Multifunctional Polypyrrole-Based Textile Sensors for Integration into Personal Protection Equipment
Abstract
1. Introduction
2. Experimental
2.1. Materials
2.2. Polymerisation of Polypyrrole on PA66 Fabrics
2.3. Analysis of Polypyrrole Coated Polyamide 66 Fabrics
2.3.1. Scanning Electron Microscopy (SEM)
2.3.2. Fourier Transform Infrared Spectroscopy (FTIR)
2.3.3. Flexural Rigidity Measurement
2.3.4. Electrical Resistance Measurements
2.4. Performance Tests
2.4.1. Temperature Measurement
2.4.2. Exposure to Hydrogen Chloride and Ammonia Gas
3. Results and Discussion
3.1. Characterisation of Polypyrrole Layer
3.1.1. Microscopy and Layer Thickness
3.1.2. FTIR Analysis
3.1.3. Flexural Rigidity
3.2. Polypyrrole-Coated Polyamide 66 Fabrics as Multifunctional Sensing Surfaces
3.2.1. Polypyrrole-Coated Polyamide 66 Fabric as Temperature Sensor
3.2.2. Polypyrrole Coated Polyamide 66 Fabrics as Hydrogen Chloride Gas Sensor
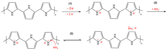
3.2.3. Polypyrrole Coated Polyamide 66 Fabric as Ammonia Sensor
4. Conclusions
Author Contributions
Funding
Institutional Review Board Statement
Informed Consent Statement
Data Availability Statement
Conflicts of Interest
References
- Kofler, P.; Herten, A.; Heinrich, D.; Bottoni, G.; Hasler, M.; Faulhaber, M.; Bechtold, T.; Nachbauer, W.; Burtscher, M. Viscose as an Alternative to Aramid in Workwear: Influence on Endurance Performance, Cooling, and Comfort. Text. Res. J. 2013, 83, 2085–2092. [Google Scholar] [CrossRef]
- Decaens, J.; Vermeersch, O. Wearable Technologies for Personal Protective Equipment: Embedded Textile Monitoring Sensors, Power and Data Transmission, End-Life Indicators. In Smart Textiles and Their Applications; Woodhead Publishing: Sawston, UK, 2016; pp. 519–537. [Google Scholar] [CrossRef]
- Sibinski, M.; Jakubowska, M.; Sloma, M. Flexible Temperature Sensors on Fibers. Sensors 2010, 10, 7934–7946. [Google Scholar] [CrossRef] [PubMed]
- Castano, L.M.; Flatau, A.B. Smart Fabric Sensors and E-Textile Technologies: A Review. Smart Mater. Struct. 2014, 23, 053001. [Google Scholar] [CrossRef]
- Root, W.; Wright, T.; Caven, B.; Bechtold, T.; Pham, T. Flexible Textile Strain Sensor Based on Copper-Coated Lyocell Type Cellulose Fabric. Polymers 2019, 11, 784. [Google Scholar] [CrossRef] [PubMed]
- Landsiedel, J.; Root, W.; Aguilo-Aguayo, N.; Duelli, H.; Bechtold, T.; Pham, T. Multi-Point Flexible Temperature Sensor Array and Thermoelectric Generator Made from Copper-Coated Textiles. Sensors 2021, 21, 3742. [Google Scholar] [CrossRef] [PubMed]
- Qu, H.; Skorobogatiy, M. Conductive Polymer Yarns for Electronic Textiles. In Electronic Textiles; Elsevier: Amsterdam, The Netherlands, 2015; pp. 21–53. ISBN 9780081002018. [Google Scholar]
- Nitani, M.; Nakayama, K.; Maeda, K.; Omori, M.; Uno, M. Organic Temperature Sensors Based on Conductive Polymers Patterned by a Selective-Wetting Method. Org. Electron. 2019, 71, 164–168. [Google Scholar] [CrossRef]
- Jain, R.; Jadon, N.; Pawaiya, A. Polypyrrole Based next Generation Electrochemical Sensors and Biosensors: A Review. TrAC-Trends Anal. Chem. 2017, 97, 363–373. [Google Scholar] [CrossRef]
- Jin, G.; Norrish, J.; Too, C.; Wallace, G. Polypyrrole Filament Sensors for Gases and Vapours. Curr. Appl. Phys. 2004, 4, 366–369. [Google Scholar] [CrossRef]
- Carquigny, S.; Sanchez, J.B.; Berger, F.; Lakard, B.; Lallemand, F. Ammonia Gas Sensor Based on Electrosynthesized Polypyrrole Films. Talanta 2009, 78, 199–206. [Google Scholar] [CrossRef]
- Navale, S.T.; Mane, A.T.; Chougule, M.A.; Sakhare, R.D.; Nalage, S.R.; Patil, V.B. Highly Selective and Sensitive Room Temperature NO2 Gas Sensor Based on Polypyrrole Thin Films. Synth. Met. 2014, 189, 94–99. [Google Scholar] [CrossRef]
- Paul, S.; Joseph, M. Polypyrrole Functionalized with FePcTSA for NO2 Sensor Application. Sens. Actuators B Chem. 2009, 140, 439–444. [Google Scholar] [CrossRef]
- Arya, S.K.; Krishnan, S.; Silva, H.; Jean, S.; Bhansali, S. Advances in Materials for Room Temperature Hydrogen Sensors. Analyst 2012, 137, 2743–2756. [Google Scholar] [CrossRef] [PubMed]
- Al-Mashat, L.; Debiemme-Chouvy, C.; Borensztajn, S.; Wlodarski, W. Electropolymerized Polypyrrole Nanowires for Hydrogen Gas Sensing. J. Phys. Chem. C 2012, 116, 13388–13394. [Google Scholar] [CrossRef]
- Waghuley, S.A.; Yenorkar, S.M.; Yawale, S.S.; Yawale, S.P. Application of Chemically Synthesized Conducting Polymer-Polypyrrole as a Carbon Dioxide Gas Sensor. Sens. Actuators B Chem. 2008, 128, 366–373. [Google Scholar] [CrossRef]
- Ameer, Q.; Adeloju, S.B. Polypyrrole-Based Electronic Noses for Environmental and Industrial Analysis. Sens. Actuators B Chem. 2005, 106, 541–552. [Google Scholar] [CrossRef]
- Agbor, N.E.; Petty, M.C.; Monkman, A.P. Polyaniline Thin Films for Gas Sensing. Sens. Actuators B. Chem. 1995, 28, 173–179. [Google Scholar] [CrossRef]
- Stussi, E.; Cella, S.; Serra, G.; Venier, G.S. Fabrication of Conducting Polymer Patterns for Gas Sensing by a Dry Technique. Mater. Sci. Eng. C 1996, 4, 27–33. [Google Scholar] [CrossRef]
- Pavel, I.A.; Lakard, S.; Lakard, B. Flexible Sensors Based on Conductive Polymers. Chemosensors 2022, 10, 97. [Google Scholar] [CrossRef]
- Sambasevam, K.P.; Suhaimi, N.F.; Norsham, I.N.M.; Shahabuddin, S.; Raoov, M.; Baharin, S.N.A. Synthesis and Application of Polypyrrole/DBSA/Boron Nitride Ternary Composite as a Potential Chemical Sensor for Ammonia Gas Detection. Orbital 2023, 15, 133–141. [Google Scholar] [CrossRef]
- Sambasevam, K.P.; Sateria, S.F.; Baharin, S.N.A.; Azman, N.J.; Ahmad Wakid, S.; Shahabuddin, S. An Optimization of Fungal Chitin Grafted Polyaniline for Ammonia Gas Detection via Box Behnken Design. Int. J. Biol. Macromol. 2023, 238, 124079. [Google Scholar] [CrossRef]
- Yavarinasab, A.; Janfaza, S.; Tahmooressi, H.; Ghazi, M.; Tasnim, N.; Hoorfar, M. A Selective Polypyrrole-Based Sub-Ppm Impedimetric Sensor for the Detection of Dissolved Hydrogen Sulfide and Ammonia in a Mixture. J. Hazard. Mater. 2021, 416, 125892. [Google Scholar] [CrossRef]
- Wesolowski, J.; Plachta, K. The Polyamide Market. Fibres Text. East. Eur. 2016, 24, 12–18. [Google Scholar] [CrossRef]
- GESTIS Stoffdatenbank Ammoniak, Wasserfrei. IFA Institut für Arbeitsschutz der Deutschen Gesetzlichen Arbeitsversicherung: Berlin, Germany, 2023; pp. 1–22. Available online: https://gestis.dguv.de/data?name=001100 (accessed on 16 February 2014).
- Abdollahi, M.; Hosseine, A. Hydrochloric Acid. In Encyclopedia of Toxicology; Wexler, P., Ed.; Academic Press: Oxford, UK, 2014; pp. 960–963. ISBN 9780123864543. [Google Scholar]
- GESTIS Soffdatenbank Salzsäure. IFA Institut für Arbeitsschutz der Deutschen Gesetzlichen Arbeitsversicherung: Berlin, Germany, 2023; pp. 1–18. Available online: https://gestis.dguv.de/data?name=001050 (accessed on 16 February 2024).
- Ovando-Medina, V.M.; Peralta, R.D.; Mendizábal, E.; Martínez-Gutiérrez, H.; Lara-Ceniceros, T.E.; Ledezma-Rodríguez, R. Synthesis of Polypyrrole Nanoparticles by Oil-in-Water Microemulsion Polymerization with Narrow Size Distribution. Colloid Polym. Sci. 2011, 289, 759–765. [Google Scholar] [CrossRef]
- Fritz, J.J.; Fuget, C.R. Vapor Pressure of Aqueous Hydrogen Chloride Solutions, O° to 50° C. Ind. Eng. Chem. Chem. Eng. Data Ser. 1956, 1, 10–12. [Google Scholar] [CrossRef]
- Perman, E.P. CXV.—Vapour Pressure of Aqueous Ammonia Solution. Part II. J. Chem. Soc. Trans. 1903, 83, 1168–1184. [Google Scholar] [CrossRef]
- Evans, M. HAZMAT_Report_93-3.Pdf Modeling Hydrochlorid Acid Evaporation; Modeling and Simulation Branch, Hazardous Material Response and Assessment Division, Office of Ocean Resources Conservation and Assessment, National Oceanic and AtmosphericAdminsitration: Seattle, WA, USA, 1993. [Google Scholar]
- Council U.N.E.& S. Economic Commission for Europe Inland Transport Committee, Working Party on the Transport of Dangerous Goods. Government of Belgium: Brussels, Belgium, 2008. Available online: https://unece.org/DAM/trans/doc/2013/dgwp15ac1/ECE-TRANS-WP15-AC1-2013-GE-INF.21e.pdf (accessed on 16 February 2024).
- Günzler, H.; Gremlich, H. IR-Spektroskopie: Eine Einführung; Wiley-VCH Verlag GmbH & Co. KGaA: Weinheim, Germany, 2013. [Google Scholar]
- Cui, Z.; Coletta, C.; Dazzi, A.; Lefrancois, P.; Gervais, M.; Néron, S.; Remita, S. Radiolytic Method as a Novel Approach for the Synthesis of Nanostructured Conducting Polypyrrole. Langmuir 2014, 30, 14086–14094. [Google Scholar] [CrossRef] [PubMed]
- Akhyar Farrukh, M. (Ed.) Advanced Aspects of Spectroscopy; IntechOpem: Rijeka, Croatia, 2012; ISBN 978-9535107156. [Google Scholar]
- Marathe, C.D. Organic Conjugated Polymers (Polypyrrol) Based Sensors for Detection of Hazardous Gases. Indian J. Appl. Res. 2015, 5, 217–220. [Google Scholar]
- Wang, Y.; Pan, X.; Chen, Y.; Wen, Q.; Lin, C.; Zheng, J.; Li, W.; Xu, H.; Qi, L. A 3D Porous Nitrogen-Doped Carbon Nanotube Sponge Anode Modified with Polypyrrole and Carboxymethyl Cellulose for High-Performance Microbial Fuel Cells. J. Appl. Electrochem. 2020, 50, 1281–1290. [Google Scholar] [CrossRef]
- Gleissner, C.; Kohn, B.; Scheler, U.; Bechtold, T.; Pham, T. Modification of PA66 Fibres with In-Situ Polymerisation of 2-Hydroxyethylmethacrylate. Surf. Interfaces 2023, 43, 103573. [Google Scholar] [CrossRef]
- Chougule, M.A.; Pawar, S.G.; Godse, P.R.; Mulik, R.N.; Sen, S.; Patil, V.B. Synthesis and Characterization of Polypyrrole (PPy) Thin Films. Soft Nanosci. Lett. 2011, 1, 6–10. [Google Scholar] [CrossRef]
- Chen, Y.; Zhang, W.; She, C.; Li, G.; Zhang, L.; Liu, S.; Cheng, Y.; Jing, C.; Chu, J. Sodium Citrate Doped Polypyrrole/PS Glass Capillary Tube Sensor for Ultra-Small Volume HCl Gas Detection. RSC Adv. 2019, 9, 36351–36357. [Google Scholar] [CrossRef]
- Zhang, X.; Bai, R. Surface Electric Properties of Polypyrrole in Aqueous Solutions. Langmuir 2003, 19, 10703–10709. [Google Scholar] [CrossRef]
- Prokeš, J.; Varga, M.; Vrňata, M.; Valtera, S.; Stejskal, J.; Kopecký, D. Nanotubular Polypyrrole: Reversibility of Protonation/Deprotonation Cycles and Long-Term Stability. Eur. Polym. J. 2019, 115, 290–297. [Google Scholar] [CrossRef]
- Inganäs, O.; Erlandsson, R.; Nylander, C.; Lundström, I. Proton Modification of Conducting Polypyrrole. J. Phys. Chem. Solids 1984, 45, 427–432. [Google Scholar] [CrossRef]
- Kim, W.; Cho, S.; Lee, J.S. Comparative Study on the Effect of Protonation Control for Resistive Gas Sensor Based on Close-Packed Polypyrrole Nanoparticles. Appl. Sci. 2020, 10, 1850. [Google Scholar] [CrossRef]
- Münstedt, H. Properties of Polypyrroles Treated with Base and Acid. Polymer 1986, 27, 899–904. [Google Scholar] [CrossRef]
- Li, Y.; Qian, R. Studies on the Chemical Compensation of Conducting Polypyrrole by NaOH Solution. Synth. Met. 1988, 26, 139–151. [Google Scholar] [CrossRef]
- Stejskal, J.; Trchová, M.; Bober, P.; Morávková, Z.; Kopecký, D.; Vrňata, M.; Prokeš, J.; Varga, M.; Watzlová, E. Polypyrrole Salts and Bases: Superior Conductivity of Nanotubes and Their Stability towards the Loss of Conductivity by Deprotonation. RSC Adv. 2016, 6, 88382–88391. [Google Scholar] [CrossRef]
- Lähdesmäki, I.; Kubiak, W.W.; Lewenstam, A.; Ivaska, A. Interferences in a Polypyrrole-Based Amperometric Ammonia Sensor. Talanta 2000, 52, 269–275. [Google Scholar] [CrossRef]
- Gustafsson, G.; Lundström, I.; Liedberg, B.; Wu, C.R.; Inganäs, O.; Wennerström, O. The Interaction between Ammonia and Poly(Pyrrole). Synth. Met. 1989, 31, 163–179. [Google Scholar] [CrossRef]
- Rawal, I.; Goyal, P.K. Effect of Ammonia Based Deprotonation on the Variable Range Hopping Conduction in Polypyrrole Nanotubes. Solid State Sci. 2020, 99, 105984. [Google Scholar] [CrossRef]
- Scott, D.; Cooney, M.J.; Liaw, B.Y. Sustainable Current Generation from the Ammonia–Polypyrrole Interaction. J. Mater. Chem. 2008, 18, 3216. [Google Scholar] [CrossRef]
- Bai, H.; Shi, G. Gas Sensors Based on Conducting Polymers. Sensors 2007, 7, 267–307. [Google Scholar] [CrossRef]
- Gleissner, C.; Bechtold, T.; Pham, T. Enhancing the Wettability of Fibre Surface: A Comparative Experimental Study of Different Surface Activation Principles on Single Polyamide Fibre. Fibers Polym. 2023, 24, 4241–4252. [Google Scholar] [CrossRef]
- Gleissner, C.; Biermaier, C.; Bechtold, T.; Pham, T. Complexation-Mediated Surface Modification of Polyamide-66 Textile to Enhance Electroless Copper Deposition. Mater. Chem. Phys. 2022, 288, 126383. [Google Scholar] [CrossRef]
- Biermaier, C.; Petz, P.; Bechtold, T.; Pham, T. Investigation of the Functional Ageing of Conductive Coated Fabrics under Simulated Washing Conditions. Materials 2023, 16, 912. [Google Scholar] [CrossRef]











| Concentration ppm | Vapour Pressure Pa | Concentration wt% |
|---|---|---|
| 0 | 0 | 0 |
| 20 | 1.61 | 12.8 |
| 50 | 4.02 | 15.1 |
| 100 | 8.05 | 16.6 |
Disclaimer/Publisher’s Note: The statements, opinions and data contained in all publications are solely those of the individual author(s) and contributor(s) and not of MDPI and/or the editor(s). MDPI and/or the editor(s) disclaim responsibility for any injury to people or property resulting from any ideas, methods, instructions or products referred to in the content. |
© 2024 by the authors. Licensee MDPI, Basel, Switzerland. This article is an open access article distributed under the terms and conditions of the Creative Commons Attribution (CC BY) license (https://creativecommons.org/licenses/by/4.0/).
Share and Cite
Gleissner, C.; Mayer, P.; Bechtold, T.; Pham, T. Multifunctional Polypyrrole-Based Textile Sensors for Integration into Personal Protection Equipment. Sensors 2024, 24, 1387. https://doi.org/10.3390/s24051387
Gleissner C, Mayer P, Bechtold T, Pham T. Multifunctional Polypyrrole-Based Textile Sensors for Integration into Personal Protection Equipment. Sensors. 2024; 24(5):1387. https://doi.org/10.3390/s24051387
Chicago/Turabian StyleGleissner, Carolin, Paul Mayer, Thomas Bechtold, and Tung Pham. 2024. "Multifunctional Polypyrrole-Based Textile Sensors for Integration into Personal Protection Equipment" Sensors 24, no. 5: 1387. https://doi.org/10.3390/s24051387
APA StyleGleissner, C., Mayer, P., Bechtold, T., & Pham, T. (2024). Multifunctional Polypyrrole-Based Textile Sensors for Integration into Personal Protection Equipment. Sensors, 24(5), 1387. https://doi.org/10.3390/s24051387

