Design of a Compact Dual-Band and Dual-Mode Wearable Antenna for WBAN Applications
Abstract
1. Introduction
2. Antenna Design and Performance
2.1. Antenna Geometry
2.2. Design Process and Operating Mechanism
3. Antenna in Free Space
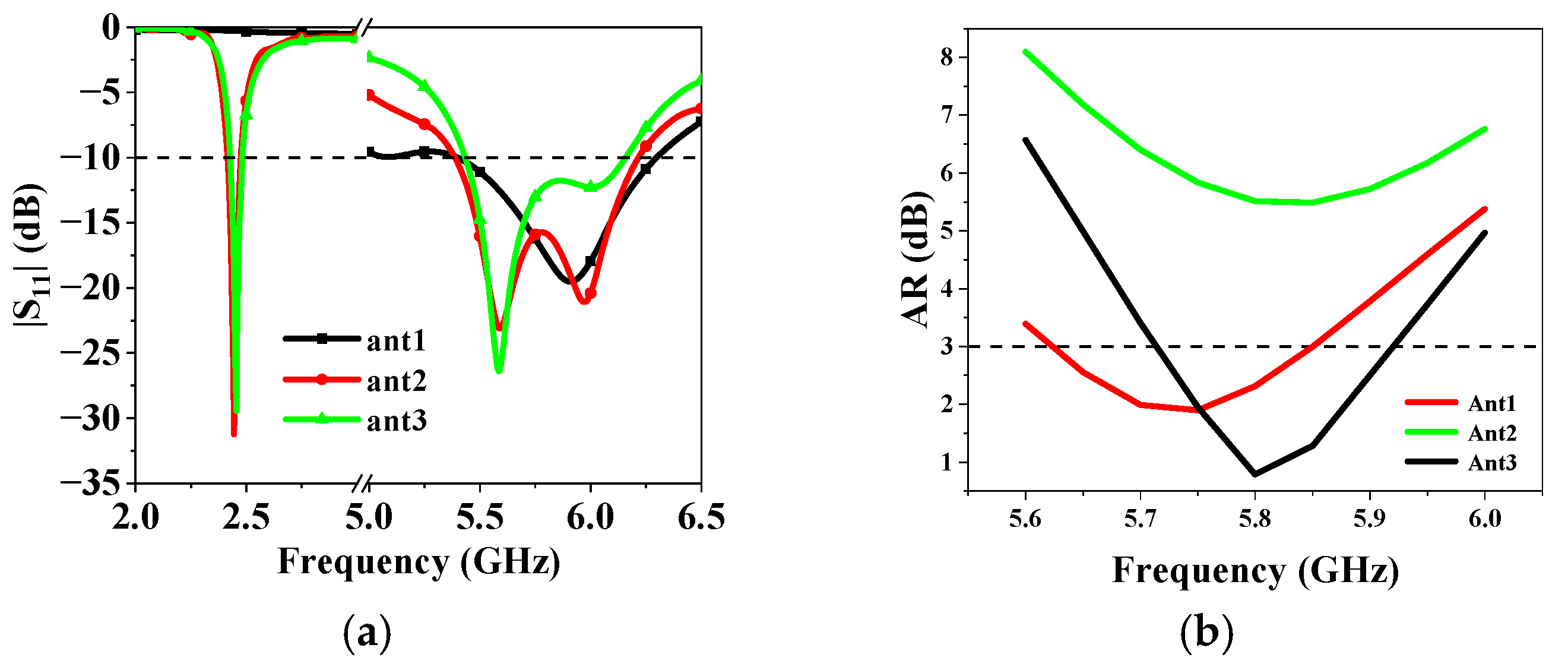
3.1. S-Parameter
3.2. Axial Ratio and Gain
3.3. Radiation Patterns
3.4. The Performance of the Antenna Under Bending Conditions
4. Antenna on the Human Body
4.1. Effect of the Human Body on the Antenna
4.2. SAR Analysis
5. Conclusions
Author Contributions
Funding
Institutional Review Board Statement
Informed Consent Statement
Data Availability Statement
Conflicts of Interest
References
- Le, T.; Yun, T. Wearable Dual-Band High-Gain Low-SAR Antenna for Off-Body Communication. IEEE Antennas Wirel. Propag. Lett. 2021, 20, 1175–1179. [Google Scholar] [CrossRef]
- Bhattacharjee, S.; Maity, S.; Chaudhuri, S.; Mitra, M. A Compact Dual-Band Dual-Polarized Omnidirectional Antenna for On-Body Applications. IEEE Trans. Antennas Propag. 2019, 67, 5044–5053. [Google Scholar] [CrossRef]
- Zhu, X.; Guo, Y.; Wu, W. A Compact Dual-Band Antenna for Wireless Body-Area Network Applications. IEEE Antennas Wirel. Propag. Lett. 2016, 15, 98–101. [Google Scholar] [CrossRef]
- Mersani, A.; Osman, L.; Ribero, J. Performance of Dual-Band AMC Antenna for Wireless Local Area Network Applications. IET Microw. Antennas Propag. 2018, 12, 872–878. [Google Scholar] [CrossRef]
- Liu, R.; Zhang, J.; Chen, W.; Zhang, Y.; Mei, Z.; Niu, T. Design and Verification Of A Dual-Band Wearable Antenna Based on Characteristic Mode Theory. IET Microw. Antennas Propag. 2023, 17, 536–546. [Google Scholar] [CrossRef]
- Ahmad, S.; Ghaffar, A.; Hussain, N.; Kim, N. Compact Dual-Band Antenna with Paired L-Shape Slots for on- and off-Body Wireless Communication. Sensors 2021, 21, 7953. [Google Scholar] [CrossRef] [PubMed]
- Zhou, L.; Fang, S.; Jia, X. Dual-band and Dual-polarised Circular Patch Textile Antenna for on-/off-body WBAN Applications. IET Microw. Antennas Propag. 2020, 14, 643–648. [Google Scholar] [CrossRef]
- Tong, X.; Liu, C.; Liu, X.; Guo, H.; Yang, X. Switchable on-/off-body Antenna for 2.45 GHz WBAN Applications. IEEE Trans. Antennas Propag. 2018, 66, 967–971. [Google Scholar] [CrossRef]
- Tong, X.; Liu, C.; Guo, H.; Liu, X. A Triple-mode Reconfigurable Wearable Repeater Antenna for WBAN Applications. Int. J. RF Microw. Comput.-Aided Eng. 2019, 29, e21615. [Google Scholar] [CrossRef]
- Liu, Z.; Guo, Y. Compact Low-Profile Dual-band Metamaterial Antenna for Body Centric Communications. IEEE Antennas Wirel. Propag. Lett. 2015, 14, 863–866. [Google Scholar] [CrossRef]
- Liu, Z.; Guo, Y. Dual-band Low Profile Antenna for Body Centric Communications. IEEE Trans. Antennas Propag. 2013, 61, 2282–2285. [Google Scholar] [CrossRef]
- Zhang, X.; Wong, H.; Mo, T.; Cao, Y. Dual-band Dual-mode Button Antenna for on-body and off-body Communications. IEEE Trans. Biomed. Circuits Syst. 2017, 11, 933–941. [Google Scholar] [CrossRef] [PubMed]
- Zhao, C.; Geyi, W. Design of a Dual-band Dual-mode Antenna for on/off Body Communications. Microw. Opt. Technol. Lett. 2020, 62, 514–520. [Google Scholar] [CrossRef]
- Mo, J.; Sung, Y. Dual-Band Antenna with Pattern and Polarization Diversity. Sensors 2024, 24, 5008. [Google Scholar] [CrossRef] [PubMed]
- Yan, S.; Vandenbosch, G.A. Wearable Antenna with Tripolarization Capability. In Proceedings of the 2017 International Workshop on Antenna Technology: Small Antennas, Innovative Structures, and Applications (iWAT), Athens, Greece, 1–3 March 2017; pp. 129–131. [Google Scholar]
- Zhang, J.; Yan, S.; Vandenbosch, G.A. Low-Profile Frequency Reconfigurable Antenna with Polarization and Pattern Diversity. In Proceedings of the IEEE MTT-S International Conference on Microwaves for Intelligent Mobility (ICMIM), Detroit, MI, USA, 15–16 April 2019; pp. 1–4. [Google Scholar]
- Simorangkir, R.B.V.B.; Abbas, S.M.; Esselle, K.P. A Printed UWB Antenna with Full Ground Plane for WBAN Applications. In Proceedings of the 2016 International Workshop on Antenna Technology (iWAT), Cocoa Beach, FL, USA, 29 February–2 March 2016. [Google Scholar]
- Abbas, S.M.; Ranga, Y.; Esselle, K.P. Sensitivity of A Wearable Printed Antenna with a Full Ground Plane in Close Proximity to Human Arm. In Proceedings of the 2015 9th European Conference on Antennas and Propagation (EuCAP), Lisbon, Portugal, 13–17 April 2015. [Google Scholar]
- Varnoosfaderani, M.V.; Thiel, D.V.; Lu, J.W. A folded Slot Antenna with Full Ground Plane for Wearable Waterproof Wireless Sensors. In Proceedings of the 2014 IEEE Antennas and Propagation Society International Symposium (APSURSI), Memphis, TN, USA, 6–11 July 2014. [Google Scholar]
- Gatti, R.V.; Rossi, R. A Dual-Polarization Slotted Waveguide Array Antenna with Polarization-Tracking Capability and Reduced Sidelobe Level. IEEE Trans. Antennas Propag. 2016, 64, 1567–1572. [Google Scholar] [CrossRef]
- Jiang, Z.H.; Cui, Z.; Yue, T.; Zhu, Y.; Werner, D.H. Compact highly efficient and fully flexible circularly polarized antenna enabled by silver nanowires for wireless body-area networks. IEEE Trans. Biomed. Circuits Syst. 2017, 11, 920–932. [Google Scholar] [CrossRef] [PubMed]
- Bait-Suwailam, M.M.; Alomainy, A. Flexible Analytical Curve-Based Dual-Band Antenna for Wireless Body Area Networks. Prog. Electromagn. Res. M 2019, 84, 73–84. [Google Scholar] [CrossRef]
- Bait-Suwailam, M.M.; Labiano, I.I.; Alomainy, A. Impedance Enhancement of Textile Grounded Loop Antenna Using High-Impedance Surface (HIS) for Healthcare Applications. Sensors 2020, 20, 3809. [Google Scholar] [CrossRef] [PubMed]





















| Tissue | 2.45 GHz | 5.8 GHz | Thickness (mm) | ||
|---|---|---|---|---|---|
| εr | tan δ | εr | tan δ | ||
| Skin | 38.007 | 0.28262 | 35.114 | 0.32807 | 1 |
| Fat | 5.2801 | 0.14524 | 4.9549 | 0.18335 | 3 |
| Muscle | 52.729 | 0.24194 | 48.485 | 0.31715 | 10 |
| Ref. | H (mm) × Area (mm2) | f1 and f2 (GHz) | BW (%) | Gain (dBi) | Polarization | Rad.Pat. |
|---|---|---|---|---|---|---|
| [2] | 5 × 1963 | 2.45/5.8 | 10/9 | −5.1/3.3 | L/C | O/O |
| [3] | 1.58 × 986 | 2.45/5.8 | 1.2/2.0 | 2.13/5.16 | L/L | B/B |
| [6] | 1.6 × 1200 | 2.45/5.8 | 2.04/3.44 | 5.08/6.33 | N | B/O |
| [11] | ~1.58 × 9503 | 2.45/5.8 | 3.54/3.45 | 0.75/5.4 | L/L | O/B |
| [12] | 9.8 × 1018 | 2.45/5.8 | N | −0.6/4.3 | L/L | O/B |
| Proposed | 5 × 2463 | 2.45/5.8 | 1.71/13.10 | 1.2/7.45 | L/C | O/B |
Disclaimer/Publisher’s Note: The statements, opinions and data contained in all publications are solely those of the individual author(s) and contributor(s) and not of MDPI and/or the editor(s). MDPI and/or the editor(s) disclaim responsibility for any injury to people or property resulting from any ideas, methods, instructions or products referred to in the content. |
© 2025 by the authors. Licensee MDPI, Basel, Switzerland. This article is an open access article distributed under the terms and conditions of the Creative Commons Attribution (CC BY) license (https://creativecommons.org/licenses/by/4.0/).
Share and Cite
Zhang, W.; Li, W.; Feng, X.; Zhao, C.; Li, Y.; Liao, X. Design of a Compact Dual-Band and Dual-Mode Wearable Antenna for WBAN Applications. Sensors 2025, 25, 3361. https://doi.org/10.3390/s25113361
Zhang W, Li W, Feng X, Zhao C, Li Y, Liao X. Design of a Compact Dual-Band and Dual-Mode Wearable Antenna for WBAN Applications. Sensors. 2025; 25(11):3361. https://doi.org/10.3390/s25113361
Chicago/Turabian StyleZhang, Wei, Wenran Li, Xiaoyu Feng, Chen Zhao, Yan Li, and Xiaoyi Liao. 2025. "Design of a Compact Dual-Band and Dual-Mode Wearable Antenna for WBAN Applications" Sensors 25, no. 11: 3361. https://doi.org/10.3390/s25113361
APA StyleZhang, W., Li, W., Feng, X., Zhao, C., Li, Y., & Liao, X. (2025). Design of a Compact Dual-Band and Dual-Mode Wearable Antenna for WBAN Applications. Sensors, 25(11), 3361. https://doi.org/10.3390/s25113361

