Data-Driven Structural Health Monitoring: Leveraging Amplitude-Aware Permutation Entropy of Time Series Model Residuals for Nonlinear Damage Diagnosis
Abstract
1. Introduction
2. Feature Extraction Using AR Models
2.1. AR Models
2.2. Testing AR Model Applicability
2.3. Determining AR Model Order
2.4. Extracting AR Residual Features
3. Nonlinear Damage Diagnosis Based on Amplitude-Aware Permutation Entropy of AR Model Residuals
3.1. Nonlinear Damage with Bilinear Stiffness
3.2. Damage Classifiers Using Statistical Features
3.3. Damage Classifiers Using Amplitude-Aware Permutation Entropy
3.3.1. Permutation Entropy
3.3.2. Amplitude-Aware Permutation Entropy
3.3.3. Selection of AAPE Parameters
3.3.4. Unsupervised Damage Diagnostic Process
4. Numerical Case
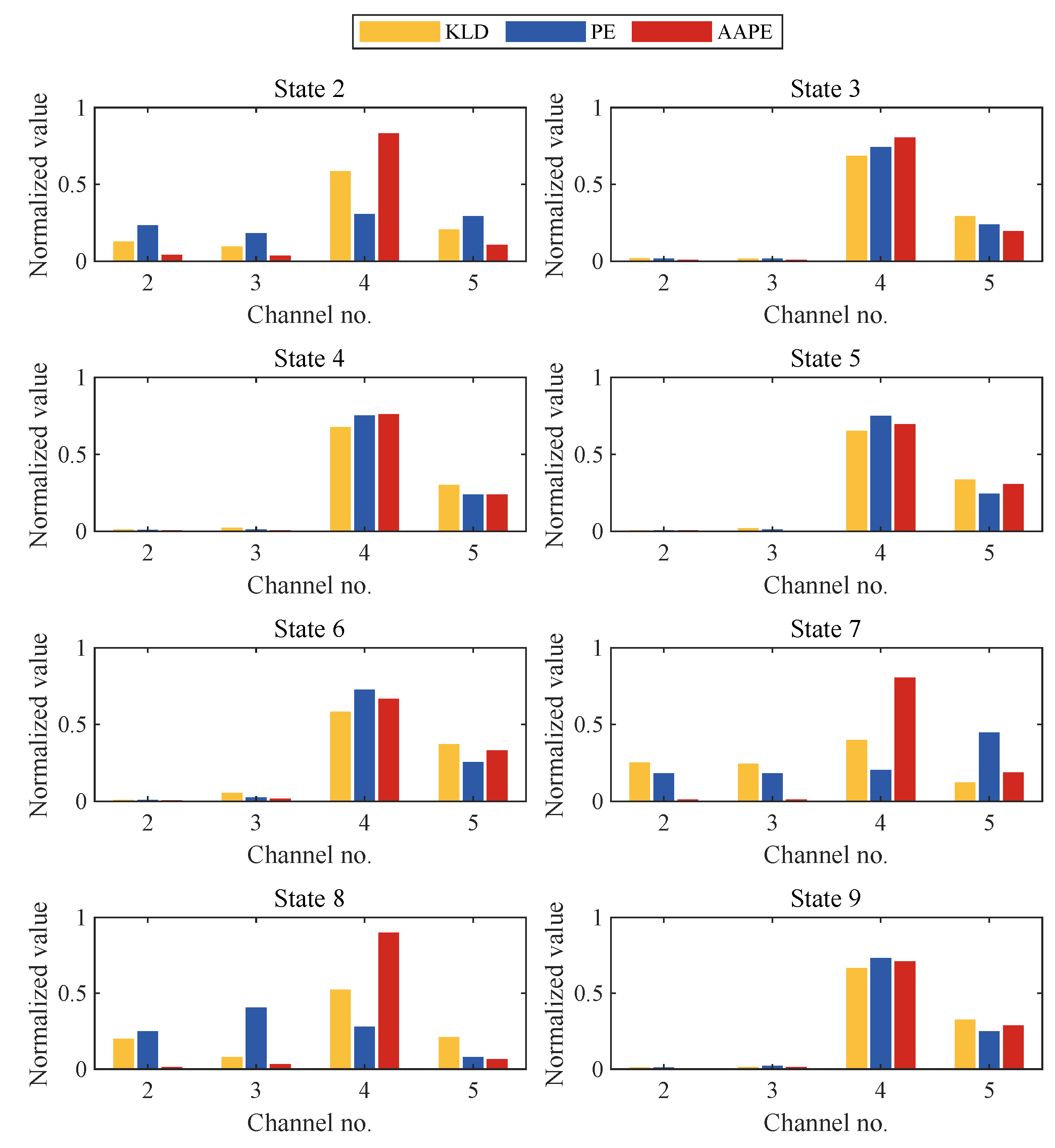
4.1. Introduction to the Six-Story Building Model
4.2. Nonlinear Damage Identification Process and Results
5. Experimental Case
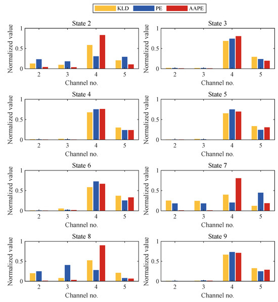
5.1. Three-Story Framework Experiment Structure
5.2. Nonlinear Damage Identification Process and Results
6. Discussion
- Nonlinear damage causes the AR model residuals to contain complex dynamical features such as harmonics or intermodulation distortion. AAPE can measure the complexity of the data, which is useful for identifying potential nonlinear behavior;
- Nonlinear damage leads to a gradual increase in the residual amplitude of the AR model. The AAPE captures changes in the amplitude difference and mean value of adjacent samples of the residual signal, which is more sensitive to the amplitude characteristics of the signal.
7. Conclusions
- The proposed approach applies to diagnosing structural nonlinear damage caused by fatigue cracks. The method has a high sensitivity to minor nonlinear damage and good robustness to measurement noise. Therefore, the method can be used for early damage diagnosis at low nonlinear damage levels;
- The proposed method has the ability to accurately localize damage. In the vicinity of the damaged floor, the damage classifiers are significantly higher than those of other floors. The method also provides accurate information about the location of the damage, even when minor damage scenarios are involved;
- The proposed method is applicable to parallel and distributed sensor systems with unsupervised learning. It can effectively detect and localize nonlinear damage sources even in the presence of linear variations in structural mass, which is beneficial for practical applications;
- Only univariate nonlinear damage classifiers are compared and analyzed. Future research will consider a hybrid distance method using AAPE and compare it with existing methods in a more realistic structure;
- This paper focuses on structural scenarios with a single source of damage, whereas multiple sources of damage may exist in real structures. The challenges posed by multiple sources of damage and different nonlinear damage types will be considered in subsequent studies.
Author Contributions
Funding
Institutional Review Board Statement
Informed Consent Statement
Data Availability Statement
Conflicts of Interest
References
- Farrar, C.R.; Worden, K. An introduction to structural health monitoring. Philos. Trans. R. Soc. Math. Phys. Eng. Sci. 2007, 365, 303–315. [Google Scholar] [CrossRef]
- Lyngdoh, G.; Doner, S.; Yuan, R.; Chelidze, D. Experimental monitoring and modeling of fatigue damage for 3D-printed polymeric beams under irregular loading. Int. J. Mech. Sci. 2022, 233, 107626. [Google Scholar]
- Farrar, C.R.; Worden, K. Structural Health Monitoring: A Machine Learning Perspective; John Wiley & Sons: Hoboken, NJ, USA, 2012. [Google Scholar]
- Hou, R.; Xia, Y. Review on the new development of vibration-based damage identification for civil engineering structures: 2010–2019. J. Sound Vib. 2021, 491, 115741. [Google Scholar] [CrossRef]
- Ghannadi, P.; Kourehli, S.S.; Nguyen, A. The Differential Evolution Algorithm: An Analysis of More than Two Decades of Application in Structural Damage Detection (2001–2022). In Data Driven Methods for Civil Structural Health Monitoring and Resilience; CRC Press: Boca Raton, FL, USA, 2024; pp. 14–57. [Google Scholar]
- Entezami, A. Structural Health Monitoring by Time Series Analysis and Statistical Distance Measures; Springer: Berlin/Heidelberg, Germany, 2021. [Google Scholar]
- Li, Z.; Lin, W.; Zhang, Y. Drive-by bridge damage detection using Mel-frequency cepstral coefficients and support vector machine. Struct. Health Monit. 2023, 22, 3302–3319. [Google Scholar] [CrossRef]
- Simoen, E.; De Roeck, G.; Lombaert, G. Dealing with uncertainty in model updating for damage assessment: A review. Mech. Syst. Signal Process. 2015, 56, 123–149. [Google Scholar] [CrossRef]
- Hou, J.; Li, Z.; Zhang, Q.; Jankowski, Ł.; Zhang, H. Local mass addition and data fusion for structural damage identification using approximate models. Int. J. Struct. Stab. Dyn. 2020, 20, 2050124. [Google Scholar] [CrossRef]
- Zuo, H.; Guo, H. Structural nonlinear damage identification based on Bayesian optimization GNAR/GARCH model and its experimental study. Structures 2022, 45, 867–885. [Google Scholar] [CrossRef]
- Peng, Z.; Lang, Z.; Wolters, C.; Billings, S.; Worden, K. Feasibility study of structural damage detection using NARMAX modelling and nonlinear output frequency response function based analysis. Mech. Syst. Signal Process. 2011, 25, 1045–1061. [Google Scholar] [CrossRef]
- Lv, Z.; Huang, H.Z.; Zhu, S.P.; Gao, H.; Zuo, F. A modified nonlinear fatigue damage accumulation model. Int. J. Damage Mech. 2015, 24, 168–181. [Google Scholar] [CrossRef]
- Lai, Z.; Nagarajaiah, S. Semi-supervised structural linear/nonlinear damage detection and characterization using sparse identification. Struct. Control. Health Monit. 2019, 26, e2306. [Google Scholar] [CrossRef]
- Worden, K.; Farrar, C.R.; Haywood, J.; Todd, M. A review of nonlinear dynamics applications to structural health monitoring. Struct. Control. Monit. 2008, 15, 540–567. [Google Scholar] [CrossRef]
- Peng, Z.; Li, J.; Hao, H.; Li, C. Nonlinear structural damage detection using output-only Volterra series model. Struct. Control. Health Monit. 2021, 28, e2802. [Google Scholar] [CrossRef]
- Chelidze, D.; Cusumano, J.P. A dynamical systems approach to failure prognosis. J. Vib. Acoust. 2004, 126, 2–8. [Google Scholar] [CrossRef]
- Zhang, C.; Mousavi, A.A.; Masri, S.F.; Gholipour, G.; Yan, K.; Li, X. Vibration feature extraction using signal processing techniques for structural health monitoring: A review. Mech. Syst. Signal Process. 2022, 177, 109175. [Google Scholar] [CrossRef]
- Kopsaftopoulos, F.P.; Fassois, S.D. Vibration based health monitoring for a lightweight truss structure: Experimental assessment of several statistical time series methods. Mech. Syst. Signal Process. 2010, 24, 1977–1997. [Google Scholar] [CrossRef]
- Mattson, S.G.; Pandit, S.M. Statistical moments of autoregressive model residuals for damage localisation. Mech. Syst. Signal Process. 2006, 20, 627–645. [Google Scholar] [CrossRef]
- Chegeni, M.H.; Sharbatdar, M.K.; Mahjoub, R.; Raftari, M. New supervised learning classifiers for structural damage diagnosis using time series features from a new feature extraction technique. Earthq. Eng. Eng. Vib. 2022, 21, 169–191. [Google Scholar] [CrossRef]
- Entezami, A.; Shariatmadar, H. An unsupervised learning approach by novel damage indices in structural health monitoring for damage localization and quantification. Struct. Health Monit. 2018, 17, 325–345. [Google Scholar] [CrossRef]
- Entezami, A.; Shariatmadar, H.; Mariani, S. Early damage assessment in large-scale structures by innovative statistical pattern recognition methods based on time series modeling and novelty detection. Adv. Eng. Softw. 2020, 150, 102923. [Google Scholar] [CrossRef]
- Daneshvar, M.H.; Gharighoran, A.; Zareei, S.A.; Karamodin, A. Structural health monitoring using high-dimensional features from time series modeling by innovative hybrid distance-based methods. J. Civ. Struct. Health Monit. 2021, 11, 537–557. [Google Scholar] [CrossRef]
- Daneshvar, M.H.; Gharighoran, A.; Zareei, S.A.; Karamodin, A. Early damage detection under massive data via innovative hybrid methods: Application to a large-scale cable-stayed bridge. Struct. Infrastruct. Eng. 2021, 17, 902–920. [Google Scholar] [CrossRef]
- Cheng, J.; Guo, H.; Wang, Y. Structural nonlinear damage detection method using AR/ARCH model. Int. J. Struct. Stab. Dyn. 2017, 17, 1750083. [Google Scholar] [CrossRef]
- Zuo, H.; Guo, H. Structural Nonlinear Damage Identification Method Based on the Kullback–Leibler Distance of Time Domain Model Residuals. Remote Sens. 2023, 15, 1135. [Google Scholar] [CrossRef]
- Wang, J.; Lu, G.; Song, H.; Wang, T.; Yang, D. Damage identification of thin plate-like structures combining improved singular spectrum analysis and multiscale cross-sample entropy (ISSA-MCSEn). Smart Mater. Struct. 2023, 32, 034001. [Google Scholar] [CrossRef]
- Lin, T.K.; Liang, J.C. Application of multi-scale (cross-) sample entropy for structural health monitoring. Smart Mater. Struct. 2015, 24, 085003. [Google Scholar] [CrossRef]
- Wang, F.; Chen, Z.; Song, G. Monitoring of multi-bolt connection looseness using entropy-based active sensing and genetic algorithm-based least square support vector machine. Mech. Syst. Signal Process. 2020, 136, 106507. [Google Scholar] [CrossRef]
- Soofi, Y.J.; Bitaraf, M. Output-only entropy-based damage detection using transmissibility function. J. Civ. Struct. Health Monit. 2021, 12, 191–205. [Google Scholar] [CrossRef]
- Ceravolo, R.; Lenticchia, E.; Miraglia, G. Spectral entropy of acceleration data for damage detection in masonry buildings affected by seismic sequences. Constr. Build. Mater. 2019, 210, 525–539. [Google Scholar] [CrossRef]
- Pimentel, M.A.; Clifton, D.A.; Clifton, L.; Tarassenko, L. A review of novelty detection. Signal Process. 2014, 99, 215–249. [Google Scholar] [CrossRef]
- Wang, F.; Ho, S.C.M.; Song, G. Monitoring of early looseness of multi-bolt connection: A new entropy-based active sensing method without saturation. Smart Mater. Struct. 2019, 28, 10LT01. [Google Scholar] [CrossRef]
- Li, N.; Wang, F.; Song, G. New entropy-based vibro-acoustic modulation method for metal fatigue crack detection: An exploratory study. Measurement 2020, 150, 107075. [Google Scholar] [CrossRef]
- Chen, L.; Fu, J.; Mei, Y.; Huang, D.; Ng, C.T.; Yao, H. Effects of operational variability and damage on structural response signals: A method based on LMS radar image and residual-permutation entropy. Eng. Struct. 2022, 265, 114479. [Google Scholar] [CrossRef]
- Azami, H.; Escudero, J. Amplitude-aware permutation entropy: Illustration in spike detection and signal segmentation. Comput. Methods Programs Biomed. 2016, 128, 40–51. [Google Scholar] [CrossRef] [PubMed]
- Gaudêncio, A.S.; Hilal, M.; Cardoso, J.M.; Humeau-Heurtier, A.; Vaz, P.G. Texture analysis using two-dimensional permutation entropy and amplitude-aware permutation entropy. Pattern Recognit. Lett. 2022, 159, 150–156. [Google Scholar] [CrossRef]
- Wang, P.; Chen, M.; Wang, J.; Deng, X.; Chen, Z. Auditory-Based Multi-Scale Amplitude-Aware Permutation Entropy as a Measure for Feature Extraction of Ship Radiated Noise. In Proceedings of the 2022 IEEE 6th Advanced Information Technology, Electronic and Automation Control Conference (IAEAC), Beijing, China, 3–5 October 2022; pp. 1550–1555. [Google Scholar]
- Niemczyk, L.; Buszko, K.; Schneditz, D.; Wojtecka, A.; Romejko, K.; Saracyn, M.; Niemczyk, S. Cardiovascular response to intravenous glucose injection during hemodialysis with assessment of entropy alterations. Nutrients 2022, 14, 5362. [Google Scholar] [CrossRef] [PubMed]
- Li, G.; Bu, W.; Yang, H. Research on noise reduction method for ship radiate noise based on secondary decomposition. Ocean. Eng. 2023, 268, 113412. [Google Scholar] [CrossRef]
- Li, Z.; Li, L.; Chen, R.; Zhang, Y.; Cui, Y.; Wu, N. A novel scheme based on modified hierarchical time-shift multi-scale amplitude-aware permutation entropy for rolling bearing condition assessment and fault recognition. Measurement 2023, 224, 113907. [Google Scholar] [CrossRef]
- Chen, Y.; Zhang, T.; Zhao, W.; Luo, Z.; Lin, H. Rotating machinery fault diagnosis based on improved multiscale amplitude-aware permutation entropy and multiclass relevance vector machine. Sensors 2019, 19, 4542. [Google Scholar] [CrossRef]
- Farrar, C.R.; Worden, K.; Todd, M.D.; Park, G.; Nichols, J.; Adams, D.E.; Bement, M.T.; Farinholt, K. Nonlinear System Identification FOR Damage Detection; Technical Report; Los Alamos National Lab. (LANL): Los Alamos, NM, USA, 2007.
- Zhang, X.; Li, L. An unsupervised learning damage diagnosis method based on virtual impulse response function and time series models. Measurement 2023, 211, 112635. [Google Scholar] [CrossRef]
- Prawin, J.; Rao, A.R.M. Damage detection in nonlinear systems using an improved describing function approach with limited instrumentation. Nonlinear Dyn. 2019, 96, 1447–1470. [Google Scholar] [CrossRef]
- Rébillat, M.; Hajrya, R.; Mechbal, N. Nonlinear structural damage detection based on cascade of Hammerstein models. Mech. Syst. Signal Process. 2014, 48, 247–259. [Google Scholar] [CrossRef]
- Figueiredo, E.; Park, G.; Figueiras, J.; Farrar, C.; Worden, K. Structural Health Monitoring Algorithm Comparisons Using Standard Data Sets; Technical Report; Los Alamos National Lab. (LANL): Los Alamos, NM, USA, 2009.
- Entezami, A.; Shariatmadar, H. Damage localization under ambient excitations and non-stationary vibration signals by a new hybrid algorithm for feature extraction and multivariate distance correlation methods. Struct. Health Monit. 2019, 18, 347–375. [Google Scholar] [CrossRef]
- Roy, K.; Bhattacharya, B.; Ray-Chaudhuri, S. ARX model-based damage sensitive features for structural damage localization using output-only measurements. J. Sound Vib. 2015, 349, 99–122. [Google Scholar] [CrossRef]
- Umar, S.; Vafaei, M.; Alih, S.C. Sensor clustering-based approach for structural damage identification under ambient vibration. Autom. Constr. 2021, 121, 103433. [Google Scholar] [CrossRef]















| States | Description |
|---|---|
| State 1 | Undamaged baseline condition |
| State 2 | Damage in the third story, d = 0.2 mm |
| State 3 | Damage in the third story, d = 0.12 mm |
| State 4 | Damage in the third story, d = 0.08 mm |
| State 5 | Damage in the third story, d = 0.05 mm |
| State 6 | Damage in the sixth story, d = 0.08 mm |
| State 7 | Damage in the sixth story, d = 0.03 mm |
| State 8 | Damage in the sixth story, d = 0.023 mm |
| State 9 | Damage in the sixth story, d = 0.015 mm |
| States | Description |
|---|---|
| State 1 | Undamaged baseline condition |
| State 2 | Gap = 0.20 mm |
| State 3 | Gap = 0.15 mm |
| State 4 | Gap = 0.13 mm |
| State 5 | Gap = 0.10 mm |
| State 6 | Gap = 0.05 mm |
| State 7 | Base adds 1.2 kg mass and 0.20 mm gap |
| State 8 | 1st-floor slab add 1.2 kg mass with 0.20 mm gap |
| State 9 | 1st-floor slab add 1.2 kg mass with 0.10 mm gap |
Disclaimer/Publisher’s Note: The statements, opinions and data contained in all publications are solely those of the individual author(s) and contributor(s) and not of MDPI and/or the editor(s). MDPI and/or the editor(s) disclaim responsibility for any injury to people or property resulting from any ideas, methods, instructions or products referred to in the content. |
© 2024 by the authors. Licensee MDPI, Basel, Switzerland. This article is an open access article distributed under the terms and conditions of the Creative Commons Attribution (CC BY) license (https://creativecommons.org/licenses/by/4.0/).
Share and Cite
Zhang, X.; Li, L.; Qu, G. Data-Driven Structural Health Monitoring: Leveraging Amplitude-Aware Permutation Entropy of Time Series Model Residuals for Nonlinear Damage Diagnosis. Sensors 2024, 24, 505. https://doi.org/10.3390/s24020505
Zhang X, Li L, Qu G. Data-Driven Structural Health Monitoring: Leveraging Amplitude-Aware Permutation Entropy of Time Series Model Residuals for Nonlinear Damage Diagnosis. Sensors. 2024; 24(2):505. https://doi.org/10.3390/s24020505
Chicago/Turabian StyleZhang, Xuan, Luyu Li, and Gaoqiang Qu. 2024. "Data-Driven Structural Health Monitoring: Leveraging Amplitude-Aware Permutation Entropy of Time Series Model Residuals for Nonlinear Damage Diagnosis" Sensors 24, no. 2: 505. https://doi.org/10.3390/s24020505
APA StyleZhang, X., Li, L., & Qu, G. (2024). Data-Driven Structural Health Monitoring: Leveraging Amplitude-Aware Permutation Entropy of Time Series Model Residuals for Nonlinear Damage Diagnosis. Sensors, 24(2), 505. https://doi.org/10.3390/s24020505

