Haptic Shared Control Framework with Interaction Force Constraint Based on Control Barrier Function for Teleoperation
Abstract
1. Introduction
- (1)
- A haptic shared control framework based on a force-constrained supervisory controller for teleoperation is proposed. This framework modifies teleoperated inputs when they are deemed unsafe to ensure that the interaction forces remain within the safe range without introducing the robot’s dynamic model and the safety margin.
- (2)
- Artificial membrane peeling experiments are conducted using a master–slave robotic system to validate the feasibility and effectiveness of the proposed framework.
2. Experimental Setup
3. Mathematical Models and Haptic Shared Control Framework
3.1. Master Robot
3.2. Slave Robot
3.3. Force-Constrained Supervisory Controller
3.4. Reference Force
4. Simulation Verification
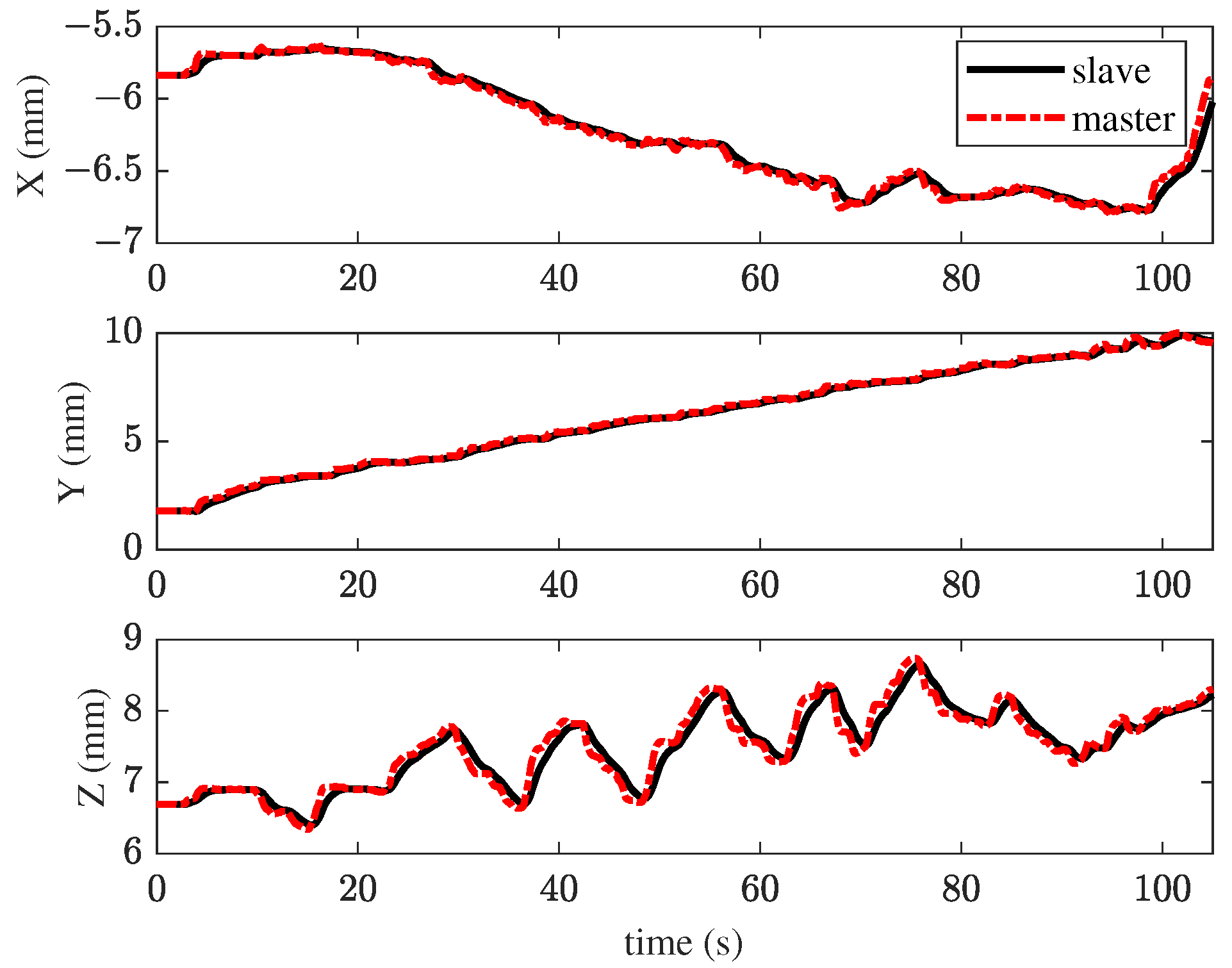
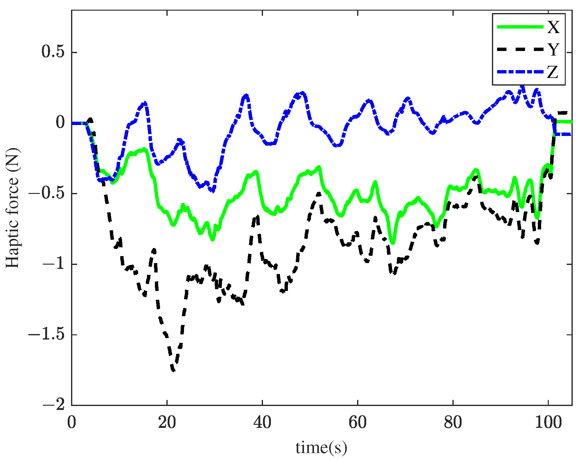
5. Experimental Results
- Maximum interaction force component: ;
- Relative root mean square error(RRMSE): , calculated over the trial time T;
- Force constraint violation rate: , where represents the duration during which the interaction forces exceed the maximum constraint force, and represents the total task duration.
6. Discussion
7. Conclusions
Author Contributions
Funding
Institutional Review Board Statement
Informed Consent Statement
Data Availability Statement
Conflicts of Interest
References
- Vander Poorten, E.; Riviere, C.N.; Abbott, J.J.; Bergeles, C.; Nasseri, M.A.; Kang, J.U.; Sznitman, R.; Faridpooya, K.; Iordachita, I. 36—Robotic Retinal Surgery. In Handbook of Robotic and Image-Guided Surgery; Abedin-Nasab, M.H., Ed.; Elsevier: Amsterdam, The Netherlands, 2020; pp. 627–672. [Google Scholar]
- Wilkins, J.R.; Puliafito, C.A.; Hee, M.R.; Duker, J.S.; Reichel, E.; Coker, J.G.; Schuman, J.S.; Swanson, E.A.; Fujimoto, J.G. Characterization of epiretinal membranes using optical coherence tomography. Ophthalmology 1996, 103, 2142–2151. [Google Scholar] [CrossRef]
- Almony, A.; Nudleman, E.; Shah, G.K.; Blinder, K.J.; Eliott, D.B.; Mittra, R.A.; Tewari, A. Techniques, rationale, and outcomes of internal limiting membrane peeling. Retina 2012, 32, 877–891. [Google Scholar] [CrossRef] [PubMed]
- Singh, S.; Riviere, C. Physiological tremor amplitude during retinal microsurgery. In Proceedings of the IEEE 28th Annual Northeast Bioengineering Conference, Philadelphia, PA, USA, 21 April 2002; pp. 171–172. [Google Scholar]
- Gupta, P.K.; Jensen, P.S.; de Juan, E. Surgical forces and tactile perception during retinal microsurgery. In Proceedings of the Medical Image Computing and Computer-Assisted Intervention(MICCAI), Berlin/Heidelberg, Germany, 19–22 September 1999; pp. 1218–1225. [Google Scholar]
- He, X.; Gehlbach, P.; Handa, J.; Taylor, R.; Iordachita, I. Toward robotically assisted membrane peeling with 3-DOF distal force sensing in retinal microsurgery. In Proceedings of the 2014 36th Annual International Conference of the IEEE Engineering in Medicine and Biology Society, Chicago, IL, USA, 26–30 August 2014; pp. 6859–6863. [Google Scholar]
- Noda, Y.; Ida, Y.; Tanaka, S.; Toyama, T.; Roggia, M.F.; Tamaki, Y.; Sugita, N.; Mitsuishi, M.; Ueta, T. Impact of robotic assistance on precision of vitreoretinal surgical procedures. PLoS ONE 2013, 8, e54116. [Google Scholar] [CrossRef]
- Edwards, T.; Xue, K.; Meenink, H.; Beelen, M.; Naus, G.; Simunovic, M.; Latasiewicz, M.; Farmery, A.; De Smet, M.; MacLaren, R. First-in-human study of the safety and viability of intraocular robotic surgery. Nat. Biomed. Eng. 2018, 2, 649–656. [Google Scholar] [CrossRef] [PubMed]
- Wilson, J.T.; Gerber, M.J.; Prince, S.W.; Chen, C.W.; Schwartz, S.D.; Hubschman, J.P.; Tsao, T.C. Intraocular robotic interventional surgical system (IRISS): Mechanical design, evaluation, and master–slave manipulation. Int. J. Med. Robot. Comput. Assist. Surg. 2018, 14, e1842. [Google Scholar] [CrossRef] [PubMed]
- Zhou, M.; Yu, Q.; Huang, K.; Mahov, S.; Eslami, A.; Maier, M.; Lohmann, C.P.; Navab, N.; Zapp, D.; Knoll, A.; et al. Towards robotic-assisted subretinal injection: A hybrid parallel–serial robot system design and preliminary evaluation. IEEE Trans. Ind. Electron. 2019, 67, 6617–6628. [Google Scholar] [CrossRef]
- Esfandiari, M.; Kim, J.W.; Zhao, B.; Amirkhani, G.; Hadi, M.; Gehlbach, P.; Taylor, R.H.; Iordachita, I. Cooperative vs. teleoperation control of the steady hand eye robot with adaptive sclera force control: A comparative study. In Proceedings of the 2024 IEEE International Conference on Robotics and Automation (ICRA), Yokohama, Japan, 13–17 May 2024; pp. 8209–8215. [Google Scholar]
- Ruwanthika, R.M.M.; Katsura, S. Excess force reduction in bilateral control for precise and safe operation. IEEJ J. Ind. Appl. 2022, 11, 266–278. [Google Scholar] [CrossRef]
- Piccinelli, N.; Muradore, R. A bilateral teleoperation with interaction force constraint in unknown environment using non linear model predictive control. Eur. J. Control 2021, 62, 185–191. [Google Scholar] [CrossRef]
- Liang, H.; Wang, X.; Mao, J.; Yang, J. Control Barrier Function-Based Force Constrained Safety Compliance Control for Manipulator. In Proceedings of the 2023 28th International Conference on Automation and Computing (ICAC), Birmingham, UK, 30 August–1 September 2023; pp. 1–7. [Google Scholar]
- Iordachita, I.; Sun, Z.; Balicki, M.; Kang, J.U.; Phee, S.J.; Handa, J.; Gehlbach, P.; Taylor, R. A sub-millimetric, 0.25 mN resolution fully integrated fiber-optic force-sensing tool for retinal microsurgery. Int. J. Comput. Assist. Radiol. Surg. 2009, 4, 383–390. [Google Scholar] [CrossRef] [PubMed]
- Üneri, A.; Balicki, M.A.; Handa, J.; Gehlbach, P.; Taylor, R.H.; Iordachita, I. New steady-hand eye robot with micro-force sensing for vitreoretinal surgery. In Proceedings of the 2010 3rd IEEE RAS & EMBS International Conference on Biomedical Robotics and Biomechatronics, Tokyo, Japan, 26–29 September 2010; pp. 814–819. [Google Scholar]
- Wells, T.S.; Yang, S.; MacLachlan, R.A.; Lobes, L.A., Jr.; Martel, J.N.; Riviere, C.N. Hybrid position/force control of an active handheld micromanipulator for membrane peeling. Int. J. Med. Robot. Comput. Assist. Surg. 2016, 12, 85–95. [Google Scholar] [CrossRef] [PubMed]
- Ebrahimi, A.; Urias, M.G.; Patel, N.; Taylor, R.H.; Gehlbach, P.; Iordachita, I. Adaptive control improves sclera force safety in robot-assisted eye surgery: A clinical study. IEEE Trans. Biomed. Eng. 2021, 68, 3356–3365. [Google Scholar] [CrossRef] [PubMed]
- Bai, M.; Zhang, M.; Zhang, H.; Pang, L.; Zhao, J.; Gao, C. An error compensation method for surgical robot based on RCM mechanism. IEEE Access 2021, 9, 140747–140758. [Google Scholar] [CrossRef]
- Zhang, H.; Yi, H.; Wang, C.; Yang, J.; Jin, T.; Zhao, J. A Robotic Microforceps for Retinal Microsurgery with Adaptive Clamping Method. IEEE/ASME Trans. Mechatron. 2024, 4, 1–12. [Google Scholar] [CrossRef]
- Yin, H.; Jin, H.; Ju, F.; Ge, M.; Zhao, J. Motion Planning of Humanoid Upper-Body Robot Using an Integration-Enhanced Differentiator-Based Method: A Time-Varying Linear Equations Approach. IEEE Trans. Ind. Inform. 2024, 20, 7391–7403. [Google Scholar] [CrossRef]
- Zhang, D.; Tron, R. Stable haptic teleoperation of uavs via small L 2 gain and control barrier functions. In Proceedings of the 2021 IEEE/RSJ International Conference on Intelligent Robots and Systems (IROS), Prague, Czech Republic, 27 September 2021–1 October 2021; pp. 8352–8357. [Google Scholar]
- Ebrahimi, A.; Patel, N.; He, C.; Gehlbach, P.; Kobilarov, M.; Iordachita, I. Adaptive control of sclera force and insertion depth for safe robot-assisted retinal surgery. In Proceedings of the 2019 International Conference on Robotics and Automation (ICRA), Montreal, QC, Canada, 20–24 May 2019; pp. 9073–9079. [Google Scholar]
- Iyer, M.N.; Han, D.P. An eye model for practicing vitreoretinal membrane peeling. Arch. Ophthalmol. 2006, 124, 108–110. [Google Scholar] [CrossRef] [PubMed]
- Gonenc, B.; Balicki, M.A.; Handa, J.; Gehlbach, P.; Riviere, C.N.; Taylor, R.H.; Iordachita, I. Preliminary evaluation of a micro-force sensing handheld robot for vitreoretinal surgery. In Proceedings of the 2012 IEEE/RSJ International Conference on Intelligent Robots and Systems (IROS), Vilamoura-Algarve, Portugal, 7–12 October 2012; pp. 4125–4130. [Google Scholar]
- Becker, B.C.; MacLachlan, R.A.; Lobes, L.A.; Riviere, C.N. Vision-based retinal membrane peeling with a handheld robot. In Proceedings of the 2012 IEEE International Conference on Robotics and Automation, Saint Paul, MN, USA, 14–18 May 2012; pp. 1075–1080. [Google Scholar]
- Yu, H.; Shen, J.H.; Joos, K.M.; Simaan, N. Design, calibration and preliminary testing of a robotic telemanipulator for OCT guided retinal surgery. In Proceedings of the 2013 IEEE International Conference on Robotics and Automation, Karlsruhe, Germany, 6–10 May 2013; pp. 225–231. [Google Scholar]
- Sun, Z.; Balicki, M.; Kang, J.; Handa, J.; Taylor, R.; Iordachita, I. Development and preliminary data of novel integrated optical micro-force sensing tools for retinal microsurgery. In Proceedings of the 2009 IEEE International Conference on Robotics and Automation, Kobe, Japan, 12–17 May 2009; pp. 1897–1902. [Google Scholar]
- Ferreau, H.J.; Kirches, C.; Potschka, A.; Bock, H.G.; Diehl, M. qpOASES: A parametric active-set algorithm for quadratic programming. Math. Program. Comput. 2014, 6, 327–363. [Google Scholar] [CrossRef]
















| Method | Controller | Values of Parameters |
|---|---|---|
| Proposed method | ||
| Force/position hybrid method [11] | ||
| Impedance control [17] |
| Method | TIA | TIA with Haptic Feedback | Proposed Method |
|---|---|---|---|
| (mN) | 68.60 | 58.53 | 20.44 |
| 0.4995 | 0.1625 | None 1 | |
| 1.0541 | 0.7205 | 0.0085 | |
| 0.1174 | None 1 | 0.0081 | |
| (s) | 23.61 | 97.71 | 343.8 |
| (s) | 20.1 | 79.77 | 5.91 |
| 85.13% | 81.64% | 1.72% |
Disclaimer/Publisher’s Note: The statements, opinions and data contained in all publications are solely those of the individual author(s) and contributor(s) and not of MDPI and/or the editor(s). MDPI and/or the editor(s) disclaim responsibility for any injury to people or property resulting from any ideas, methods, instructions or products referred to in the content. |
© 2025 by the authors. Licensee MDPI, Basel, Switzerland. This article is an open access article distributed under the terms and conditions of the Creative Commons Attribution (CC BY) license (https://creativecommons.org/licenses/by/4.0/).
Share and Cite
Qin, W.; Yi, H.; Fan, Z.; Zhao, J. Haptic Shared Control Framework with Interaction Force Constraint Based on Control Barrier Function for Teleoperation. Sensors 2025, 25, 405. https://doi.org/10.3390/s25020405
Qin W, Yi H, Fan Z, Zhao J. Haptic Shared Control Framework with Interaction Force Constraint Based on Control Barrier Function for Teleoperation. Sensors. 2025; 25(2):405. https://doi.org/10.3390/s25020405
Chicago/Turabian StyleQin, Wenlei, Haoran Yi, Zhibin Fan, and Jie Zhao. 2025. "Haptic Shared Control Framework with Interaction Force Constraint Based on Control Barrier Function for Teleoperation" Sensors 25, no. 2: 405. https://doi.org/10.3390/s25020405
APA StyleQin, W., Yi, H., Fan, Z., & Zhao, J. (2025). Haptic Shared Control Framework with Interaction Force Constraint Based on Control Barrier Function for Teleoperation. Sensors, 25(2), 405. https://doi.org/10.3390/s25020405

