Metamaterial Broadband Absorber Induced by Synergistic Regulation of Temperature and Electric Field and Its Optical Switching Application
Abstract
1. Introduction
2. Materials and Methods
- (1)
- It is assumed that the temperature of the external environment is the temperature of VO2.
- (2)
- It is assumed that changes in the ambient temperature will not cause changes in the properties of materials other than VO2.
- (3)
- It is assumed that the two VO2 layers have the same temperature.
- (4)
- It is assumed that the voltage applied to the ionized gel will not cause changes in the properties of materials other than graphene.
- (5)
- It is assumed that the MA does not generate heat after absorbing electromagnetic waves.
- (6)
- It is assumed that the conductivity of the interband portion of the graphene surface is negligible.
3. Results
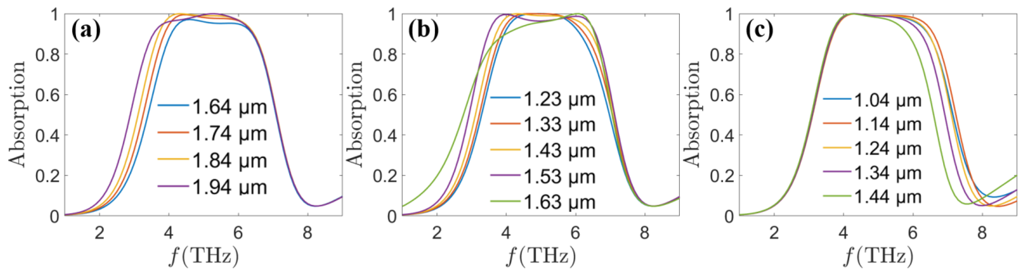
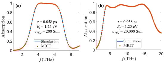
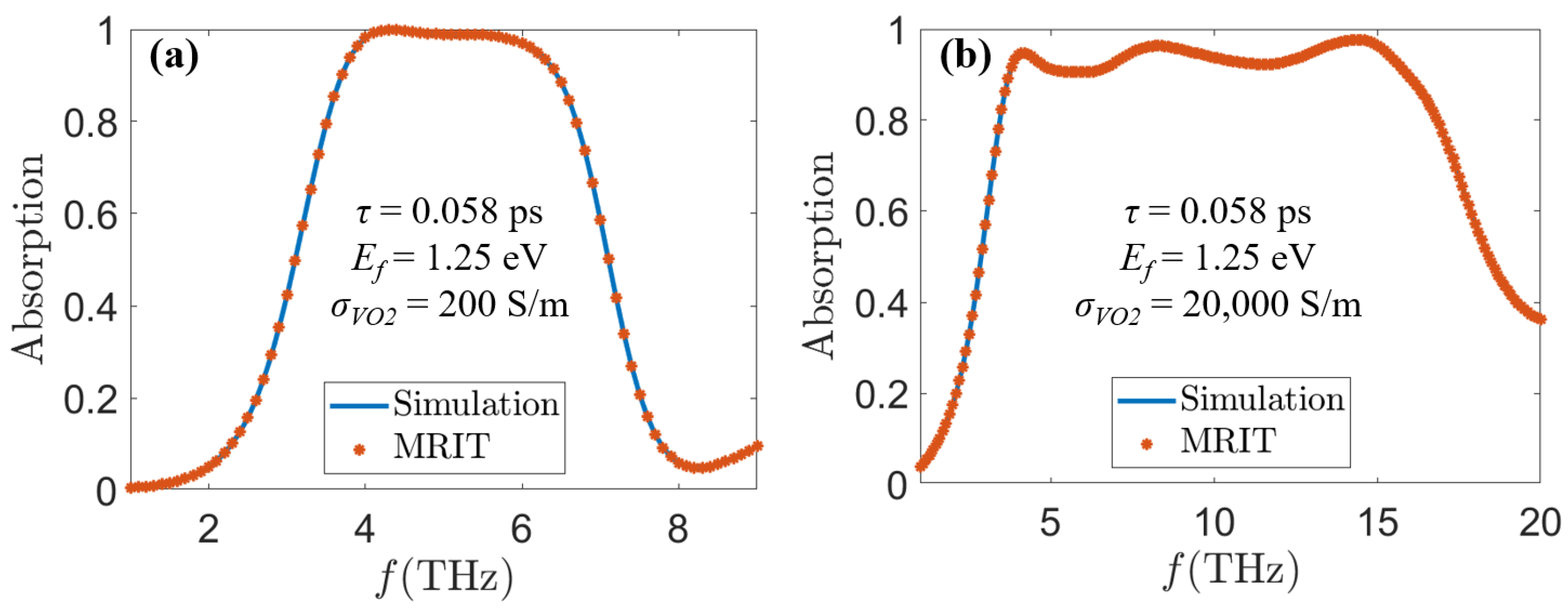
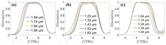
3.1. MA Performance Analysis
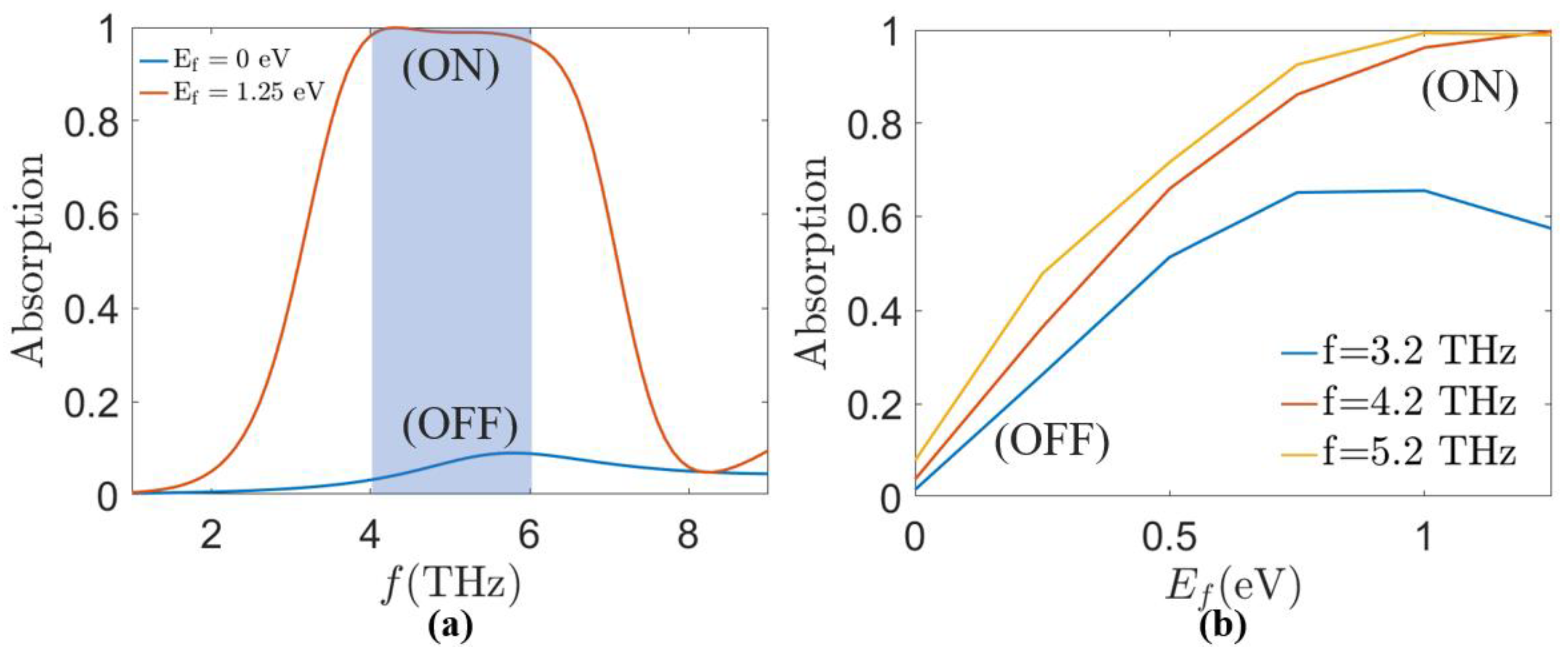
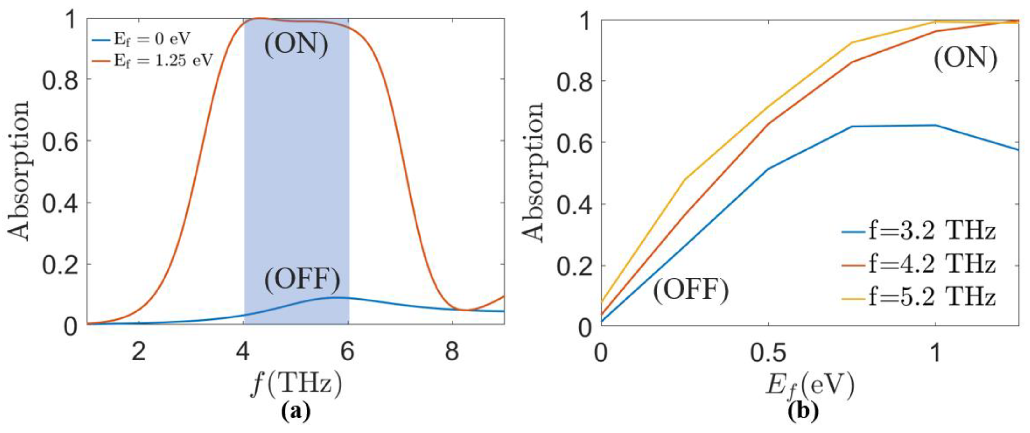
3.2. Optical Switch Performance Analysis
4. Conclusions
Author Contributions
Funding
Institutional Review Board Statement
Informed Consent Statement
Data Availability Statement
Conflicts of Interest
References
- Landy, N.I.; Sajuyigbe, S.; Mock, J.J.; Smith, D.R.; Padilla, W.J. Perfect metamaterial absorber. Phys. Rev. Lett. 2008, 100, 207402. [Google Scholar] [CrossRef] [PubMed]
- Yang, H.H.; Cao, X.Y.; Gao, J.; Liu, T.; Li, S.J.; Zhao, Y.; Yuan, Z.D.; Zhang, H. Broadband low-RCS metamaterial absorber based on electromagnetic resonance separation. Phys. Rev. Lett. 2013, 62, 214101. [Google Scholar]
- Liu, T.; Cao, X.Y.; Gao, J.; Zheng, Q.R.; Li, W.Q.; Yang, H.H. RCS Reduction of Waveguide Slot Antenna with Metamaterial Absorber. IEEE Trans. Antennas Propag. 2013, 61, 1479–1484. [Google Scholar] [CrossRef]
- Zou, Y.K.; Kong, X.K.; Xing, L.; Jiang, S.L.; Wang, X.M.; Wang, H.; Liu, Z.M.; Zhao, Y.J.; Bornemann, J. A Slot Antenna Array With Reconfigurable RCS Using Liquid Absorber. IEEE Trans. Antenn. Propag. 2022, 70, 6095–6100. [Google Scholar] [CrossRef]
- Tian, X.Y.; Qiu, X.J.; Li, H.; Lu, J.J.; Yang, C.Y. Dynamically light-switched polarization-sensitive absorber based on semiconductor-incorporated metamaterial structure. Opt. Mater. Express 2024, 149, 115139. [Google Scholar] [CrossRef]
- Shi, Y.C.; Chen, X.; Lou, F.; Chen, Y.T.; Yan, M.; Wosinski, L.C.; Qiu, M. All-optical switching of silicon disk resonator based on photothermal effect in metal–insulator–metal absorber. Opt. Lett. 2014, 39, 4431–4434. [Google Scholar] [CrossRef] [PubMed]
- Lu, X.R.; Chen, J.; Huang, Y.Q.; Wu, Z.X.; Zhang, A.X. Design of Ultra-wideband and Transparent absorber based on Resistive Films. Appl. Comput. Electrom. 2019, 34, 765–770. [Google Scholar]
- Jing, H.H.; Wei, Y.Q.; Kang, J.F.; Song, C.W.; Deng, H.; Duan, J.P.; Qu, Z.; Wang, J.Y.; Zhang, B.Z. An optically transparent flexible metasurface absorber with broadband radar absorption and low infrared emissivity. J. Phys. D Appl. Phys. 2023, 56, 115103. [Google Scholar] [CrossRef]
- Pang, H.Z.; Wang, X.; Wang, J.L.; Wang, Z.L.; Liu, S.Y.; Tian, H.Q. Sensing characteristics of dual band terahertz metamaterial absorber sensor. Acta Phys. Sin. 2021, 70, 168101. [Google Scholar] [CrossRef]
- Li, Y.L.; An, B.W.; Jiang, S.M.; Gao, J.; Chen, Y.L.; Pan, S.D. Plasmonic induced triple-band absorber for sensor application. Opt. Express 2015, 23, 17607–17612. [Google Scholar] [CrossRef]
- Zhang, H.B.; Deng, L.W.; Zhou, P.H.; Zhang, L.; Cheng, D.M.; Chen, H.Y.; Liang, D.F.; Deng, L.J. Low frequency needlepoint-shape metamaterial absorber based on magnetic medium. J. Appl. Phys. 2013, 113, 013903. [Google Scholar] [CrossRef]
- Zhu, W.R.; Zhao, X.P.; Gong, B.Y.; Liu, L.H.; Su, B. Optical metamaterial absorber based on leaf-shaped cells. Appl. Phys. A 2011, 102, 147–151. [Google Scholar] [CrossRef]
- Wang, B.N.; Koschny, T.; Soukoulis, C.M. Wide-angle and polarization-independent chiral metamaterial absorber. Phys. Rev. B 2009, 80, 033108. [Google Scholar] [CrossRef]
- Peng, X.Y.; Wang, B.; Lai, S.M.; Zhang, D.H.; Teng, J.H. Ultrathin multi-band planar metamaterial absorber based on standing wave resonances. Opt. Express 2012, 20, 27756–27765. [Google Scholar] [CrossRef] [PubMed]
- Zhang, Y.P.; Zhao, X.P.; Bao, S.; Luo, C.R. Dendritic metamaterial absorber based on the impedance matching. Acta Phys. Sin. 2010, 59, 6078–6083. [Google Scholar] [CrossRef]
- Sohrab, P.; Atlasbaf, Z. A Circuit Analog Absorber with Optimum Thickness and Response in X-Band. IEEE Antennas Wirel. Propag. Lett. 2013, 12, 276–279. [Google Scholar] [CrossRef]
- Shi, X.Z.; Zang, X.F.; Wang, Y.Q.; Chen, L.; Cai, B.; Zhu, Y.M. A polarization-independent broadband terahertz absorber. Appl. Phys. Lett. 2014, 105, 031104. [Google Scholar] [CrossRef]
- Lai, S.F.; Wu, Y.H.; Zhu, X.B.; Gu, W.H.; Wu, W. An Optically Transparent Ultrabroadband Microwave Absorber. IEEE Photon. J. 2017, 9, 5503310. [Google Scholar] [CrossRef]
- Bai, J.J.; Shen, W.; Shi, J.; Xu, W.; Zhang, S.S.; Chang, S.J. A Non-Volatile Tunable Terahertz Metamaterial Absorber Using Graphene Floating Gate. Micromachines 2021, 12, 333. [Google Scholar] [CrossRef]
- Yang, G.S.; Yan, F.P.; Du, X.M.; Li, T.; Wang, W.; Lv, Y.L.; Zhou, H.; Hou, Y.F. Tunable broadband terahertz metamaterial absorber based on vanadium dioxide. AIP Adv. 2022, 12, 045219. [Google Scholar] [CrossRef]
- He, X.J.; Wang, D.J.; Jiang, J.X.; Lu, G.J.; Yao, Y.T.; Gao, Y.C.; Yang, Y.Q. Multidimensional manipulation of broadband absorption with dual-controlled terahertz metamaterial absorbers. Diam. Relat. Mater. 2022, 125, 108977. [Google Scholar] [CrossRef]
- Zakir, S.; Bilal, R.M.H.; Naveed, M.A.; Baqir, M.A.; Khan, M.U.A.; Ali, M.M.; Saeed, M.A.; Mehmood, M.Q.; Massoud, Y. Polarization-Insensitive, Broadband, and Tunable Terahertz Absorber Using Slotted-Square Graphene Meta-Rings. IEEE Photon. J. 2023, 15, 4600108. [Google Scholar] [CrossRef]
- Wang, D.J.; He, X.J.; Jiang, J.X.; Yao, Y.T.; Lu, G.J. Photoelectrically-excited terahertz metasurface for switchable and tunable broadband propagation and polarization manipulations. Diam. Relat. Mater. 2023, 131, 109570. [Google Scholar] [CrossRef]
- Li, T.; Chen, H.; Zhang, F.Q.; Zhang, J.; Wang, Z.L. An ultra-broadband terahertz absorber at high terahertz frequency. Opt. Quant. Electron. 2022, 54, 859. [Google Scholar] [CrossRef]
- Fu, M.X.; Xia, N.; Duan, Y.L.; Zhou, F.; Li, Y.S. Tunable broadband terahertz absorber based on graphene with bilayer hexagonal. AIP Adv. 2024, 14, 025210. [Google Scholar] [CrossRef]
- Pan, Y.X.; Dong, J.; Wang, M.; Luo, H. Design of tunable ultra-wideband metasurface absorber with pixelated checkerboard pattern based on BGWO. Results Phys. 2024, 57, 107376. [Google Scholar] [CrossRef]
- Ri, K.J.; Kang, R.J.; Ri, C.H. Tunable ultra-broadband terahertz metamaterial absorbers based on complementary split ring-shaped graphene. AIP Adv. 2024, 14, 055301. [Google Scholar] [CrossRef]
- Zhu, Y.X.; Niu, H.J.; Li, Y.H.; Lv, T.G.; Li, H.F.; Fan, X.Y.; Bai, C.L. Tunable metamaterial broadband perfect absorber based on double-layer graphene nanofilm. Opt. Mater. Express 2024, 149, 115085. [Google Scholar] [CrossRef]
- Weng, X.H.; Yan, D.X.; Qiu, Y.; Li, X.J.; Zhang, L.; Li, J.N. Realization of multifunctional transformation based on the vanadium dioxide-assisted metamaterial structure. Phys. Chem. Chem. Phys. 2024, 26, 8247–8254. [Google Scholar] [CrossRef]
- Huang, Z.T.; Jiang, H.Y.; Wang, Z.Y.; Qing, Y.M.; Li, B.X. Thermally-Electrically Tunable Graphene-Based Guided-Mode Resonant Perfect Absorber. IEEE Photonics Technol. Lett. 2024, 35, 175–178. [Google Scholar] [CrossRef]
- Patel, S.K.; Sorathiya, V.; Lavadiya, S.; Thomas, L.; Nguyen, T.K.; Dhasarathan, V. Multi-layered Graphene Silica-Based Tunable Absorber for Infrared Wavelength Based on Circuit Theory Approach. Plasmonics 2020, 15, 1767–1779. [Google Scholar] [CrossRef]
- Du, X.M.; Yan, F.P.; Wang, W.; Tan, S.Y.; Zhang, L.N.; Bai, Z.Y.; Zhou, H.; Hou, Y.F. Graphene-embedded broadband tunable metamaterial absorber in terahertz band. J. Opt. 2020, 22, 015102. [Google Scholar] [CrossRef]
- Dicken, M.J.; Aydin, K.; Pryce, I.M.; Sweatlock, L.A.; Boyd, E.M.; Walavalkar, S.; Ma, J.; Atwater, H.A. Frequency tunable near-infrared metamaterials based on VO2 phase transition. Opt. Express 2009, 17, 18330–18339. [Google Scholar] [CrossRef] [PubMed]
- Kim, Y.; Wu, P.C.; Sokhoyan, R.; Mauser, K.; Glaudell, R.; Shirmanesh, G.K.; Atwater, H.A. Phase modulation with electrically tunable vanadium dioxide phase-change metasurfaces. Nano Lett. 2019, 19, 3961–3968. [Google Scholar] [CrossRef]
- Liu, H.; Lu, J.; Wang, X.R. Metamaterials based on the phase transition of VO2. Nanotechnology 2018, 29, 024002. [Google Scholar] [CrossRef]
- Liu, X.; Xia, F.; Wang, M.; Liang, J.; Yun, M. Working Mechanism and Progress of Electromagnetic Metamaterial Perfect Absorber. Photonics 2023, 10, 205. [Google Scholar] [CrossRef]
- Tian, X.L.; Zhang, H.F.; Kong, X.R. An Angle-Insensitive Metamaterial Absorber Based on the Gravity Field Regulation. Plasmonics 2020, 15, 517–523. [Google Scholar] [CrossRef]
- Qi, L.; Liu, C.; Shah, S.M.A. A broad dual-band switchable graphene-based terahertz metamaterial absorber. Carbon 2019, 153, 179–188. [Google Scholar] [CrossRef]
- Li, J.S.; Yan, D.X.; Sun, J.Z. Flexible dual-band all-graphene dielectric terahertz absorber. Opt. Mater. Express 2019, 9, 2067–2075. [Google Scholar] [CrossRef]
- Lv, Y.S.; Tian, J.P.; Yang, R.C. Multiband tunable perfect metamaterial absorber realized by different graphene patterns. J. Opt. Soc. Am. B 2021, 38, 2409–2418. [Google Scholar] [CrossRef]
- Gómez-Díaz, J.S.; Perruisseau-Carrier, J. Graphene-based plasmonic switches at near infrared frequencies. Opt. Express 2013, 21, 15490–15504. [Google Scholar] [CrossRef] [PubMed]
- Tang, X.; Jia, H.D.; Liu, L.Y.; Li, M.; Wu, D.; Zhou, K.; Li, P.; Tian, L.Y.; Yang, D.L.; Wang, W.J. A Tunable Terahertz Absorber Based on Double-Layer Patterned Graphene Metamaterials. Materlals 2023, 16, 4166. [Google Scholar] [CrossRef]
- Yao, Y.; Kats, M.A.; Genevet, P. Broad Electrical Tuning of Graphene-Loaded Plasmonic Antennas. Nano Lett. 2013, 13, 1257. [Google Scholar] [CrossRef]
- Gupta, S.K.; Basu, P.K. Tunability in Graphene Based Metamaterial Absorber Structures in Mid-Infrared Region. IEEE Photonics J. 2022, 14, 2223805. [Google Scholar] [CrossRef]
- Zhang, J.G.; Tian, J.P.; Li, L. A dual-band tunable metamaterial near-unity absorber composed of periodic cross and disk graphene arrays. IEEE Photon. J. 2018, 10, 4800512. [Google Scholar] [CrossRef]
- Zhang, M.; Song, Z.Y. Switchable terahertz metamaterial absorber with broadband absorption and multiband absorption. Opt. Express 2021, 29, 21551–21561. [Google Scholar] [CrossRef] [PubMed]
- Hu, B.J.; Huang, M.; Yang, L.; Zhao, J.Y. Terahertz dual-tunable absorber based on hybrid gold-graphene-strontium titanate-vanadium dioxide configuration. Opt. Mater. Express 2023, 13, 2775–2786. [Google Scholar] [CrossRef]
- Jo, G.; Choe, M.; Cho, C.Y.; Kim, J.H.; Park, W.; Lee, S.; Hong, W.K.; Kim, T.W.; Park, S.J.; Hong, B.H. Large-scale patterned multilayer graphene films as transparent conducting electrodes for GaN light-emitting diodes. Nanotechnology 2010, 21, 175201. [Google Scholar] [CrossRef]
- Fang, Z.Y.; Wang, Y.M.; Schlather, A.E.; Liu, Z.; Ajayan, P.M.; de Abajo, F.J.G.; Nordlander, P.; Zhu, Z.; Halas, N.J. Active tunable absorption enhancement with graphene nanodisk arrays. Nano Lett. 2014, 14, 299–304. [Google Scholar] [CrossRef]
- Zhuo, Q.Q.; Wang, Q.; Zhang, Y.P.; Zhang, D.; Li, Q.L.; Gao, C.H.; Sun, Y.Q.; Ding, L.; Sun, Q.J.; Wang, S.D.; et al. Transfer-free synthesis of doped and patterned graphene films. ACS Nano 2015, 9, 594–601. [Google Scholar] [CrossRef]
- Wang, L.Z.; Zhang, J.; Liu, N.; Wang, Y.K.; Hu, P.A.; Wang, Z.L. Fast patterned graphene ribbons via soft–lithography. Procedia CIRP 2016, 42, 428–432. [Google Scholar] [CrossRef]
- Ye, L.F.; Chen, X.E.; Zhu, C.H.; Li, W.W.; Zhang, Y. Switchable broadband terahertz spatial modulators based on patterned graphene and vanadium dioxide. Opt. Express 2020, 28, 33948–33958. [Google Scholar] [CrossRef]
- Zeng, W.; Chen, N.; Xie, W.G. Research progress on the preparation methods for VO2 nanoparticles and their application in smart windows. CrystEngComm 2020, 22, 851–869. [Google Scholar] [CrossRef]
- Chen, B.J.; Zhu, S.F.; Zhao, B.J.; Zhang, J.J.; Huang, Y.; Li, M.; Liu, J.; Tan, B.; Wang, R.L.; He, Z.Y. Growth of AgGaS2 single crystals by modified furnace. J. Cryst. Growth 2006, 292, 490–493. [Google Scholar] [CrossRef]
- Wang, X.; Chen, X.M.; He, Q.Y.; Hui, Y.Z.; Xu, C.F.; Wang, B.C.; Shan, F.H.; Zhang, J.; Shao, J.Y. Bidirectional, Multilayer MXene/Polyimide Aerogels for Ultra-Broadband Microwave Absorption. Adv. Mater. 2024. [Google Scholar] [CrossRef]
- Wu, Y.F.; Cai, P.G.; Nie, Q.M.; Tang, C.J.; Liu, F.X.; Zhu, M.W. Ultra-narrowband, electrically switchable, and high-efficiency absorption in monolayer graphene resulting from lattice plasmon resonance. Results Phys. 2023, 51, 106768. [Google Scholar] [CrossRef]












| Absorption | BW | Fractional BW | Absorption Regulation | Ref. |
|---|---|---|---|---|
| >90% | 2.54 THz | 0.80 | 14–99.9% | [25] |
| >90% | 5.63 THz | 1.00 | 1.2–97% | [26] |
| >90% | 2.18 THz | 0.69 | 32.8–99.9% | [27] |
| >80% | 3.17 THz | 0.75 | 33.51–99.99% or 76.31–99.99% | [28] |
| >90% | 2.102 THz | 0.75 | - | [29] |
| >90% | 2.7–12.1 THz | 0.60–1.23 | 3.8–99.8% | Our work |
Disclaimer/Publisher’s Note: The statements, opinions and data contained in all publications are solely those of the individual author(s) and contributor(s) and not of MDPI and/or the editor(s). MDPI and/or the editor(s) disclaim responsibility for any injury to people or property resulting from any ideas, methods, instructions or products referred to in the content. |
© 2024 by the authors. Licensee MDPI, Basel, Switzerland. This article is an open access article distributed under the terms and conditions of the Creative Commons Attribution (CC BY) license (https://creativecommons.org/licenses/by/4.0/).
Share and Cite
Yang, R.; Liu, Y.; Wang, X. Metamaterial Broadband Absorber Induced by Synergistic Regulation of Temperature and Electric Field and Its Optical Switching Application. Sensors 2024, 24, 5430. https://doi.org/10.3390/s24165430
Yang R, Liu Y, Wang X. Metamaterial Broadband Absorber Induced by Synergistic Regulation of Temperature and Electric Field and Its Optical Switching Application. Sensors. 2024; 24(16):5430. https://doi.org/10.3390/s24165430
Chicago/Turabian StyleYang, Rundong, Yun Liu, and Xiangfu Wang. 2024. "Metamaterial Broadband Absorber Induced by Synergistic Regulation of Temperature and Electric Field and Its Optical Switching Application" Sensors 24, no. 16: 5430. https://doi.org/10.3390/s24165430
APA StyleYang, R., Liu, Y., & Wang, X. (2024). Metamaterial Broadband Absorber Induced by Synergistic Regulation of Temperature and Electric Field and Its Optical Switching Application. Sensors, 24(16), 5430. https://doi.org/10.3390/s24165430

