On the Adaptive Buffer-Aided TDMA Uplink System with AoI-Aware Status-Update Services and Timely Throughput Traffics †
Abstract
1. Introduction
- •
- This paper considers a buffer-aided TDMA uplink system composed of status-update devices with average AoI requirements and throughput-demand devices with averaged sum-rate performance requirements. A joint-optimization problem was formulated to maximize the average sum rate of the throughput-demand devices and to minimize the average AoI of the status-update devices, subject to the data-queue state evolution constraint and peak transmit power constraint for both types of devices. By solving the joint-optimization problem with the Lyapunov optimization framework, we obtain two AoI-aware adaptive TDMA uplink schemes, namely the JOWAC scheme and the JO scheme.
- •
- Numerical results are presented to highlight that the JOWAC-based AoI-aware adaptive TDMA uplink scheme provides us with a feasible scheme to flexibly fulfill heterogeneous service requirements using status-update devices and throughput-demand devices. It is shown that when compared with the benchmark scheme [28], in which the maximum allowed AoI constraints are considered, the JOWAC can realize better average AoI performance. The realized AoI performance by the JO scheme also suggests that the maximum allowed AoI constraints by all status-update devices are critical for meeting the strict AoI requirements. Moreover, it is found that the AoI-aware design is more effective than the queue length-aware design in terms of the realized AoI performance.
2. System Model and Problem Formulation
2.1. System Model
2.2. Throughput-Demand Devices
2.3. Status-Update Devices
Age of Information
2.4. Problem Formulation
3. Adaptive Joint Optimization with AoI-Constrained Scheme Design
3.1. Lyapunov Optimization Framework
3.2. Flow Control Mechanism
3.3. Throughput-Demand Devices Transmission Mode
3.4. Status-Update Devices Mode
3.5. Heterogeneous Service Transmission Mode Selection
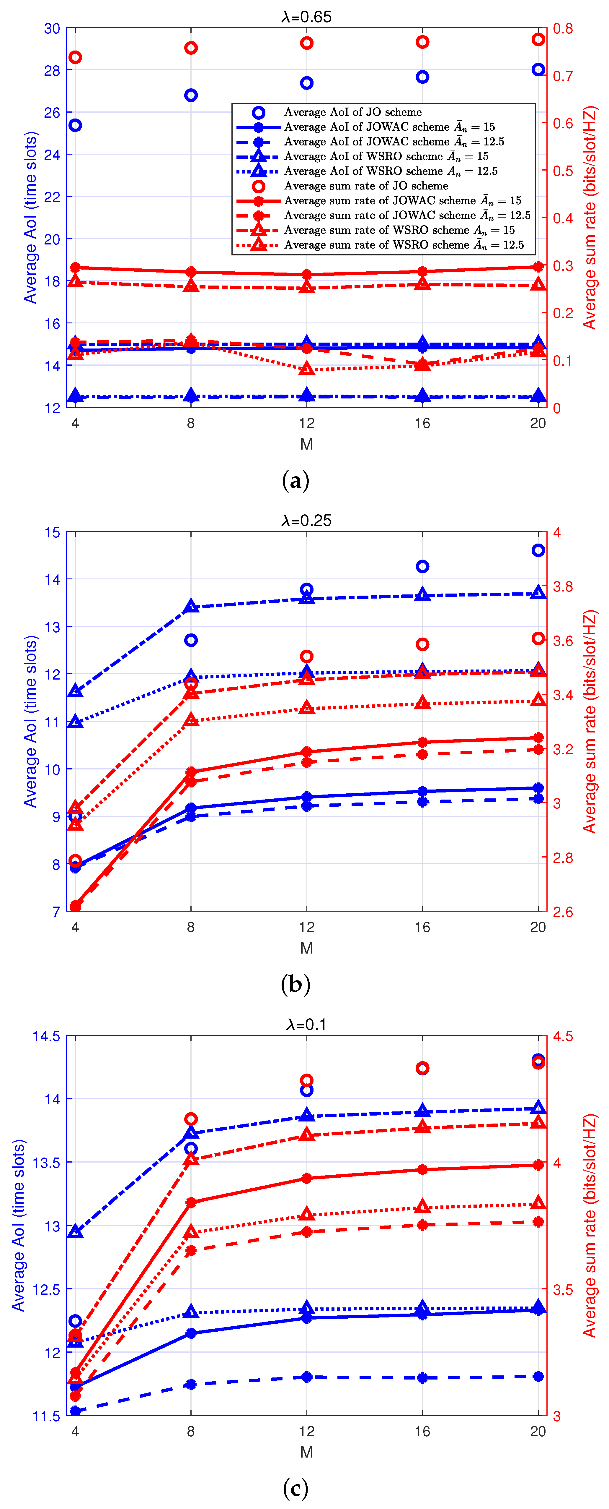
4. Numerical Results
5. Conclusions
Author Contributions
Funding
Institutional Review Board Statement
Informed Consent Statement
Data Availability Statement
Conflicts of Interest
Appendix A. Proof Theorem 1
Appendix B
References
- Shafi, M.; Molisch, A.F.; Smith, P.J.; Haustein, T.; Zhu, P.; De Silva, P.; Tufvesson, F.; Benjebbour, A.; Wunder, G.; Wunder, G.; et al. 5G: A Tutorial Overview of Standards, Trials, Challenges, Deployment, and Practice. IEEE J. Sel. Areas Commun. 2017, 35, 1201–1221. [Google Scholar] [CrossRef]
- Chettri, L.; Bera, R. A Comprehensive Survey on Internet of Things (IoT) Toward 5G Wireless Systems. IEEE Internet Things J. 2020, 7, 16–32. [Google Scholar] [CrossRef]
- Zhang, H.; Liu, N.; Chu, X.; Long, K.; Aghvami, A.-H.; Leung, V.C.M. Network Slicing Based 5G and Future Mobile Networks: Mobility, Resource Management, and Challenges. IEEE Commun. Mag. 2017, 55, 138–145. [Google Scholar] [CrossRef]
- Yates, R.D.; Sun, Y.; Brown, D.R.; Kaul, S.K.; Modiano, E.; Ulukus, S. Age of Information: An Introduction and Survey. IEEE J. Sel. Areas Commun. 2021, 39, 1183–1210. [Google Scholar] [CrossRef]
- Kosta, A.; Pappas, N.; Angelakis, V. Age of information: A new concept, metric, and tool. Found. Trends® Netw. 2017, 12, 162–259. [Google Scholar] [CrossRef]
- Qiao, D.; Gursoy, M.C. Age Minimization for Status Update Systems with Packet Based Transmissions over Fading Channels. In Proceedings of the 2019 11th International Conference on Wireless Communications and Signal Processing (WCSP), Xi’an, China, 23–25 October 2019. [Google Scholar]
- Muhammad, A.; Sorkhoh, I.; Samir, M.; Ebrahimi, D.; Assi, C. Minimizing Age of Information in Multiaccess-Edge-Computing-Assisted IoT Networks. IEEE Internet Things J. 2022, 9, 13052–13066. [Google Scholar] [CrossRef]
- Zhou, B.; Saad, W. Optimal Sampling and Updating for Minimizing Age of Information in the Internet of Things. In Proceedings of the 2018 IEEE Global Communications Conference (GLOBECOM), Abu Dhabi, United Arab Emirates, 9–13 December 2018. [Google Scholar]
- Sun, J.; Jiang, Z.; Zhou, S.; Niu, Z. Optimizing Information Freshness in Broadcast Network with Unreliable Links and Random Arrivals: An Approximate Index Policy. In Proceedings of the IEEE INFOCOM 2019—IEEE Conference on Computer Communications Workshops (INFOCOM WKSHPS), Paris, France, 29 April–2 May 2019. [Google Scholar]
- Wang, J.; Cao, T.; Wang, X.; Zhang, M.; Guan, J. Resource Scheduling in Vehicular Networks with Age of Information and Channel Awareness. In Proceedings of the 2022 IEEE/CIC International Conference on Communications in China (ICCC), Sanshui, Foshan, China, 11–13 August 2022. [Google Scholar]
- Huang, Y.; Wang, X.; Sun, X.; Chen, X. Timely Status Updating over Markov Channels in Downlink Wireless Networks with Stochastic Arrivals. In Proceedings of the 2021 IEEE 9th International Conference on Information, Communication and Networks (ICICN), Xi’an, China, 19–21 August 2021. [Google Scholar]
- Moltafet, M.; Leinonen, M.; Codreanu, M.; Pappas, N. Power Minimization in Wireless Sensor Networks with Constrained AoI Using Stochastic Optimization. In Proceedings of the 2019 53rd Asilomar Conference on Signals, Systems, and Computers, Pacific Grove, CA, USA, 3–6 November 2019. [Google Scholar]
- Wang, Y.; Yan, S.; Yang, W.; Cai, Y. Covert Communications with Constrained Age of Information. IEEE Wirel. Commun. Lett. 2021, 10, 368–372. [Google Scholar] [CrossRef]
- Gao, S.; Tao, M. Resource Allocation for AoI-Constrained V2V Communication in Finite Blocklength Regime. In Proceedings of the 2020 IEEE Wireless Communications and Networking Conference (WCNC), Seoul, Republic of Korea, 25–28 May 2020. [Google Scholar]
- Zhao, C.; Xu, S.; Ren, J. AoI-Aware Wireless Resource Allocation of Energy-Harvesting-Powered MEC Systems. IEEE Internet Things J. 2023, 10, 7835–7849. [Google Scholar] [CrossRef]
- Bhat, R.V.; Vaze, R.; Motani, M. Throughput Maximization with an Average Age of Information Constraint in Fading Channels. IEEE Trans. Wirel. Commun. 2021, 20, 481–494. [Google Scholar] [CrossRef]
- Kadota, I.; Sinha, A.; Modiano, E. Scheduling Algorithms for Optimizing Age of Information in Wireless Networks With Throughput Constraints. IEEE/ACM Trans. Netw. 2019, 27, 1359–1372. [Google Scholar] [CrossRef]
- Zhang, Q.; Cheng, N.; Sun, R.; Zhang, D. AoI-Oriented Context-Aware Priority Design and Vehicle Scheduling Strategy in Vehicular Networks. In Proceedings of the 2022 IEEE/CIC International Conference on Communications in China (ICCC Workshops), Foshan, China, 11–13 August 2022. [Google Scholar]
- Wu, Q.; Shi, S.; Wan, Z.; Fan, Q.; Fan, P.; Zhang, C. Towards V2I Age-Aware Fairness Access: A DQN Based Intelligent Vehicular Node Training and Test Method. Chin. J. Electron. 2023, 32, 1230–1244. [Google Scholar]
- Sun, J.; Wang, L.; Jiang, Z.; Zhou, S.; Niu, Z. Age-Optimal Scheduling for Heterogeneous Traffic with Timely Throughput Constraints. IEEE J. Sel. Areas Commun. 2021, 39, 1485–1498. [Google Scholar] [CrossRef]
- Fountoulakis, E.; Charalambous, T.; Ephremides, A.; Pappas, N. Scheduling Policies for AoI Minimization with Timely Throughput Constraints. IEEE Trans. Commun. 2023, 71, 3905–3917. [Google Scholar] [CrossRef]
- Lan, X.; Chen, Q.; Tang, X.; Cai, L. Achievable Rate Region of the Buffer-Aided Two-Way Energy Harvesting Relay Network. IEEE Trans. Veh. Technol. 2018, 67, 11127–11142. [Google Scholar] [CrossRef]
- Nie, Y.; Lan, X.; Liu, Y.; Chen, Q.; Chen, G.; Fan, L.; Tang, D. Achievable Rate Region of Energy-Harvesting Based Secure Two-Way Buffer-Aided Relay Networks. IEEE Trans. Inf. Forensics Secur. 2021, 16, 1610–1625. [Google Scholar] [CrossRef]
- Lan, X.; Chen, Q.; Cai, L.; Fan, L. Buffer-Aided Adaptive Wireless Powered Communication Network With Finite Energy Storage and Data Buffer. IEEE Trans. Wirel. Commun. 2019, 18, 5764–5779. [Google Scholar] [CrossRef]
- Ni, S.; Wang, T.; Wang, S.; Chen, Q. On the Wireless Powered Buffer-Aided Relay Communication with Imperfect CSI. In Proceedings of the 2023 8th International Conference on Computer and Communication Systems (ICCCS), Guangzhou, China, 21–24 April 2023. [Google Scholar]
- Lan, X.; Ren, J.; Chen, Q.; Cai, L. Achievable Secrecy Rate Region for Buffer-Aided Multiuser MISO Systems. IEEE Trans. Inf. Forensics Secur. 2020, 15, 3311–3324. [Google Scholar] [CrossRef]
- Wang, S.; Wang, T.; Zheng, L.; Chen, Q. Adaptive Buffer-aided Wireless Relay Communications with Mixed Status Update and Throughput Traffic. In Proceedings of the 2023 8th International Conference on Computer and Communication Systems (ICCCS), Guangzhou, China, 21–24 April 2023. [Google Scholar]
- Wang, T.; Wang, S.; Zheng, L.; Chen, Q. Adaptive Transmission Design in TDMA Uplink System with Status Update and Throughput Services. In Proceedings of the 2023 8th International Conference on Computer and Communication Systems (ICCCS), Guangzhou, China, 21–24 April 2023. [Google Scholar]






| Parameters | Statement | Statement |
|---|---|---|
| The weighting coefficients of virtual power queues and AoI virtual queues | ||
| The weighting coefficients of data queues | ||
| The average transmit power | 30 dBm | |
| The peak transmit power, where and | 300 dBm, 150 dBm | |
| Noise variances | dBm | |
| The transmission bandwidth of status-update devices | 1000 Hz | |
| The packet sizes of status-update devices | 1500 bits | |
| Distance from device to AP | 5 m | |
| path loss factor | 2 |
Disclaimer/Publisher’s Note: The statements, opinions and data contained in all publications are solely those of the individual author(s) and contributor(s) and not of MDPI and/or the editor(s). MDPI and/or the editor(s) disclaim responsibility for any injury to people or property resulting from any ideas, methods, instructions or products referred to in the content. |
© 2024 by the authors. Licensee MDPI, Basel, Switzerland. This article is an open access article distributed under the terms and conditions of the Creative Commons Attribution (CC BY) license (https://creativecommons.org/licenses/by/4.0/).
Share and Cite
Wang, T.; Chen, Q.; Wang, S.; Zheng, L. On the Adaptive Buffer-Aided TDMA Uplink System with AoI-Aware Status-Update Services and Timely Throughput Traffics. Sensors 2024, 24, 506. https://doi.org/10.3390/s24020506
Wang T, Chen Q, Wang S, Zheng L. On the Adaptive Buffer-Aided TDMA Uplink System with AoI-Aware Status-Update Services and Timely Throughput Traffics. Sensors. 2024; 24(2):506. https://doi.org/10.3390/s24020506
Chicago/Turabian StyleWang, Tianheng, Qingchun Chen, Shuo Wang, and Lei Zheng. 2024. "On the Adaptive Buffer-Aided TDMA Uplink System with AoI-Aware Status-Update Services and Timely Throughput Traffics" Sensors 24, no. 2: 506. https://doi.org/10.3390/s24020506
APA StyleWang, T., Chen, Q., Wang, S., & Zheng, L. (2024). On the Adaptive Buffer-Aided TDMA Uplink System with AoI-Aware Status-Update Services and Timely Throughput Traffics. Sensors, 24(2), 506. https://doi.org/10.3390/s24020506

