Next Article in Journal
Augmented and Virtual Reality for Improving Safety in Railway Infrastructure Monitoring and Maintenance
Previous Article in Journal
HETMCL: High-Frequency Enhancement Transformer and Multi-Layer Context Learning Network for Remote Sensing Scene Classification
 
 
Font Type:
Arial Georgia Verdana
Font Size:
Aa Aa Aa
Line Spacing:
Column Width:
Background:
Article

Measurement of Low-Concentration Hydrogen in Inert Gas Within a Small Closed Volume

by
Georgiy A. Ivanov
,
Dmitry P. Shornikov
,
Nikolay N. Samotaev
*,
Konstantin Y. Oblov
,
Maya O. Etrekova
and
Artur V. Litvinov
Moscow Engineering Physics Institute, National Research Nuclear University MEPhI, 115409 Moscow, Russia
*
Author to whom correspondence should be addressed.
Sensors 2025, 25(12), 3771; https://doi.org/10.3390/s25123771
Submission received: 5 May 2025 / Revised: 2 June 2025 / Accepted: 12 June 2025 / Published: 17 June 2025
(This article belongs to the Section Chemical Sensors)

Abstract

A technique has been proposed and experimentally tested for measuring the hydrogen concentration in an inert atmosphere within a closed system. This method utilizes a metal-oxide-semiconductor field-effect capacity-type (MOSFEC) sensor under harsh conditions such as exposure to inert gases, pressure fluctuations, and varying temperatures. The measurement is performed during the thermal decomposition of metal hydrides in a liquid sodium environment. The developed measurement technique for determining hydrogen concentration released from metal hydride samples in a system with a closed gas path is cost-effective compared to standardized, resource-intensive open-volume flow measurement methods. The use of the developed MOSFEC sensor technique allows for rapid and efficient investigation of the in situ real-time dynamics of gas release from various metal hydride materials differing in their hydrogen content within a small closed volume. Additionally, this approach enables precise determination of the specific gas release temperatures.

1. Introduction

The development of a new generation of heat-stressed technology places increased demands on structural and functional materials located in high-temperature zones. At the same time, a popular technical solution is the use of liquid metals (Na, Li, Pb, etc.). In heat-stressed zones, liquid metal systems have been widely considered for different nuclear energy applications and experimental high-energy setups [1,2,3]. The rather urgent task is to determine the content of various process gases (for example, H2) in such a heat-stressed system. Regarding fast neutron reactors, the appearance of H2 in the core is due to the presence of fission fragments, (n, α) reactions, for example, on a boron carbide absorber, and the presence of dissolved H2 in liquid Na. Exceeding the H2 concentration is a negative factor contributing to an increased risk of explosion and material embrittlement [4,5,6].
When studying the “solid body—H2—liquid metal” system, several methodological difficulties are noted; for example, determining the precise temperature of H2 release and absorption, understanding its release kinetics, and the calculation of the partial pressure of H2 within the system [7,8,9]. Obviously, such measurements under the conditions of an operating reactor or heat pipe are extremely labor-intensive, which is associated with a significant volume of coolant and structural materials. At the same time, diffusion tests of individual samples in simultaneous thermal analysis installations or in autoclave tests do not allow for scaling the results or assessing the overall condition of the system. Therefore, this study will be devoted to the selection of instruments and the development of a technique for measuring low concentrations of H2 in such confined space conditions.
Measuring small concentrations of H2 in closed spaces containing inert process gases (Ar, He, Ne, etc.) is a non-trivial task, often associated with operating conditions that are limiting for the measuring instruments. Therefore, the main factors influencing the selection of sensor element types, considering the limitations of their use, are the change in the sealed volume of the atmosphere of air to inert, which is accompanied by extreme changes in pressure (both vacuum and elevated pressure) and temperature. To measure high concentrations of H2 (from 0.1% vol.), the thermal conductometric method is used, since the thermal conductivity of H2 differs markedly from the thermal conductivity of other components of the gas flow [10,11,12]. This method is excellent for analyzing two-component mixtures, but for multi-component compositions it is difficult to use this method. To measure small concentrations (up to 0.01% vol.), the simplest solution is the use of various electrochemical cells [13,14,15]. However, this method is very sensitive to temperature, pressure, and the presence of water vapor, since these parameters strongly influence the accelerated aging of the liquid electrochemical cell electrolyte. Considering the above features, to solve many technological problems in measuring H2 concentrations, the ability of H2 to dissolve and penetrate through metal membranes of Pd and its various alloys is used. In this case, the measurement of H2 occurs in a different environment, separated from the total working volume of the chamber, and with a delay of at least the time of H2 diffusion through the membrane. Therefore, research aimed at finding means and methods for “in situ” measurement of H2 in closed volumes containing inert gases is still relevant. One such method using the MOSFEC sensor manufactured in a ceramic housing for resistance to external factors [16,17] is given below.

2. Materials and Methods

As part of this study, an experimental research facility has been developed that enables the detection of H2 presence above the surface of liquid Na. It comprises an autoclave, a heating system, a H2 sensor, gas lines, and vacuum lines. Small quantities (up to 3 g) of TiH2 and HfH2 were used as sources of H2. The schematic representation and photograph of the experimental setup are shown in Figure 1.
The main element of the experimental research facility is an autoclave, into which a sample of TiH2 or HfH2 was loaded and filled with liquid Na, after which the autoclave was connected to the experimental research facility, then pumping was carried out, and the autoclave was filled with Ar.
To clear the air from the internal volume of the experimental research facility, the air was pumped out until a residual pressure of 3 Pa was reached, and then valve 10 was closed. Valve 9 was opened, and the line was filled with Ar to a pressure of 101 kPa. The pumping and filling stages were repeated 2–3 times to completely remove residual air. This was followed by the final filling of the system with Ar, after which valve 8 was opened, connecting the autoclave with the sample to the main line. After this, heating was conducted at a temperature of 700 °C with a holding period lasting 5 h.
To correctly estimate the amount of H2 released from the sample, considering the readings of the MOSFEC sensor, it is necessary to know the exact volume of the system. To determine it, a part of the experimental research facility V1 of known volume was filled to pressure P1. The volume was isolated, and the rest of the experimental research facility was pumped down to pressure P2. Afterwards, the volumes of the unknown and known parts of the experimental research facility were combined, and the resulting pressure P3 was recorded. The experiment was repeated. As a result, the volume of the entire experimental research facility obtained was equal to V3 = 270 ± 20 cm3 (the ratio of the sample volume to the experimental research facility volume is approximately 1/1000).
To monitor the H2 concentration, a gas analyzer based on the MOS (metal-oxide-semiconductor) capacitor-type sensor was used (Figure 2). The device is suitable for long-term stationary measurements of H2 concentration in the air and other gaseous media with a stable background composition. There is a function for displaying current numerical values of H2 concentration on the gas analyzer screen and the ability to record, save, and visualize them on a computer in real time using specialized software.
The MOSFEC sensor is designed in a ceramic housing (Figure 2b), manufactured using adaptive laser micro-milling technology [16] specifically for high-temperature applications, aspects of which are discussed in [18]. The basis of the sensor is a capacitive MOS structure (Figure 2c), where the dielectric and metal films of the upper control (H2-sensitive) and lower ohmic contacts are obtained using vacuum laser deposition technologies (PLD—pulsed laser deposition). The technology for manufacturing gas-sensitive capacitive MOS structures is described in more detail in [17]. Questions concerning the stability and reproducibility of characteristics and readings of MOSFEC-based hydrogen sensors, including their dependence on operating temperature, were addressed in [19].
The principle of the operation of the gas analyzer is to register the relative change in the electrical capacity of the MOSFEC sensor when H2 appears in the analyzed gaseous medium. The dependence of the change in the capacitance of the sensor on the H2 concentration ΔC(KH2) is a calibration characteristic of the sensor and is determined experimentally. This dependence is nonlinear, which is associated with the kinetics of adsorption of gas molecules on the surface of a solid [20], and the reverse recalculation of KH2(ΔC) is performed using the built-in software of the gas analyzer. Two methods are employed for computations:
(1)
Piecewise linear approximation with four points intersecting at zero for hydrogen concentration ranges from single-digit to tens of ppm.
(2)
Exponential approximation aligned with the initial piecewise linear segment for higher concentration ranges.
The calculation of the concentration value KH2(ΔC) is performed depending on the range using the following formulas:
K H 2 = L n   ×   C ,
K H 2 = A   ×   e x p B × C ,
where Ln are coefficients for piecewise linear approximation (n = 1…4) and A and B are exponential approximation coefficients that are experimentally determined during instrument calibration. Herein, ΔC = C − C0, where C represents the current capacitance sensor reading and C0 corresponds to the capacitance at zero hydrogen concentration.

3. Calibration of the MOSFEC Sensor

Calibrating the sensor at low concentrations of H2 in an inert environment presents a certain difficulty. The appearance of the experimental research facility for calibrating the response of the MOSFEC sensor for H2 is shown in Figure 3. The source of reference concentrations was cylinders of calibration gas mixtures: 0.507 ± 0.008% vol. H2 in the air and 0.157 ± 0.004% vol. H2 in Ar. Cylinders of compressed air and high-purity Ar were used as the test’s zero gas. Mixing of gas flows was carried out at the special gas installation [21] using built-in precision flow controllers and a gas-dynamic mixer [22]. The capacitance-voltage characteristics of the sensor were monitored in order to select the optimal operating point using a precision RCL meter [23]. Summary experimental data on sensor calibration are presented in Table 1.
As can be seen from the table, provided that the reproducibility of the original sensor signal ΔC is no worse than ±10%, acceptable measurement accuracy is guaranteed only at concentrations up to 100 ppm H2. This is due to our experimentally established fact of higher sensitivity to H2 in an inert gas compared to air (Figure 4).
A comparison of experimental calibration data for the air and Ar shows that the sensitivity of the MOSFEC sensor to H2 in the inert gas environment is significantly higher. So, at a concentration of 5 ppm H2, the sensor response in Ar is more than three times higher compared to the air, and at 1000 ppm the increase in sensitivity is no more than 30%. Why does this happen? In [24], by employing density functional theory (DFT) and electron diffraction analysis, the kinetics of hydrogen oxidation reaction (water formation) catalyzed by palladium was investigated. It has been shown that dissociated atoms of H and O compete for open sites on the surface of Pd. Under conditions of equal external concentrations of H2 and O2, after reaching equilibrium, the surface of Pd ultimately becomes saturated with oxygen atoms due to their higher affinity for adsorption. However, because of their large atomic radius, these adsorbed oxygen atoms could not further diffuse into the lattice of Pd. As a result, they remained on the surface of Pd, and, despite the abundance of hydrogen in the environment, H atoms were unable to effectively enter the lattice of Pd. In our case, these effects can explain why the MOSFEC sensor exhibits greater sensitivity towards hydrogen in an argon medium.
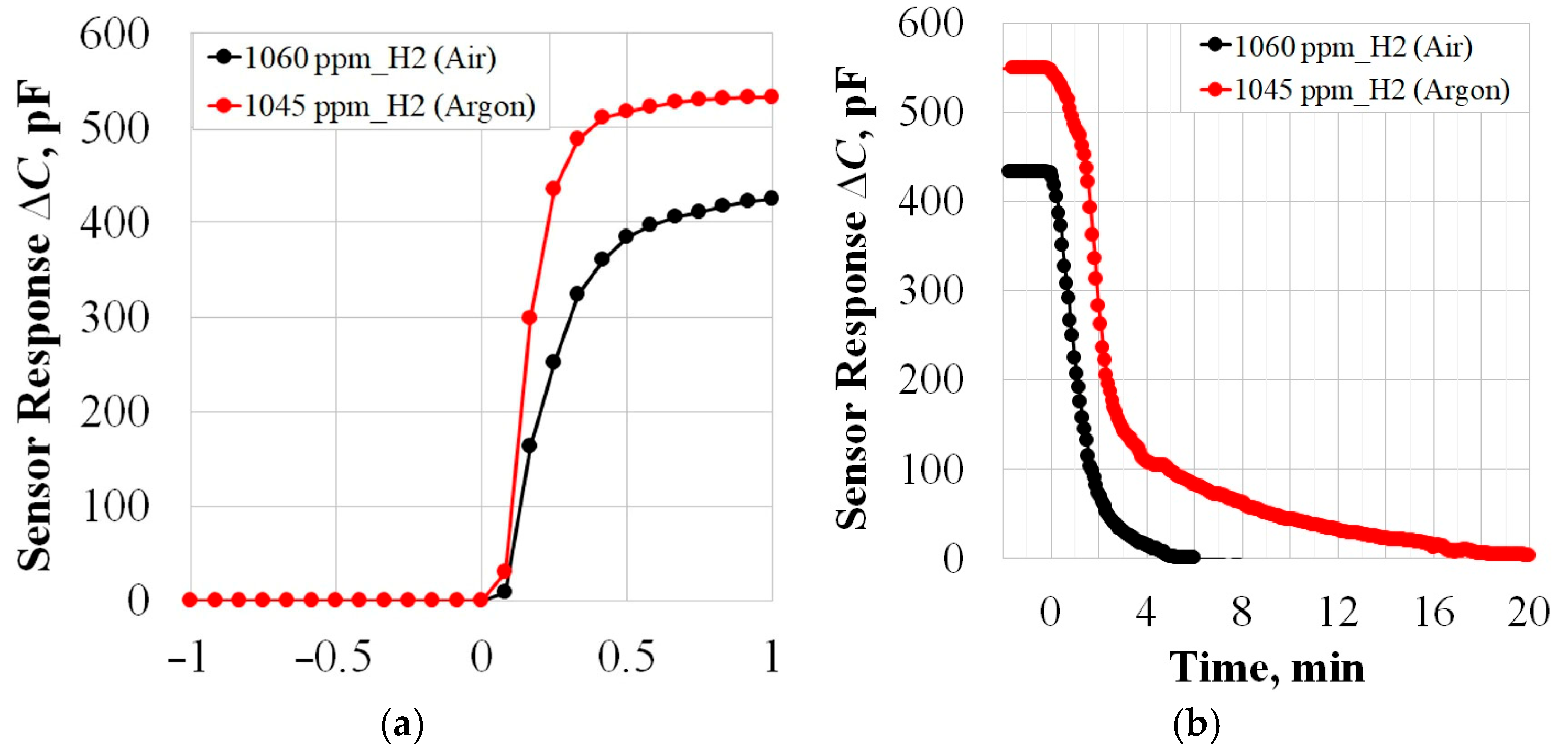
The response rate to the supply of H2 is τ0.9 ≈ 30 s (Figure 5a) and does not depend on zero gas, and the relaxation rate (return to zero) in Ar is significantly lower: τ0.1_Ar ≈ 9 min; τ0.1_Air ≈ 3 min (Figure 5b). This is because, as mentioned above, water vapor formation on the catalyst’s surface is one possible mechanism for removing hydrogen from palladium [24]. Typically, this process involves numerous parallel and sequential reactions resulting either in H2O or H2O2 [25], with H2O formation being thermodynamically more favorable [26]. Due to the absence of oxygen in the argon atmosphere, the contribution of this mechanism to the relaxation process is eliminated, thus slowing down the sensor response.
Verification of the MOSFEC sensor’s graduation results was carried out using calibration gas mixtures in two stages with the corresponding coefficients inserted into the gas analyzer memory: first in air and then in Ar. The results of the first stage with the supply of reference H2 concentrations of 5, 25, 75, 200, and again 5 ppm in the air are shown in Figure 6a: green curve—response of the MOSFEC sensor ∆C, pF; red curve—H2 concentration readings, ppm, calculated using the gas analyzer software. The uncertainty of reference H2 concentrations did not exceed ± 2% and was determined primarily by the error of the cylinder containing the certified gas mixture and the error in setting and measuring flow rates in the special gas installation’s channels for the dynamic mixing of flows. The error in measuring concentration by the MOSFEC sensor was no more than 20%.
The results of the second stage of testing in an Ar environment are shown in Figure 6b. As can be seen, the values of the initial useful signal of the MOSFEC sensor—changes in capacitance ΔC—correspond to good reproducibility of the readings (see Table 1). However, due to the previously indicated features of the reverse recalculation of KH2(ΔC) and the nonlinearity of the calibration dependence, the recorded readings of large H2 concentrations are 27% lower than the reference value, which is beyond the permissible measurement error. For the same reason, the dynamics of the reaction to H2 are also significantly different if assessed by the increase in concentration readings (τ0.9_KH2 > 3 min, Figure 6b, red line) or the capacitance change signal (τ0.9_ΔC ≈ 30 s, Figure 6b, green line, also Figure 5a). Thus, due to the weak differentiation of sensor responses to high concentrations of H2 in an Ar environment, the recommended reliable range for measuring H2 in this study was no more than 300 ppm. Nevertheless, for cases where the recommended concentration range is exceeded, it will remain possible to qualitatively assess gas evolution over time, which is also useful at the current stage of research for the relative comparison of data for different samples of metal hydrides.
After calibrating the sensor for hydrogen detection, we examined the effect of increasing pressure up to 8 atmospheres on two types of zero gases: air and argon. It should be noted that due to technological limitations in producing pressurized gas mixtures in cylinders, even with zero-gases, the H2 concentration unfortunately does not equal zero. According to the specifications provided with the cylinders used in this study, the air zero-gas contained no more than 2 ppm of hydrogen as an impurity, while the argon zero-gas had a residual hydrogen content of 0.8 ppm. Consequently, under the influence of 8 atmospheres of pressure, the sensor’s capacitance increased by approximately 40 pF when exposed to air, which, according to our calibration data (Figure 4), appears like the response from background concentrations of residual hydrogen present in the cylinder. The reaction of the sensor to excess pressure of 8 atm in argon was about 3.5 times higher. This also resembles the response to residual H2 in the zero-gas cylinder, considering the observed enhancement of sensitivity in an inert gas environment. Therefore, it can be concluded that pressure itself has no direct impact on the measurements made by the MOSFEC sensor.

4. Results

To qualitatively and quantitatively evaluate the processes of H2 evolution from metal hydrides upon heating up to 700 °C, as well as to investigate potential hydrogen uptake by sodium, we conducted a series of experiments whose results are presented below.
Figure 7 shows data illustrating the yield of H2 from a TiH2 sample. The red dashed line corresponds to the primary signal ΔC of the MOSFEC sensor (see the coordinate axis on the right, which is aligned with the temperature heating sample value axis). This ΔC data is used to calculate and plot the graph of H2 concentration (the coordinate axis on the left). Note that in this experiment, the sensor capacitance readings were ∆C > 600 pF, which means that the recorded concentration values are approximate. Despite this, experience shows that with this heating mode, the sensor readings reach saturation and the amount of H2 in the experimental research facility volume stabilizes within 2–3 h. It is evident that the increase in ΔC (and hence the appearance of H2) begins when the heating temperature reaches ≈300 °C. However, the significant rise in H2 concentration occurs only upon reaching 695 ± 5 °C, which aligns with the literature data [27,28]. At this point, ΔC already exceeds 200 pF, and, according to the calibration in Figure 4, this corresponds to merely ≈1 ppm of H2.
In Figure 8, the experimental dependence for HfH2 sample is shown. Based on the readings of the MOSFEC sensor, the beginning of H2 evolution for HfH2 occurs at a temperature of 645 ± 5 °C, which generally aligns with the data in the phase diagram.
Thus, the high sensitivity of the MOSFEC sensor in argon would likely enable detection of H2 concentrations at the level of parts per billion (ppb). However, the practical challenge here lies in the lack of calibration methods for such ultra-low H2 concentrations.

5. Discussion

Analysis of the results obtained, including stabilization of the maximum readings of H2 concentration after 5 h of the experiment, suggests that not all H2 is released from the hydride samples. Subsequent weighing revealed a mass loss of the samples ranging from 1 to 3 mg (not exceeding 0.1 wt.%), confirming this hypothesis. This phenomenon appears to be attributed to the establishment of thermodynamic equilibrium within the metal hydride–H2 system, which is linked to an elevation in the partial pressure of H2 above liquid Na. During the experiments, the procedure for converting the MOSFEC sensor’s readings was refined and adjusted, considering the characteristics of the capacitance difference signal and ensuring proper calibration of the zero point. When working in argon, we encountered poor differentiation of sensor readings for H2 concentrations above 100 ppm. It is likely that in an inert gas environment, the MOSFET sensor will be suitable for measuring H2 concentrations no higher than tenths of a percent volume fraction (% vol.). However, for solving the task described in this article, it is more important to detect the moment when hydrogen begins to escape from samples, which requires high sensitivity. If there is still a need to expand the operating concentration range, the authors would suggest using other types of detectors together with MOSFET, including those based on thermal conductivity.
It was shown that the presence of liquid Na and its vapor does not in any way affect the performance of the sensor, which is important for longer tests in the future at different heating temperatures of hydride samples. The study also shows that, despite the relatively simple nature of the measuring equipment, experiments on the thermal decomposition of metal hydrides within a closed gas circuit using the MOSFEC sensor represent an acceptable alternative to standardized experiments performed in an open system equipped with high-precision instruments like a simultaneous thermal analyzer coupled with a quadrupole mass-spectrometer. The developed experimental setup has confirmed its performance and is ready for further tests; for example, to study the extremely low content of H2 dissolved in various metals.

6. Conclusions

A technique has been proposed and experimentally tested for measuring the H2 concentration in an inert atmosphere within a closed system under harsh conditions (inert gases; pressure and temperature dropping) during the thermal decomposition of metal hydrides using a MOSFEC sensor. The research facility has been designed that enables experiments to be carried out and hydride samples to be heated up to 700 °C in the presence of liquid Na; that is, under conditions close to real nuclear reactor operating conditions. This sets the setup apart from standardized resource-intensive open-volume flow methods. The developed MOSFEC sensor technique will enable rapid and efficient investigation of the real-time gas-release dynamics from metal hydride samples differing in hydrogen content within a closed small volume, allowing precise determination of the gas-release temperatures. The described setup and the MOSFEC sensor used may have more applications than those presented in the paper—there are various built-in online monitoring systems for complex technical objects with inaccessible or very dangerous parts characterized by high temperatures, pressure drops, and dangerous chemical reactions with oxygen during depressurization.

Author Contributions

Conceptualization, N.N.S.; Data curation, G.A.I.; Funding acquisition, N.N.S. and K.Y.O.; Investigation, M.O.E. and A.V.L.; Resources, K.Y.O.; Project administration, K.Y.O.; Methodology, D.P.S. and N.N.S.; Supervision, D.P.S.; Writing—original draft, M.O.E.; Writing—review & editing, N.N.S. All authors have read and agreed to the published version of the manuscript.

Funding

The work was carried out with the financial support of the Russian Science Foundation, agreement No. 24-79-10278 dated 31 July 2024.

Institutional Review Board Statement

Not applicable.

Informed Consent Statement

Not applicable.

Data Availability Statement

The original contributions presented in this study are included in the article. Further inquiries can be directed to the corresponding author.

Conflicts of Interest

The authors declare no conflicts of interest. The funders had no role in the design of the study; in the collection, analyses, or interpretation of data; in the writing of the manuscript; or in the decision to publish the results.

References

  1. Guo, H.; Sciora, P.; Kooyman, T.; Buiron, L.; Rimpault, G. Application of Boron Carbide as Burnable Poison in Sodium Fast Reactors. Nucl. Technol. 2019, 205, 1433–1446. [Google Scholar] [CrossRef]
  2. Risovany, V.D.; Zakharov, A.V. Next Generation Control Rods for Fast Neutron Nuclear Reactors. J. Phys. Conf. Ser. 2020, 1475, 012019. [Google Scholar] [CrossRef]
  3. Iwasaki, T.; Konashi, K. Development of Hydride Absorber for Fast Reactor—Application of Hafnium Hydride to Control Rod of Large Fast Reactor. J. Nucl. Sci. Technol. 2009, 46, 874–882. [Google Scholar] [CrossRef]
  4. Guidez, J. Fast Reactors a Solution to Fight Against Global Warming; Elsevier Inc.: Great Britain, UK, 2022; Available online: https://www.sciencedirect.com/book/9780128219461/fast-reactors#book-info (accessed on 3 March 2025).
  5. Shaginyan, R.A.; Eliseev, V.A.; Shakirov, A.M.; Polunin, K.K.; Urusov, A.A.; Risovany, V.D. Hafnium hydride as an alternative to enriched boron carbide in fast neutron reactors. New Russ. Electr. Power Eng. 2023, 5, 6–17. (In Russian) [Google Scholar]
  6. Ikeda, K.; Moriwaki, H.; Ohkubo, Y.; Iwasaki, T.; Konashi, K. Application of hafnium hydride control rod to large sodium cooledfast breeder reactor. Nucl. Eng. Des. 2014, 278, 97–107. [Google Scholar] [CrossRef]
  7. Zhu, H.; Cheng, H.; Chen, D.; Ding, Z. Development of compact and efficient volumetric apparatus for measuring absorption/desorption properties of hydrogen storage materials. Int. J. Hydrogen Energy 2022, 47, 32565–32581. [Google Scholar] [CrossRef]
  8. Checchetto, R.; Trettel, G.; Miotello, A. Sievert-type apparatus for the study of hydrogen storage in solids. Meas. Sci. Technol. 2003, 15, 127. [Google Scholar] [CrossRef]
  9. Demirocak, D.E.; Srinivasan, S.S.; Ram, M.K.; Goswami, D.Y.; Stefanakos, E.K. Volumetric hydrogen sorption measurements—Uncertainty error analysis and the importance of thermal equilibration time. Int. J. Hydrogen Energy 2013, 38, 1469–1477. [Google Scholar] [CrossRef]
  10. Buttner, W.J.; Burgess, R.; Rivkin, C.; Post, M.B.; Boon-Brett, L.; Black, G.; Harskamp, F.; Moretto, P. Inter-laboratory assessment of hydrogen safety sensors performance under anaerobic conditions. Int. J. Hydrogen Energy 2012, 37, 17540–17548. [Google Scholar] [CrossRef]
  11. Palmisano, V.; Boon-Brett, L.; Bonato, C.; Harskamp, F.; Buttner, W.J.; Post, M.B.; Burgess, R.; Rivkin, C. Evaluation of selectivity of commercial hydrogen sensors. Int. J. Hydrogen Energy 2014, 39, 20491–20496. [Google Scholar] [CrossRef]
  12. Samotaev, N.; Podlepetsky, B.; Mashinin, M.; Ivanov, I.; Obraztsov, I.; Oblov, K.; Dzhumaev, P. Thermal Conductivity Gas Sensors for High-Temperature Applications. Micromachines 2024, 15, 138. [Google Scholar] [CrossRef] [PubMed]
  13. Hübert, T.; Brett, L.; Black, G.; Banach, U. Hydrogen sensors—A review. Sens. Actuators B Chem. 2011, 157, 329–352. [Google Scholar] [CrossRef]
  14. Mousdis, G.A.; Kompitsas, M.; Fasaki, I. Electrochemical Sensors for the Detection of Hydrogen Prepared by PLD and Sol-Gel Chemistry. In Nanotechnological Basis for Advanced Sensors; NATO Science for Peace and Security Series B: Physics and Biophysics; Reithmaier, J., Paunovic, P., Kulisch, W., Popov, C., Petkov, P., Eds.; Springer: Dordrecht, The Netherlands, 2011; pp. 401–407. [Google Scholar] [CrossRef]
  15. Korotcenkov, G.; Han, S.D.; Stetter, J.R. Review of electrochemical hydrogen sensors. Chem. Rev. 2009, 109, 1402–1433. [Google Scholar] [CrossRef] [PubMed]
  16. Samotaev, N.; Oblov, K.; Etrekova, M.; Veselov, D.; Ivanova, A.; Litvinov, A. Improvement of Field Effect Capacity Type Gas Sensor Thermo Inertial Parameters by Using Laser Micromilling Technique. Mater. Sci. Forum 2020, 977, 256–260. [Google Scholar] [CrossRef]
  17. Samotaev, N.; Litvinov, A.; Oblov, K.; Etrekova, M.; Podlepetsky, B.; Dzhumaev, P. Combination of Material Processing and Characterization Methods for Miniaturization of Field-Effect Gas Sensor. Sensors 2023, 23, 514. [Google Scholar] [CrossRef]
  18. Litvinov, A.; Etrekova, M.; Podlepetsky, B.; Samotaev, N.; Oblov, K.; Afanasyev, A.; Ilyin, V. MOSFE-Capacitor Silicon Carbide-Based Hydrogen Gas Sensors. Sensors 2023, 23, 3760. [Google Scholar] [CrossRef]
  19. Etrekova, M.; Litvinov, A.; Samotaev, N.; Filipchuk, D.; Oblov, K.; Mikhailov, A. Investigation of Selectivity and Reproducibility Characteristics of Gas Capacitive MIS Sensors. In International Youth Conference on Electronics, Telecommunications and Information Technologies: Proceedings of the YETI 2020, St. Petersburg, Russia, 10–11 July 2020; Springer International Publishing: Cham, Switzerland; pp. 87–95. [CrossRef]
  20. Volkenshteinб, F.F. Electronic Processes on the Surface of Semiconductors During Chemisorption; Nauka: Moscow, Russia, 1987; p. 432. (In Russian) [Google Scholar]
  21. Dynamic Installation “Microgaz-F”. Available online: https://inte.ru/index.php/produktsiya/pribory/mikrogaz-f (accessed on 3 March 2025).
  22. PU Type Aspirators. Available online: https://www.ximko.ru/catalog/aspirators/ (accessed on 3 March 2025).
  23. AMM-3068 Component Analyzer. Available online: https://www.aktakom.ru/kio/index.php?SECTION_ID=2116&ELEMENT_ID=11289676 (accessed on 3 March 2025).
  24. Liu, Y.; Koo, K.; Mao, Z.; Fu, X.; Hu, X.; Dravid, V.P. Unraveling the adsorption-limited hydro-gen oxidation reaction at palladium surface via in situ electron microscopy. Proc. Natl. Acad. Sci. USA 2024, 121, 2408277121. [Google Scholar] [CrossRef]
  25. Yu, S.; Cheng, X.; Wang, Y.; Xiao, B.; Xing, Y.; Ren, J.; Lu, Y.; Li, H.; Zhuang, C.; Chen, G. High activity and selectivity of single palladium atom for oxygen hydrogenation to H2O2. Nat. Commun. 2022, 13, 4737. [Google Scholar] [CrossRef]
  26. Han, G.H.; Lee, S.H.; Hwang, S.Y.; Lee, K.Y. Advanced development strategy of nano catalyst and DFT calculations for direct synthesis of hydrogen peroxide. Adv. Energy Mater. 2021, 11, 2003121. [Google Scholar] [CrossRef]
  27. Donghui, Y.; Deping, H.; Shangrun, Y. Thermal decomposition kinetics of titanium hydride and alloy melt foaming process. Sci. China Ser. B Chem. 2004, 47, 512–520. [Google Scholar] [CrossRef]
  28. Lehmhus, D.; Rausch, G. Tailoring titanium hydride decomposition Kinetic by annealing in various atmospheres. Adv. Eng. Mater. 2004, 6, 313–330. [Google Scholar] [CrossRef]
Figure 1. Photo and schematic diagram of the experimental research facility for aging metal hydrides in Na. Hydrogen sensor, 1; vacuum gauge valve, 2; ionization vacuum gauge with hot cathode, 3; valve to the autoclave with Na, 4, autoclave with Na, 5; autoclave heating furnace, 6; wide range mono-vacuum gauge, 7; valve to the backing vacuum pump, 8; Ar input valve, 9; low-vacuum rotary vane pump, 10; gas supply valve to the H2 sensor, 11; PID controller, 12.
Figure 1. Photo and schematic diagram of the experimental research facility for aging metal hydrides in Na. Hydrogen sensor, 1; vacuum gauge valve, 2; ionization vacuum gauge with hot cathode, 3; valve to the autoclave with Na, 4, autoclave with Na, 5; autoclave heating furnace, 6; wide range mono-vacuum gauge, 7; valve to the backing vacuum pump, 8; Ar input valve, 9; low-vacuum rotary vane pump, 10; gas supply valve to the H2 sensor, 11; PID controller, 12.
Sensors 25 03771 g001
Figure 2. (a) The appearance of a gas analyzer based on the MOSFEC sensor. (b) MOSFEC sensor assembly on a ceramic base. (c) Schematic representation of a capacitor-type MOS structure; for example, a metal Pd electrode with a thickness of 100–200 nm; insulator layer composed of Ta2O5–SiO2, 200–300 nm; semiconductor silicon layer, 4 μm; ohmic platinum contact, 500 nm.
Figure 2. (a) The appearance of a gas analyzer based on the MOSFEC sensor. (b) MOSFEC sensor assembly on a ceramic base. (c) Schematic representation of a capacitor-type MOS structure; for example, a metal Pd electrode with a thickness of 100–200 nm; insulator layer composed of Ta2O5–SiO2, 200–300 nm; semiconductor silicon layer, 4 μm; ohmic platinum contact, 500 nm.
Sensors 25 03771 g002
Figure 3. Photo and schematic diagram of the facility for calibrating the MOSFEC sensor’s response to H2 in inert atmosphere.
Figure 3. Photo and schematic diagram of the facility for calibrating the MOSFEC sensor’s response to H2 in inert atmosphere.
Sensors 25 03771 g003
Figure 4. Results of the MOSFEC sensor’s response calibration for a range of low H2 concentrations in different gas environments.
Figure 4. Results of the MOSFEC sensor’s response calibration for a range of low H2 concentrations in different gas environments.
Sensors 25 03771 g004
Figure 5. (a) The MOSFEC sensor’s response rate to the supply (a) and removal (b) of H2.
Figure 5. (a) The MOSFEC sensor’s response rate to the supply (a) and removal (b) of H2.
Sensors 25 03771 g005
Figure 6. Verification of the MOSFEC sensor’s calibration results for H2: (a) 5, 25, 75, 200, and 5 ppm in the air; (b) 1570 ppm in Ar. Notations: red curve (left y-axis)—measured instrument values of H2 concentration [ppm]; green curve (right y-axis)—experimental data of relative change in sensor capacitance [pF]; x-axis—time scale in 24 h format hour: minute.
Figure 6. Verification of the MOSFEC sensor’s calibration results for H2: (a) 5, 25, 75, 200, and 5 ppm in the air; (b) 1570 ppm in Ar. Notations: red curve (left y-axis)—measured instrument values of H2 concentration [ppm]; green curve (right y-axis)—experimental data of relative change in sensor capacitance [pF]; x-axis—time scale in 24 h format hour: minute.
Sensors 25 03771 g006
Figure 7. Dynamics of H2 release from a TiH2 sample in the case of heating and holding at 700 °C.
Figure 7. Dynamics of H2 release from a TiH2 sample in the case of heating and holding at 700 °C.
Sensors 25 03771 g007
Figure 8. Graph of changes in H2 concentration when HfH2 is kept in Na at 700 °C for 5 h.
Figure 8. Graph of changes in H2 concentration when HfH2 is kept in Na at 700 °C for 5 h.
Sensors 25 03771 g008
Table 1. The calibrating data of the MOSFET sensor’s response to H2 in an Ar environment.
Table 1. The calibrating data of the MOSFET sensor’s response to H2 in an Ar environment.
KH2, ppm0.21.13.16535064010451570
ΔC, pF50 ± 5175 ± 20275 ± 30400 ± 40530 ± 50535 ± 50545 ± 40550 ± 50
Disclaimer/Publisher’s Note: The statements, opinions and data contained in all publications are solely those of the individual author(s) and contributor(s) and not of MDPI and/or the editor(s). MDPI and/or the editor(s) disclaim responsibility for any injury to people or property resulting from any ideas, methods, instructions or products referred to in the content.

Share and Cite

MDPI and ACS Style

Ivanov, G.A.; Shornikov, D.P.; Samotaev, N.N.; Oblov, K.Y.; Etrekova, M.O.; Litvinov, A.V. Measurement of Low-Concentration Hydrogen in Inert Gas Within a Small Closed Volume. Sensors 2025, 25, 3771. https://doi.org/10.3390/s25123771

AMA Style

Ivanov GA, Shornikov DP, Samotaev NN, Oblov KY, Etrekova MO, Litvinov AV. Measurement of Low-Concentration Hydrogen in Inert Gas Within a Small Closed Volume. Sensors. 2025; 25(12):3771. https://doi.org/10.3390/s25123771

Chicago/Turabian Style

Ivanov, Georgiy A., Dmitry P. Shornikov, Nikolay N. Samotaev, Konstantin Y. Oblov, Maya O. Etrekova, and Artur V. Litvinov. 2025. "Measurement of Low-Concentration Hydrogen in Inert Gas Within a Small Closed Volume" Sensors 25, no. 12: 3771. https://doi.org/10.3390/s25123771

APA Style

Ivanov, G. A., Shornikov, D. P., Samotaev, N. N., Oblov, K. Y., Etrekova, M. O., & Litvinov, A. V. (2025). Measurement of Low-Concentration Hydrogen in Inert Gas Within a Small Closed Volume. Sensors, 25(12), 3771. https://doi.org/10.3390/s25123771

Note that from the first issue of 2016, this journal uses article numbers instead of page numbers. See further details here.

Article Metrics

Back to TopTop