Spatio-Temporal Joint Optimization-Based Trajectory Planning Method for Autonomous Vehicles in Complex Urban Environments
Abstract
1. Introduction
- A topology-guided hybrid A* strategy is implemented on an inflated map, to overcome challenges associated with generating driving corridors when the initial trajectory is not collision-free.
- Considering multi-constraint limitations, including the road surface adhesion coefficient, multi-objective coordination for trajectory optimization is carried out, achieving the generation of safe, high-quality trajectories under various road surface adhesion coefficients.
- Considering the strong coupling relationship between the longitudinal and lateral movements of the vehicle, a spatio–temporal joint optimization solver is used to simultaneously optimize the longitudinal and lateral initial values of the trajectory.
2. Problem Description
2.1. Trajectory Planning Scenarios
2.2. Differentially Flat Vehicle Model
2.3. Trajectory Planning Formulation
3. SJOTP-Based Planning
3.1. The Behavior Planning Layer
3.2. The Collision Handling Layer
3.3. The Trajectory Optimization Layer
3.3.1. Dynamic Feasibility
- Longitude velocity limit: To comply with traffic rules, accounting for user settings and traffic conditions, autonomous vehicles need to limit the maximum longitudinal velocity within a reasonable range:where is the maximum longitudinal speed.
- Acceleration limit: The frictional limit between the tire and the road surface is greatly influenced by the road conditions. During the driving process of the autonomous vehicle, it is necessary to consider the limitation of the road surface adhesion coefficient. With a low road surface adhesion coefficient, excessive longitudinal acceleration can provoke tire slip, and excessive lateral acceleration can provoke the vehicle to sideslip. Therefore, it is necessary to appropriately limit the maximum longitudinal and lateral acceleration of autonomous vehicles. The acceleration constraint is translated as follows:where is an auxiliary antisymmetric matrix.The point mass vehicle kinematic model simplifies the vehicle’s dimensional information and ignores the influence of load transfer due to lateral and longitudinal acceleration. This model describes the vehicle’s motion as a point with mass, thereby effectively reducing the computational load for trajectory planning. Consequently, it is necessary to ensure that the total forces of the vehicle remain within the limits provided by the road surface, satisfying the friction circle constraint:where is the total force acting on the vehicle, is the longitudinal force, is the lateral force, is the road surface adhesion coefficient, and is a proportionality coefficient aimed at limiting friction saturation. In accordance with the theory of the friction circle, it is imperative to guarantee that the total force exerted does not surpass the maximum frictional force. The friction circle constraint function, utilizing flat outputs, is defined as follows:According to the chain rule, the gradients of are derived as
- Curvature limit: For high-speed autonomous vehicles, limiting curvature is crucial, due to the significant impact of curvature on vehicle stability and safety. The curvature constraint function is defined as follows:
3.3.2. Obstacle Avoidance
4. Results
4.1. Trajectory Planning for Scenes with Dense and Small-Sized Obstacles Ahead
4.2. Trajectory Planning for Scenes with Sparse and Large-Sized Obstacles Ahead
4.3. Efficiency of Vehicle Access to an Urban Expressway
5. Conclusions
Author Contributions
Funding
Institutional Review Board Statement
Informed Consent Statement
Data Availability Statement
Conflicts of Interest
References
- Teng, S.; Hu, X.; Deng, P.; Li, B.; Li, Y.; Ai, Y.; Yang, D.; Li, L.; Xuanyuan, Z.; Zhu, F.; et al. Motion planning for autonomous driving: The state of the art and future perspectives. IEEE Trans. Intell. Veh. 2023, 8, 3692–3711. [Google Scholar] [CrossRef]
- Montanaro, U.; Dixit, S.; Fallah, S.; Dianati, M.; Stevens, A.; Oxtoby, D.; Mouzakitis, A. Towards connected autonomous driving: Review of use-cases. Veh. Syst. Dyn. 2019, 57, 779–814. [Google Scholar] [CrossRef]
- Muralidhar, P.; Prashanth, S.A.; Kumar, P.K.; Rani, C.; Kumar, R.M. Accident Prevention For Autonomous Vehicle. In Proceedings of the 2023 2nd International Conference on Vision Towards Emerging Trends in Communication and Networking Technologies (ViTECoN), Vellore, India, 5–6 May 2023; IEEE: Piscataway, NJ, USA, 2023; pp. 1–5. [Google Scholar]
- Xiao, R. Economic benefit, challenges, and perspectives for the application of Autonomous technology in self-driving vehicles. Highlights Sci. Eng. Technol. 2023, 38, 456–460. [Google Scholar] [CrossRef]
- Gaio, A.; Cugurullo, F. Cyclists and autonomous vehicles at odds: Can the Transport Oppression Cycle be Broken in the Era of Artificial Intelligence? AI Soc. 2023, 38, 1223–1237. [Google Scholar] [CrossRef]
- Chen, L.; Teng, S.; Li, B.; Na, X.; Li, Y.; Li, Z.; Wang, J.; Cao, D.; Zheng, N.; Wang, F.Y. Milestones in autonomous driving and intelligent vehicles—Part II: Perception and planning. IEEE Trans. Syst. Man Cybern. Syst. 2023, 53, 6401–6415. [Google Scholar] [CrossRef]
- Teng, S.; Chen, L.; Ai, Y.; Zhou, Y.; Xuanyuan, Z.; Hu, X. Hierarchical interpretable imitation learning for end-to-end autonomous driving. IEEE Trans. Intell. Veh. 2022, 8, 673–683. [Google Scholar] [CrossRef]
- Ziegler, J.; Stiller, C. Spatiotemporal state lattices for fast trajectory planning in dynamic on-road driving scenarios. In Proceedings of the 2009 IEEE/RSJ International Conference on Intelligent Robots and Systems, St. Louis, MO, USA, 10–15 October 2009; IEEE: Piscataway, NJ, USA, 2009; pp. 1879–1884. [Google Scholar]
- McNaughton, M.; Urmson, C.; Dolan, J.M.; Lee, J.W. Motion planning for autonomous driving with a conformal spatiotemporal lattice. In Proceedings of the 2011 IEEE International Conference on Robotics and Automation, Shanghai, China, 9–13 May 2011; IEEE: Piscataway, NJ, USA, 2011; pp. 4889–4895. [Google Scholar]
- Ma, L.; Xue, J.; Kawabata, K.; Zhu, J.; Ma, C.; Zheng, N. Efficient sampling-based motion planning for on-road autonomous driving. IEEE Trans. Intell. Transp. Syst. 2015, 16, 1961–1976. [Google Scholar] [CrossRef]
- Aoude, G.S.; Luders, B.D.; Joseph, J.M.; Roy, N.; How, J.P. Probabilistically safe motion planning to avoid dynamic obstacles with uncertain motion patterns. Auton. Robots 2013, 35, 51–76. [Google Scholar] [CrossRef]
- Palmieri, L.; Koenig, S.; Arras, K.O. RRT-based nonholonomic motion planning using any-angle path biasing. In Proceedings of the 2016 IEEE International Conference on Robotics and Automation (ICRA), Stockholm, Sweden, 16–21 May 2016; IEEE: Piscataway, NJ, USA, 2016; pp. 2775–2781. [Google Scholar]
- Vaskov, S.; Sharma, U.; Kousik, S.; Johnson-Roberson, M.; Vasudevan, R. Guaranteed safe reachability-based trajectory design for a high-fidelity model of an autonomous passenger vehicle. In Proceedings of the 2019 American Control Conference (ACC), Philadelphia, PA, USA, 10–12 July 2019; IEEE: Piscataway, NJ, USA, 2019; pp. 705–710. [Google Scholar]
- Cheng, J.; Chen, Y.; Zhang, Q.; Gan, L.; Liu, C.; Liu, M. Real-time trajectory planning for autonomous driving with gaussian process and incremental refinement. In Proceedings of the 2022 International Conference on Robotics and Automation (ICRA), Philadelphia, PA, USA, 23–27 May 2022; IEEE: Piscataway, NJ, USA, 2022; pp. 8999–9005. [Google Scholar]
- Han, Z.; Wu, Y.; Li, T.; Zhang, L.; Pei, L.; Xu, L.; Li, C.; Ma, C.; Xu, C.; Shen, S.; et al. An efficient spatial-temporal trajectory planner for autonomous vehicles in unstructured environments. IEEE Trans. Intell. Transp. Syst. 2023, 25, 1797–1814. [Google Scholar] [CrossRef]
- Lim, W.; Lee, S.; Sunwoo, M.; Jo, K. Hybrid trajectory planning for autonomous driving in on-road dynamic scenarios. IEEE Trans. Intell. Transp. Syst. 2019, 22, 341–355. [Google Scholar] [CrossRef]
- Meng, Y.; Wu, Y.; Gu, Q.; Liu, L. A decoupled trajectory planning framework based on the integration of lattice searching and convex optimization. IEEE Access 2019, 7, 130530–130551. [Google Scholar] [CrossRef]
- Zhang, Y.; Chen, H.; Waslander, S.L.; Gong, J.; Xiong, G.; Yang, T.; Liu, K. Hybrid trajectory planning for autonomous driving in highly constrained environments. IEEE Access 2018, 6, 32800–32819. [Google Scholar] [CrossRef]
- Lim, W.; Lee, S.; Sunwoo, M.; Jo, K. Hierarchical trajectory planning of an autonomous car based on the integration of a sampling and an optimization method. IEEE Trans. Intell. Transp. Syst. 2018, 19, 613–626. [Google Scholar] [CrossRef]
- Fan, H.; Zhu, F.; Liu, C.; Zhang, L.; Zhuang, L.; Li, D.; Zhu, W.; Hu, J.; Li, H.; Kong, Q. Baidu apollo em motion planner. arXiv 2018, arXiv:1807.08048. [Google Scholar]
- Ding, W.; Zhang, L.; Chen, J.; Shen, S. Safe trajectory generation for complex urban environments using spatio-temporal semantic corridor. IEEE Robot. Autom. Lett. 2019, 4, 2997–3004. [Google Scholar] [CrossRef]
- Werling, M.; Ziegler, J.; Kammel, S.; Thrun, S. Optimal trajectory generation for dynamic street scenarios in a frenet frame. In Proceedings of the 2010 IEEE International Conference on Robotics and Automation, Anchorage, AK, USA, 3–7 May 2010; IEEE: Piscataway, NJ, USA, 2010; pp. 987–993. [Google Scholar]
- Li, X.; Sun, Z.; Cao, D.; He, Z.; Zhu, Q. Real-time trajectory planning for autonomous urban driving: Framework, algorithms, and verifications. IEEE/ASME Trans. Mechatron. 2015, 21, 740–753. [Google Scholar] [CrossRef]
- Rösmann, C.; Hoffmann, F.; Bertram, T. Timed-elastic-bands for time-optimal point-to-point nonlinear model predictive control. In Proceedings of the 2015 European Control Conference (ECC), Linz, Austria, 15–17 July 2015; IEEE: Piscataway, NJ, USA, 2015; pp. 3352–3357. [Google Scholar]
- Li, B.; Shao, Z. Simultaneous dynamic optimization: A trajectory planning method for nonholonomic car-like robots. Adv. Eng. Softw. 2015, 87, 30–42. [Google Scholar] [CrossRef]
- Shi, Q.; Zhao, J.; El Kamel, A.; Lopez-Juarez, I. MPC based vehicular trajectory planning in structured environment. IEEE Access 2021, 9, 21998–22013. [Google Scholar] [CrossRef]
- Ammour, M.; Orjuela, R.; Basset, M. A MPC combined decision making and trajectory planning for autonomous vehicle collision avoidance. IEEE Trans. Intell. Transp. Syst. 2022, 23, 24805–24817. [Google Scholar] [CrossRef]
- Dixit, S.; Montanaro, U.; Dianati, M.; Oxtoby, D.; Mizutani, T.; Mouzakitis, A.; Fallah, S. Trajectory planning for autonomous high-speed overtaking in structured environments using robust MPC. IEEE Trans. Intell. Transp. Syst. 2019, 21, 2310–2323. [Google Scholar] [CrossRef]
- Zhang, X.; Liniger, A.; Borrelli, F. Optimization-based collision avoidance. IEEE Trans. Control Syst. Technol. 2020, 29, 972–983. [Google Scholar] [CrossRef]
- Zhang, X.; Liniger, A.; Sakai, A.; Borrelli, F. Autonomous parking using optimization-based collision avoidance. In Proceedings of the 2018 IEEE Conference on Decision and Control (CDC), Miami, FL, USA, 17–19 December 2018; IEEE: Piscataway, NJ, USA, 2018; pp. 4327–4332. [Google Scholar]
- Liu, D.C.; Nocedal, J. On the limited memory BFGS method for large scale optimization. Math. Program. 1989, 45, 503–528. [Google Scholar] [CrossRef]
- Sreenath, K.; Michael, N.; Kumar, V. Trajectory generation and control of a quadrotor with a cable-suspended load-a differentially-flat hybrid system. In Proceedings of the 2013 IEEE International Conference on Robotics and Automation, Karlsruhe, Germany, 6–10 May 2013; IEEE: Piscataway, NJ, USA, 2013; pp. 4888–4895. [Google Scholar]
- Wang, Z.; Zhou, X.; Xu, C.; Gao, F. Geometrically constrained trajectory optimization for multicopters. IEEE Trans. Robot. 2022, 38, 3259–3278. [Google Scholar] [CrossRef]
- Ma, C.; Han, Z.; Zhang, T.; Wang, J.; Xu, L.; Li, C.; Xu, C.; Gao, F. Decentralized Planning for Car-Like Robotic Swarm in Cluttered Environments. In Proceedings of the 2023 IEEE/RSJ International Conference on Intelligent Robots and Systems (IROS), Detroit, MI, USA, 1–5 October 2023; IEEE: Piscataway, NJ, USA, 2023; pp. 9293–9300. [Google Scholar]
- Ding, W.; Zhang, L.; Chen, J.; Shen, S. Epsilon: An efficient planning system for automated vehicles in highly interactive environments. IEEE Trans. Robot. 2021, 38, 1118–1138. [Google Scholar] [CrossRef]
- Li, B.; Acarman, T.; Peng, X.; Zhang, Y.; Bian, X.; Kong, Q. Maneuver planning for automatic parking with safe travel corridors: A numerical optimal control approach. In Proceedings of the 2020 European Control Conference (ECC), St. Petersburg, Russia, 12–15 May 2020; IEEE: Piscataway, NJ, USA, 2020; pp. 1993–1998. [Google Scholar]
- Zhong, X.; Wu, Y.; Wang, D.; Wang, Q.; Xu, C.; Gao, F. Generating large convex polytopes directly on point clouds. arXiv 2020, arXiv:2010.08744. [Google Scholar]
- Avis, D.; Fukuda, K.; Picozzi, S. On canonical representations of convex polyhedra. In Mathematical Software; World Scientific: Singapore, 2002; pp. 350–360. [Google Scholar]
- Cameron, S.; Culley, R. Determining the minimum translational distance between two convex polyhedra. In Proceedings of the 1986 IEEE International Conference on Robotics and Automation, San Francisco, CA, USA, 7–10 April 1986; IEEE: Piscataway, NJ, USA, 1986; Volume 3, pp. 591–596. [Google Scholar]














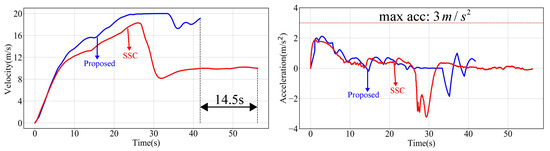
| Indicators | Ours | SSC | ||
|---|---|---|---|---|
| Max | Avg | Max | Avg | |
| Speed (m/s) | 19.99 | 16.53 | 18.28 | 11.79 |
| Passing Time (s) | \ | 41.7 | \ | 56.2 |
| Curvature (1/m) | ||||
| Longitudinal Acceleration (m/s2) | 2.11 | 0.52 | 1.68 | 0.63 |
| Lateral Acceleration (m/s2) | 0.46 | 0.22 | 0.39 | 0.21 |
Disclaimer/Publisher’s Note: The statements, opinions and data contained in all publications are solely those of the individual author(s) and contributor(s) and not of MDPI and/or the editor(s). MDPI and/or the editor(s) disclaim responsibility for any injury to people or property resulting from any ideas, methods, instructions or products referred to in the content. |
© 2024 by the authors. Licensee MDPI, Basel, Switzerland. This article is an open access article distributed under the terms and conditions of the Creative Commons Attribution (CC BY) license (https://creativecommons.org/licenses/by/4.0/).
Share and Cite
Guo, J.; Xie, Z.; Liu, M.; Dai, Z.; Jiang, Y.; Guo, J.; Xie, D. Spatio-Temporal Joint Optimization-Based Trajectory Planning Method for Autonomous Vehicles in Complex Urban Environments. Sensors 2024, 24, 4685. https://doi.org/10.3390/s24144685
Guo J, Xie Z, Liu M, Dai Z, Jiang Y, Guo J, Xie D. Spatio-Temporal Joint Optimization-Based Trajectory Planning Method for Autonomous Vehicles in Complex Urban Environments. Sensors. 2024; 24(14):4685. https://doi.org/10.3390/s24144685
Chicago/Turabian StyleGuo, Jianhua, Zhihao Xie, Ming Liu, Zhiyuan Dai, Yu Jiang, Jinqiu Guo, and Dong Xie. 2024. "Spatio-Temporal Joint Optimization-Based Trajectory Planning Method for Autonomous Vehicles in Complex Urban Environments" Sensors 24, no. 14: 4685. https://doi.org/10.3390/s24144685
APA StyleGuo, J., Xie, Z., Liu, M., Dai, Z., Jiang, Y., Guo, J., & Xie, D. (2024). Spatio-Temporal Joint Optimization-Based Trajectory Planning Method for Autonomous Vehicles in Complex Urban Environments. Sensors, 24(14), 4685. https://doi.org/10.3390/s24144685
