A Self-Temperature Compensation Barometer Based on All-Quartz Resonant Pressure Sensor
Abstract
1. Introduction
2. Sensor Design and Simulation
3. Self-Temperature Compensation
4. Fabrication
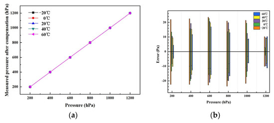
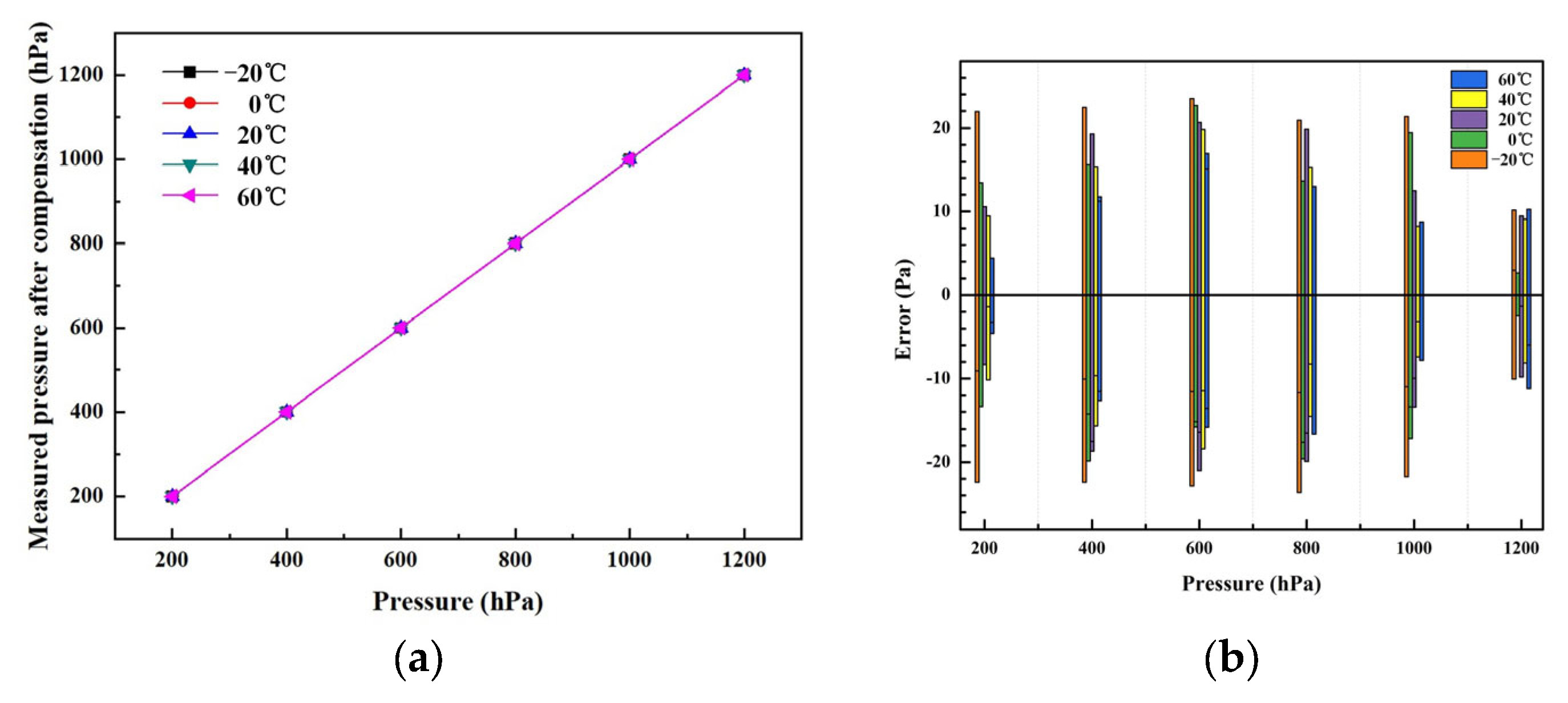
5. Results and Discussion
6. Conclusions
Author Contributions
Funding
Institutional Review Board Statement
Informed Consent Statement
Data Availability Statement
Conflicts of Interest
References
- Ni, Z.; Jiao, D.; Zou, H. 0.4 mm × 0.4 mm barometer sensor-chip fabricated by a scar-free ‘MIS’ (minimally invasive surgery) process for 0.01US $/die product. In Proceedings of the International Conference on Solid-State Sensors, Actuators and Microsystems 2017 (Transducers 2017), Taiwan, China, 18–22 June 2017. [Google Scholar]
- Bao, X.; Xiong, Z.; Sheng, S. Barometer Measurement Error Modeling and Correction for UAH Altitude Tracking. In Proceedings of the 29th Chinese Control and Decision Conference, Chongqing, China, 28–30 May 2017. [Google Scholar]
- Yuan, S.; Ren, Y.; Qiu, L. A Multi-Response Based Wireless Impact Monitoring Network for Aircraft Composite Structures. IEEE Trans. Ind. Electron. 2016, 63, 7712–7722. [Google Scholar] [CrossRef]
- Enri, D.; Lorenzo, B.; Mikel, A.U. A Piezoresistive MEMS Barometer with Thermomecanical Stress Rejection. In Proceedings of the Transducers 2019—Eurosensors, Berlin, Germany, 23–27 June 2019. [Google Scholar]
- Yuan, S.; Lai, X.; Zhao, X. Distributed structural health monitoring system based on smart wireless sensor and multi-agent technology. Smart Mater. Struct. 2006, 15, 1. [Google Scholar] [CrossRef]
- Anh, V.T.; Zhang, X.; Zhu, B. Mechanical Structural Design of a Piezoresistive Pressure Sensor for Low-Pressure Measurement: A Computational Analysis by Increases in the Sensor Sensitivity. Sensors 2018, 18, 2023. [Google Scholar] [CrossRef] [PubMed]
- Li, Y.; Chen, C.; Lu, Y. A High-Sensitivity Resonant Differential Pressure Microsensor Based on Bulk Micromachining. IEEE Sens. J. 2021, 21, 8927–8934. [Google Scholar] [CrossRef]
- Li, C.; Francisco, C.; Jagdheesh, R.; Ocaña, J.L. Design Optimization and Fabrication of a Novel Structural SOI Piezoresistive Pressure Sensor with High Accuracy. Sensors 2018, 18, 439. [Google Scholar] [CrossRef] [PubMed]
- Mikhail, B.; Denis, P. Development of High-Sensitivity Piezoresistive Pressure Sensors for −0.5…+0.5 kPa. J. Micromech. Microeng. 2020, 30, 10. [Google Scholar]
- Mikhail, B. Pressure Sensor with Novel Electrical Circuit Utilizing Bipolar Junction Transistor. In Proceedings of the 2021 IEEE Sensors, Sydney, Australia, 31 October–3 November 2021. [Google Scholar]
- Xu, T.; Lu, D.; Zhao, L. Application and Optimization of Stiffness Abruption Structures for Pressure Sensors with High Sensitivity and Anti-Overload Ability. Sensors 2017, 17, 1965. [Google Scholar] [CrossRef] [PubMed]
- Ali, E.K.; Ahmed, H.; Ammar, I.K. A micro-capacitive pressure sensor design and modelling. J. Sens. Sens. Syst. 2016, 5, 95–112. [Google Scholar]
- Adel, M.; Charles, A.; Edward, J.H. Capacitive MEMS absolute pressure sensor using a modified commercial microfabrication process. Microsyst. Technol. 2017, 23, 3215–3225. [Google Scholar]
- Zhang, C.; Robert, G.; Dixon, P.L. A High-Precision and Low-Power Capacitive Pressure Sensor Interface IC with Wireless Power and Data Transfer for a Pressure Sensor Implant. IEEE Sens. J. 2023, 23, 7105–7114. [Google Scholar] [CrossRef]
- Du, X.; Wang, L.; Li, A. High Accuracy Resonant Pressure Sensor with Balanced-Mass DETF Resonator and Twinborn Diaphragms. J. Microelectromech. Syst. 2017, 26, 235–245. [Google Scholar] [CrossRef]
- Yoonho, S.; Donghwan, K.; Neal, A.H. Piezoelectric Pressure Sensors for Hypersonic Flow Measurements. J. Microelectromech. Syst. 2019, 28, 271–278. [Google Scholar]
- Liang, J.; Li, X.; Li, H. Design and Fabrication of Quartz Micro-Electro-Mechanical System-Based Double-Ended Tuning Fork with Variable Sections. Jpn. J. Appl. Phys. 2011, 50, 6S. [Google Scholar] [CrossRef]
- Cheng, R.; Zhao, Y.; Li, C. Design and fabrication of a resonant pressure sensor by combination of DETF quartz resonator and silicon diaphragm. Microsyst. Technol. 2014, 21, 631–640. [Google Scholar] [CrossRef]
- Wang, J.; Zhao, C.; Zhao, G.H. All-Quartz High Accuracy MEMS Pressure Sensor Based on Double-Ended Tuning Fork Resonator. Procedia Eng. 2015, 120, 857–860. [Google Scholar] [CrossRef]
- Wang, J.; Zhao, C.; Han, D.X. High Accuracy MEMS Pressure Sensor Based on Quartz Crystal Resonator. Proceedings 2017, 1, 379. [Google Scholar] [CrossRef]
- Hopcroft, M.A.; Agarwal, M.; Park, K.K. Temperature Compensation of A MEMS Resonator Using Quality Factor as a Thermometer. In Proceedings of the MEMS 2006, Istanbul, Turkey, 22–26 January 2006. [Google Scholar]
- Zhang, Q.; Li, C.; Zhao, Y. A high sensitivity quartz resonant pressure sensor with differential output and selfcorrection. Rev. Sci. Instrum. 2019, 90, 065003. [Google Scholar] [CrossRef] [PubMed]
- Chen, M. Temperature compensation and application of quartz pressure gauge. J. Transducer Technol. 2003, 22, 63–65. [Google Scholar]
















| Symbols | Designation | Values |
|---|---|---|
| t | Thickness of DETF | 200 μm |
| l | Length | 4800 μm |
| w | Width | 96 μm |
| d | Tine-spacing | 150 μm |
| L | Overall length | 9.6 mm |
| D | Overall width | 1.7 mm |
| fD | Natural frequency | 45 kHz |
| Symbols | Designation | Values |
|---|---|---|
| t | Thickness of SETF | 200 μm |
| l | Length | 2600 μm |
| w | Width | 250 μm |
| d | Tine-spacing | 220 μm |
| L | Overall length | 3.9 mm |
| D | Overall width | 1 mm |
| fS | Natural frequency | 30 kHz |
| DETF | SETF | |
|---|---|---|
| f (kHz) | 44.864 | 29.964 |
| R1 (kΩ) | 144.5 | 139.5 |
| C1 (fF) | 1.7 | 1.8 |
| L1 (kH) | 7.3 | 15.5 |
| C0 (pF) | 2.4 | 2.4 |
| Q | 14,215 | 20,970 |
| A0: 6.964961 × 102 | A1: 9.515319 × 10−1 | A2: −5.538909 × 10−3 | A3: −6.086999 × 10−5 | A4: 4.114796 × 10−6 |
| B0: 4.778090 × 10−1 | B1: 5.076529 × 10−5 | B2: 8.540680 × 10−8 | B3: −6.179048 × 10−10 | B4: 1.852976 × 10−10 |
| C0: 6.644117 × 10−6 | C1: −2.461253 × 10−9 | C2: −9.652854 × 10−11 | C3: −8.904153 × 10−14 | C4: 6.339908 × 10−15 |
| D0: 4.474582 × 10−10 | D1: 5.730680 × 10−12 | D2: 2.478367 × 10−13 | D3: −2.354583 × 10−15 | D4: −1.262200 × 10−16 |
| E0: 4.542116 × 10−15 | E1: 3.192787 × 10−15 | E2: 5.955707 × 10−17 | E3: −7.483828 × 10−19 | E4: −7.897508 × 10−21 |
| F0: 8.136063 × 10−3 | F1: −2.202319 × 10−7 | F2: −2.199550 × 10−3 | F3: 1.479485 × 10−7 | F4: −2.487695 × 10−12 |
| fT′: 29,964.049 | fp′: 44,238.170 |
Disclaimer/Publisher’s Note: The statements, opinions and data contained in all publications are solely those of the individual author(s) and contributor(s) and not of MDPI and/or the editor(s). MDPI and/or the editor(s) disclaim responsibility for any injury to people or property resulting from any ideas, methods, instructions or products referred to in the content. |
© 2024 by the authors. Licensee MDPI, Basel, Switzerland. This article is an open access article distributed under the terms and conditions of the Creative Commons Attribution (CC BY) license (https://creativecommons.org/licenses/by/4.0/).
Share and Cite
Han, D.; Yuan, S.; Feng, C.; Yang, T. A Self-Temperature Compensation Barometer Based on All-Quartz Resonant Pressure Sensor. Sensors 2024, 24, 2460. https://doi.org/10.3390/s24082460
Han D, Yuan S, Feng C, Yang T. A Self-Temperature Compensation Barometer Based on All-Quartz Resonant Pressure Sensor. Sensors. 2024; 24(8):2460. https://doi.org/10.3390/s24082460
Chicago/Turabian StyleHan, Dongxiang, Shenfang Yuan, Congwei Feng, and Ting Yang. 2024. "A Self-Temperature Compensation Barometer Based on All-Quartz Resonant Pressure Sensor" Sensors 24, no. 8: 2460. https://doi.org/10.3390/s24082460
APA StyleHan, D., Yuan, S., Feng, C., & Yang, T. (2024). A Self-Temperature Compensation Barometer Based on All-Quartz Resonant Pressure Sensor. Sensors, 24(8), 2460. https://doi.org/10.3390/s24082460

