)
- The second convolutional layer:
- input_size_2 = int(np.floor(np.ceil(input_shape[1] / 16) / 2))
- padding_2 = self.clac_padding(input_size_2, 3, 1)
- self.conv1d_2 = nn.Conv1d(16, 32, kernel_size=3, stride=1, padding=padding_2)
- self.bn_2 = nn.BatchNorm1d(32)
- self.active_2 = nn.ReLU()
- self.pool1d_2 = nn.MaxPool1d(2, 2)
- Flattening and fully connected layer:
- self.flatten = nn.Flatten()
- self.dropout = nn.Dropout(0.2)
- input_size_3 = int(np.floor(input_size_2 / 2) * 32)
- self.linear_3 = nn.Linear(input_size_3, 32)
- self.active_3 = nn.ReLU()
- Encoder and output layer:
- self.linear_4 = nn.Linear(32, 8)
- self.active_4 = nn.ReLU()
- self.linear_5 = nn.Linear(8, num_classes)
- self.active_5 = nn.Softmax(dim = 1)
3.3. Experimental Comparative Analysis
4. Conclusions
- (1)
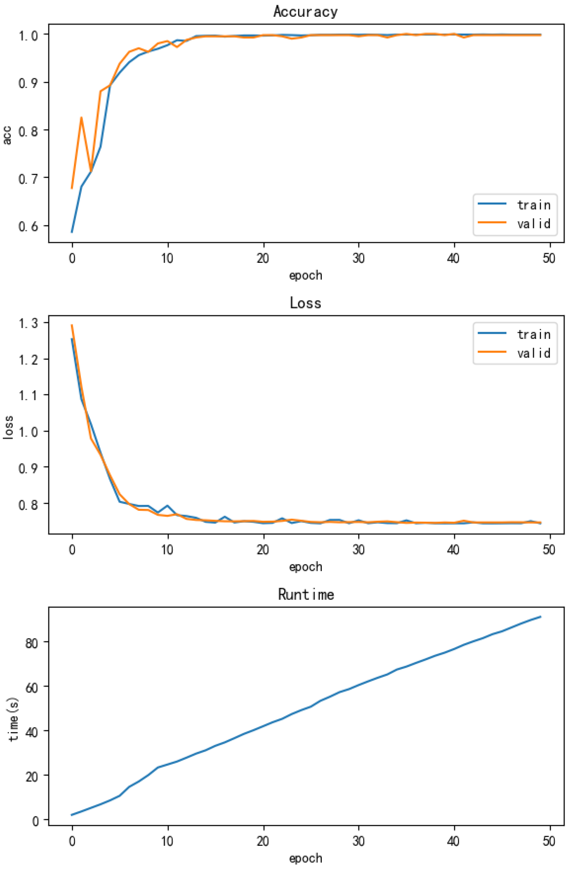
- Improved Processing Speed: At 50 training epochs, the SWDCNN-RF model demonstrated a 38.51% faster response speed than the traditional WDCNN model and was 26.02% faster than the CNN-ResNeSt model when processing vibration signal data at mixed speeds. This significant improvement in processing speed, coupled with reduced training fluctuations, highlights the model’s ability to maintain stable and efficient performance when dealing with complex and diverse input data. This is highly valuable for real-time fault diagnosis in practical industrial applications.
- (2)
- Enhanced Diagnostic Accuracy: The SWDCNN-RF model significantly improved the diagnostic accuracy of convolutional neural networks when processing the rolling bearing dataset of Western Reserve University, with an accuracy of 99.6%. This result indicates that the model has excellent performance in handling rolling bearing fault diagnosis tasks and can accurately identify and classify different types of faults. This high-precision diagnostic capability is of great significance for predicting and preventing equipment failures, extending equipment lifespan, and reducing maintenance costs.
- (3)
- Strong Generalization and Robustness: The superior performance of the SWDCNN-RF model is not only reflected in speed and accuracy but also in its strong generalization ability and robustness. The model performs well under different working conditions and can effectively cope with various noise and interference factors, which makes its application prospects in industrial environments very broad. By combining the advantages of wide convolutional neural networks and random forests, the SWDCNN-RF model not only demonstrates powerful capabilities in the field of fault diagnosis but also provides an efficient and reliable solution for other similar time series analysis tasks.
Author Contributions
Funding
Institutional Review Board Statement
Informed Consent Statement
Data Availability Statement
Conflicts of Interest
References
- Guo, Y.; Zhang, J.; Sun, B.; Wang, Y. A Universal Fault Diagnosis Framework for Marine Machinery Based on Domain Adaptation. Ocean Eng. 2024, 302, 117729. [Google Scholar] [CrossRef]
- Lin, Y.; Huang, S.; Chen, B.; Shi, D.; Zhou, Z.; Deng, R.; Huang, B.; Gu, F.; Ball, A.D. A Novel Drum-Shaped Metastructure Aided Weak Signal Enhancement Method for Bearing Fault Diagnosis. Mech. Syst. Signal Process. 2024, 209, 111077. [Google Scholar] [CrossRef]
- Jain, P.H.; Bhosle, S.P. Mathematical Modeling, Simulation and Analysis of Non-Linear Vibrations of a Ball Bearing Due to Radial Clearance and Number of Balls. Mater. Today Proc. 2023, 72, 927–936. [Google Scholar] [CrossRef]
- Li, H.; Lin, J.; Liu, Z.; Jiao, J.; Zhang, B. An Interpretable Waveform Segmentation Model for Bearing Fault Diagnosis. Adv. Eng. Inform. 2024, 61, 102480. [Google Scholar] [CrossRef]
- Qin, C.; Wang, D.; Xu, Z.; Tang, G. Improved Empirical Wavelet Transform for Compound Weak Bearing Fault Diagnosis with Acoustic Signals. Appl. Sci. 2020, 10, 682. [Google Scholar] [CrossRef]
- Irfan, M.; Alwadie, A.S.; Glowacz, A.; Awais, M.; Rahman, S.; Khan, M.K.A.; Jalalah, M.; Alshorman, O.; Caesarendra, W. A Novel Feature Extraction and Fault Detection Technique for the Intelligent Fault Identification of Water Pump Bearings. Sensors 2021, 21, 4225. [Google Scholar] [CrossRef] [PubMed]
- Hou, D.; Qi, H.; Li, D.; Wang, C.; Han, D.; Luo, H.; Peng, C. High-Speed Train Wheel Set Bearing Fault Diagnosis and Prognostics: Research on Acoustic Emission Detection Mechanism. Mech. Syst. Signal Process. 2022, 179, 109325. [Google Scholar] [CrossRef]
- Malla, C.; Panigrahi, I. Review of Condition Monitoring of Rolling Element Bearing Using Vibration Analysis and Other Techniques. J. Vib. Eng. Technol. 2019, 7, 407–414. [Google Scholar] [CrossRef]
- Zheng, J.; Pan, H.; Tong, J.; Liu, Q. Generalized Refined Composite Multiscale Fuzzy Entropy and Multi-Cluster Feature Selection Based Intelligent Fault Diagnosis of Rolling Bearing. ISA Trans. 2022, 123, 136–151. [Google Scholar] [CrossRef]
- Zhao, Z.; Wang, S.; Wong, D.; Wang, W.; Yan, R.; Chen, X. Fast Sparsity-Assisted Signal Decomposition with Nonconvex Enhancement for Bearing Fault Diagnosis. IEEE ASME Trans. Mechatron. 2022, 27, 2333–2344. [Google Scholar] [CrossRef]
- Choi, D.-J.; Han, J.-H.; Park, S.-U.; Hong, S.-K. Data Preprocessing Method in Motor Fault Diagnosis Using Unsupervised Learning. In Proceedings of the 2019 19th International Conference on Control, Automation and Systems (ICCAS), Jeju, Republic of Korea, 15–18 October 2019; pp. 1508–1511. [Google Scholar]
- Song, R.; Jiang, Q. Application of VMD Combined with CNN and LSTM in Motor Bearing Fault. In Proceedings of the 2021 IEEE 16th Conference on Industrial Electronics and Applications (ICIEA), Chengdu, China, 1–4 August 2021; pp. 1661–1666. [Google Scholar]
- Fan, H.; Ren, Z.; Zhang, X.; Cao, X.; Ma, H.; Huang, J. A Gray Texture Image Data-Driven Intelligent Fault Diagnosis Method of Induction Motor Rotor-Bearing System under Variable Load Conditions. Measurement 2024, 233, 114742. [Google Scholar] [CrossRef]
- Han, J.-H.; Choi, D.-J.; Park, S.-U.; Hong, S.-K. A Study on Motor Poor Maintenance Detection Based on DT-CNN. In Proceedings of the 2019 19th International Conference on Control, Automation and Systems (ICCAS), Jeju, Republic of Korea, 15–18 October 2019; pp. 1234–1237. [Google Scholar]
- Hongwei, F.; Ceyi, X.; Jiateng, M.; Xiangang, C.; Xuhui, Z. A Novel Intelligent Diagnosis Method of Rolling Bearing and Rotor Composite Faults Based on Vibration Signal-to-Image Mapping and CNN-SVM. Meas. Sci. Technol. 2023, 34, 044008. [Google Scholar] [CrossRef]
- Yuan, Z.; Zhang, L.; Duan, L.; Li, T. Intelligent Fault Diagnosis of Rolling Element Bearings Based on HHT and CNN. In Proceedings of the 2018 Prognostics and System Health Management Conference (PHM-Chongqing), Chongqing, China, 26–28 October 2018; pp. 292–296. [Google Scholar]
- Xie, Y.; Zhang, T. Feature Extraction Based on DWT and CNN for Rotating Machinery Fault Diagnosis. In Proceedings of the 2017 29th Chinese Control and Decision Conference (CCDC), Chongqing, China, 28–30 May 2017; pp. 3861–3866. [Google Scholar]
- Han, J.-H.; Choi, D.-J.; Park, S.-U.; Hong, S.-K. A Study on Fault Classification System Based on Deep Learning Algorithm Considering Speed and Load Condition. In Proceedings of the 2019 22nd International Conference on Electrical Machines and Systems (ICEMS), Harbin, China, 11–14 August 2019; pp. 1–4. [Google Scholar]
- Shao, H.; Jiang, H.; Lin, Y.; Li, X. A Novel Method for Intelligent Fault Diagnosis of Rolling Bearings Using Ensemble Deep Auto-Encoders. Mech. Syst. Signal Process. 2018, 102, 278–297. [Google Scholar] [CrossRef]
- Zhang, W.; Peng, G.; Li, C.; Chen, Y.; Zhang, Z. A New Deep Learning Model for Fault Diagnosis with Good Anti-Noise and Domain Adaptation Ability on Raw Vibration Signals. Sensors 2017, 17, 425. [Google Scholar] [CrossRef]
- Jiang, Y.; He, B.; Lv, P.; Guo, J.; Wan, J.; Feng, C.; Yu, F. Actuator Fault Diagnosis in Autonomous Underwater Vehicle Based on Principal Component Analysis. In Proceedings of the 2019 IEEE Underwater Technology (UT), Kaohsiung, Taiwan, 16–19 April 2019; pp. 1–5. [Google Scholar]
- Murphy, K.; Schölkopf, B.; Fernández-Delgado, M.; Cernadas, E.; Barro, S.; Amorim, D. Do We Need Hundreds of Classifiers to Solve Real World Classification Problems? J. Mach. Learn. Res. 2014, 15, 3133–3181. [Google Scholar]
- Lakshmanaprabu, S.K.; Shankar, K.; Ilayaraja, M.; Nasir, A.W.; Vijayakumar, V.; Chilamkurti, N. Random Forest for Big Data Classification in the Internet of Things Using Optimal Features. Int. J. Mach. Learn. Cyber. 2019, 10, 2609–2618. [Google Scholar] [CrossRef]
- Chai, Z.; Zhao, C. Enhanced Random Forest with Concurrent Analysis of Static and Dynamic Nodes for Industrial Fault Classification. IEEE Trans. Ind. Inf. 2020, 16, 54–66. [Google Scholar] [CrossRef]
- Smith, W.A.; Randall, R.B. Rolling Element Bearing Diagnostics Using the Case Western Reserve University Data: A Benchmark Study. Mech. Syst. Signal Process. 2015, 64–65, 100–131. [Google Scholar] [CrossRef]














| Network Layer | Input Size | Output Size |
|---|---|---|
| Input layer | (1, 1024) | (1, 1024) |
| Convolutional layer 1 | (1, 1024) | (16, 128) |
| Batch normalization layer 1 | (16, 128) | (16, 128) |
| Activation Layer 1 (ReLU) | (16, 128) | (16, 128) |
| Pooling layer 1 | (16, 128) | (16, 64) |
| Convolutional layer 2 | (16, 64) | (32, 64) |
| Batch normalization layer 2 | (32, 64) | (32, 64) |
| Activation Layer 2 (ReLU) | (32, 64) | (32, 64) |
| Pooling layer 2 | (32, 64) | (32, 32) |
| Exhibition layer | (32, 32) | (1, 1024) |
| Dropout | (1, 1024) | (1, 1024) |
| Fully connected layer 1 | (1, 1024) | (1, 32) |
| Activation Layer 3 (ReLU) | (1, 32) | (1, 32) |
| Fully connected layer 2 (encoder) | (1, 32) | (1, 8) |
| Activation Layer 4 (ReLU) | (1, 8) | (1, 8) |
| Fully connected layer 3 (output layer) | (1, 8) | (1, 2) |
| Softmax | (1, 2) | (1, 2) |
| Num | Network Layer | Kernel Size/Stride (Neurons) | Number of Filters (Kernels) | Output Size (Width × Depth) | Zero Padding |
|---|---|---|---|---|---|
| 1 | 1D Convolution 1 | 64 × 1/16 × 1 | 16 | 128 × 16 | Yes |
| 2 | Batch Normalization 1 | 16 | - | 128 × 16 | No |
| 3 | 1D Pooling 1 | 2 × 1/2 × 1 | - | 64 × 16 | No |
| 4 | 1D Convolution 2 | 3 × 1/1 × 1 | - | 64 × 32 | Yes |
| 5 | Batch Normalization 2 | 32 | 32 | 64 × 32 | No |
| 6 | 1D Pooling 2 | 2 × 1/2 × 1 | - | 32 × 32 | No |
| 7 | Fully Connected 1 | 1024 | - | 32 × 1 | No |
| 8 | Fully Connected 2 (Encoder) | 32 | - | 8 × 1 | No |
| 9 | Fully Connected 3 | 8 | - | 4 × 1 | No |
| 10 | Softmax | 4 | - | 4 | No |
| Num | Network Layer | Kernel Size/Stride (Neurons) | Number of Filters (Kernels) | Output Size (Width × Depth) | Zero Padding |
|---|---|---|---|---|---|
| 1 | Convolution 1 | 64 × 1/16 × 1 | 16 | 128 × 16 | Yes |
| 2 | Pooling 1 | 2 × 1/2 × 1 | 16 | 64 × 16 | No |
| 3 | Convolution 2 | 3 × 1/1 × 1 | 32 | 64 × 32 | Yes |
| 4 | Pooling 2 | 2 × 1/2 × 1 | 32 | 32 × 32 | No |
| 5 | Convolution 3 | 3 × 1/1 × 1 | 64 | 32 × 64 | Yes |
| 6 | Pooling 3 | 2 × 1/2 × 1 | 64 | 16 × 64 | No |
| 7 | Convolution 4 | 3 × 1/1 × 1 | 64 | 16 × 64 | Yes |
| 8 | Pooling 4 | 2 × 1/2 × 1 | 64 | 8 × 64 | No |
| 9 | Convolution 5 | 3 × 1/1 × 1 | 64 | 6 × 64 | Yes |
| 10 | Pooling 5 | 2 × 1/2 × 1 | 64 | 3 × 64 | No |
| 11 | Fully Connected | 100 | 1 | 100 × 1 | - |
| 12 | Softmax | 10 | 1 | 10 | - |
| Num | Network Layer | Kernel Size/Stride (Neurons) | Number of Filters (Kernels) | Output Size (Width × Depth) | Zero Padding |
|---|---|---|---|---|---|
| 1 | Input Layer | - | - | 1000 × 2 | - |
| 2 | Conv1D | 3 × 1/1 × 1 | 32 | 998 × 32 | No |
| 3 | Conv1D | 3 × 1/1 × 1 | 64 | 996 × 64 | No |
| 4 | MaxPooling1D | 16 × 1 | - | 62 × 64 | No |
| 5 | Residual Block(repeated) | 3 × 1/1 × 1 | 64 | 62 × 64 | Yes |
| - | -Conv1D(within block) | 3 × 1/1 × 1 | 64 | 62 × 64 | Yes |
| - | -Conv1D(within block) | 3 × 1/1 × 1 | 64 | 62 × 64 | Yes |
| - | Add & Activation | - | 64 | 62 × 64 | Yes |
| 6 | Conv1D | 3 × 1/1 × 1 | 64 | 60 × 64 | No |
| 7 | GlobalAveragePooling1D | - | - | 64 | - |
| 8 | Dense | - | 256 | 256 | - |
| 9 | Dropout | - | - | 256 | - |
| 10 | Dense(Output Layer) | - | 4 | 4 | - |
Disclaimer/Publisher’s Note: The statements, opinions and data contained in all publications are solely those of the individual author(s) and contributor(s) and not of MDPI and/or the editor(s). MDPI and/or the editor(s) disclaim responsibility for any injury to people or property resulting from any ideas, methods, instructions or products referred to in the content. |
© 2025 by the authors. Licensee MDPI, Basel, Switzerland. This article is an open access article distributed under the terms and conditions of the Creative Commons Attribution (CC BY) license (https://creativecommons.org/licenses/by/4.0/).
Share and Cite
Zhang, Q.; Yao, Y.; Huang, Y.; Liu, Y.; Wu, L. A Bearing Fault Diagnosis Model Based on a Simplified Wide Convolutional Neural Network and Random Forrest. Sensors 2025, 25, 752. https://doi.org/10.3390/s25030752
Zhang Q, Yao Y, Huang Y, Liu Y, Wu L. A Bearing Fault Diagnosis Model Based on a Simplified Wide Convolutional Neural Network and Random Forrest. Sensors. 2025; 25(3):752. https://doi.org/10.3390/s25030752
Chicago/Turabian StyleZhang, Qikai, Yunan Yao, Yage Huang, Yangbowen Liu, and Linfeng Wu. 2025. "A Bearing Fault Diagnosis Model Based on a Simplified Wide Convolutional Neural Network and Random Forrest" Sensors 25, no. 3: 752. https://doi.org/10.3390/s25030752
APA StyleZhang, Q., Yao, Y., Huang, Y., Liu, Y., & Wu, L. (2025). A Bearing Fault Diagnosis Model Based on a Simplified Wide Convolutional Neural Network and Random Forrest. Sensors, 25(3), 752. https://doi.org/10.3390/s25030752
