Sign in to use this feature.

Years

Between: -

Subjects

remove_circle_outline
remove_circle_outline
remove_circle_outline
remove_circle_outline
remove_circle_outline
remove_circle_outline
remove_circle_outline
remove_circle_outline
remove_circle_outline

Journals

remove_circle_outline
remove_circle_outline
remove_circle_outline
remove_circle_outline
remove_circle_outline
remove_circle_outline
remove_circle_outline
remove_circle_outline
remove_circle_outline
remove_circle_outline
remove_circle_outline
remove_circle_outline

Article Types

Countries / Regions

remove_circle_outline
remove_circle_outline
remove_circle_outline
remove_circle_outline
remove_circle_outline

Search Results (1,816)

Search Parameters:
Keywords = motion planning

Order results
Result details
Results per page
Select all
Export citation of selected articles as:
41 pages, 18104 KB  
Article
Cooperative Online 3D Path Planning for Fixed-Wing UAVs
by Yonggang Nie, Xinyue Zhang, Chaoyue Li and Dong Zhang
Drones 2026, 10(4), 297; https://doi.org/10.3390/drones10040297 - 17 Apr 2026
Abstract
Addressing high dynamics, stringent non-holonomic constraints, and limited onboard computation in cooperative online trajectory planning for multiple fixed-wing UAVs in complex 3D obstacle environments, this paper proposes a Cooperative-3D-Quick-Dubins-RRT*. First, an offline motion-primitive database is engineered to align with RRT* mechanics: an unconstrained [...] Read more.
Addressing high dynamics, stringent non-holonomic constraints, and limited onboard computation in cooperative online trajectory planning for multiple fixed-wing UAVs in complex 3D obstacle environments, this paper proposes a Cooperative-3D-Quick-Dubins-RRT*. First, an offline motion-primitive database is engineered to align with RRT* mechanics: an unconstrained expansion mode facilitates rapid space exploration, while a constrained rewiring mode ensures kinodynamic continuity. This architecture, synergized with four targeted acceleration strategies (dimensionality reduction, elliptical sampling, tree pruning, and pre-discretized collision checking), significantly accelerates convergence. Second, a Dubins-detour-based time-coordination mechanism is designed to map cooperative timing constraints into controllable path-length adjustments, and the feasible adjustment range is analyzed to ensure realizability. Finally, simulations and hardware-in-the-loop experiments across a variety of representative scenarios are conducted for validation. The results show that, compared with the classical Dubins-RRT*, the proposed method achieves clear advantages in planning time and path length, demonstrating its suitability for online cooperative obstacle-avoidance planning of multiple UAVs. Full article
(This article belongs to the Special Issue Intelligent Cooperative Technologies of UAV Swarm Systems)
34 pages, 10503 KB  
Article
Multi-Objective Trajectory Optimization for Autonomous Vehicles Based on an Improved Driving Risk Field
by Jianping Gao, Wenju Liu, Pan Liu, Peiyi Bai and Chengwei Xie
Modelling 2026, 7(2), 75; https://doi.org/10.3390/modelling7020075 - 17 Apr 2026
Abstract
Trajectory planning in dynamic multi-vehicle interaction environments faces three critical challenges, including the difficulty of quantifying spatial risk distributions, the complexity of characterizing behavioral uncertainty arising from the multimodal maneuvers of surrounding vehicles, and the challenge of simultaneously optimizing multiple competing objectives such [...] Read more.
Trajectory planning in dynamic multi-vehicle interaction environments faces three critical challenges, including the difficulty of quantifying spatial risk distributions, the complexity of characterizing behavioral uncertainty arising from the multimodal maneuvers of surrounding vehicles, and the challenge of simultaneously optimizing multiple competing objectives such as safety, efficiency, comfort, and energy consumption. To address these challenges, this paper proposes an Improved Driving Risk Field-based Multi-objective Trajectory Optimization (IDRF-MTO) method. First, a joint spatiotemporal social attention mechanism achieves unified modeling of spatial interactions, temporal dependencies, and spatiotemporal coupling, combined with a lateral–longitudinal intent strategy for multimodal trajectory prediction. Second, an improved dynamic risk field model is constructed comprising three components: a vehicle risk field that incorporates spatial orientation and motion direction factors for anisotropic risk representation, along with a collision tendency factor that converts objective risk into effective risk; a predicted trajectory risk field that achieves anticipatory quantification of future risk from surrounding vehicles through confidence-weighted fusion; and a driving environment risk field that encapsulates road geometry, static obstacles, and environmental conditions. Finally, a multi-objective cost function embedding risk field gradients is formulated, and multi-objective coordinated optimization is realized through a three-dimensional spatiotemporal situation graph with adaptive safety sampling. Simulation results demonstrate that the proposed method enhances safety while simultaneously improving comfort and efficiency and reducing energy consumption, exhibiting excellent planning performance in complex dynamic environments. Full article
(This article belongs to the Special Issue Advanced Modelling Techniques in Transportation Engineering)
Show Figures

Figure 1

42 pages, 2598 KB  
Article
Integrating Adaptive Constraints with an Enhanced Metaheuristic for Zero-Latency Trajectory Planning in Robotic Manufacturing Processes
by Houxue Xia, Zhenyu Sun, Huagang Tong and Liusan Wu
Processes 2026, 14(8), 1282; https://doi.org/10.3390/pr14081282 - 17 Apr 2026
Abstract
In flexible manufacturing systems, the composite mobile manipulator (CMM) is subject to nonlinear inertial disturbances arising from the dynamic coupling between the mobile platform and the robotic arm. These disturbances significantly impair positioning precision during grasping tasks. This paper addresses the dynamic decoupling [...] Read more.
In flexible manufacturing systems, the composite mobile manipulator (CMM) is subject to nonlinear inertial disturbances arising from the dynamic coupling between the mobile platform and the robotic arm. These disturbances significantly impair positioning precision during grasping tasks. This paper addresses the dynamic decoupling of multi-body nonlinear inertial disturbances within CMM systems. Departing from the conventional “stop-then-plan” serial execution paradigm, we propose a full-cycle spatiotemporally coupled trajectory optimization method. The operation cycle is bifurcated into two synergistic stages: “dynamic calibration” and “static execution.” The dynamic calibration trajectory is pre-planned and executed synchronously during platform movement to actively compensate for inertial-induced pose deviations. Concurrently, the static execution trajectory is optimized and then triggered immediately upon platform standstill, ensuring a seamless and precise transition to the “Grasping Pose”. It is worth noting that the temporal characteristic central to this framework lies in the concurrent execution of static trajectory optimization and platform transit: by the time the platform reaches its destination, the pre-planned trajectory is already available for immediate triggering, achieving zero task-switching wait time at the planning layer. The term “zero-latency” here does not imply a fixed-cycle real-time response at the control layer, but rather the complete elimination of decision latency afforded by the parallel planning architecture. This framework eliminates computational latency, markedly enhancing operational efficiency. Key innovations include two novel constraints. First, the Adaptive Task-space Bounded Search Constraint (ATBSC) framework restricts optimization to a geometry-inspired search region, thereby enhancing search efficiency and ensuring controllable deviations. Second, the Multi-Rigid-Body Coupling Constraint (MRBCC) system explicitly models inertial transmission across motion phases to suppress pose fluctuations. The proposed framework is developed and validated within an obstacle-free workspace. In simulation-based validation on a UR10 6 degree-of-freedom manipulator model, experimental results indicate that ATBSC increases valid solution density to 84.7% and reduces average deviation by 72.8%. Furthermore, under the tested conditions, MRBCC mitigates end-effector position errors by 79.7–81.0% with a 97.5% constraint satisfaction rate. The improved Cuckoo Search algorithm (ICSA), serving as the solver component of the proposed framework, achieves an 11.9% lower fitness value and a 13.1% faster convergence rate compared to the standard Cuckoo Search algorithm in the tested scenarios, suggesting its effectiveness as a reliable solver for the constrained multi-objective trajectory optimisation problem. Full article
(This article belongs to the Section AI-Enabled Process Engineering)
20 pages, 33271 KB  
Article
An Error-Adaptive Competition-Based Inverse Kinematics Approach for Bimanual Trajectory Tracking of Humanoid Upper-Limb Robots
by Jiaxiu Liu, Zijian Wang, Hongfu Tang, Hongzhe Jin and Jie Zhao
Biomimetics 2026, 11(4), 279; https://doi.org/10.3390/biomimetics11040279 - 17 Apr 2026
Abstract
Humanoid upper-limb robots are an important direction in biomimetic robotics, and inverse kinematics is a key technique for achieving human-like coordinated operation. However, existing inverse kinematics methods for bimanual trajectory tracking often suffer from high computational complexity and limited synchronization performance. To address [...] Read more.
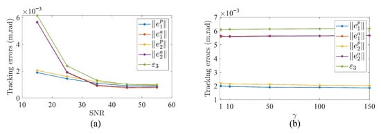
Humanoid upper-limb robots are an important direction in biomimetic robotics, and inverse kinematics is a key technique for achieving human-like coordinated operation. However, existing inverse kinematics methods for bimanual trajectory tracking often suffer from high computational complexity and limited synchronization performance. To address this, this paper proposes an error-adaptive competition-based inverse kinematics (EAC-IK) approach for bimanual trajectory tracking of humanoid upper-limb robots. First, a unified modeling framework for the absolute tracking errors and synchronization errors of the two arms is established, and the end-effector task constraints are reformulated into a low-dimensional representation, thereby reducing the computational complexity of the original high-dimensional task mapping. Second, to enhance the coordination capability of bimanual operations, an error-adaptive competition mechanism is developed to regulate the weighting coefficients of the two arms online according to their error states. In addition, a virtual second-order command shaper is introduced at the joint level to reconstruct joint trajectories and suppress oscillations induced by input noise and the error-adaptive competition mechanism. Simulation and experimental results on a hyper-redundant humanoid upper-limb robot demonstrate that, compared with the zeroing neural-network-based inverse kinematics method, the proposed method achieves lower tracking and synchronization errors, as well as higher computational efficiency. In the circular trajectory-tracking experiment, the left-arm position and orientation tracking errors decrease from 1.60×103m and 4.72×103rad to 0.70×103m and 0.95×103rad, respectively, while the synchronization error decreases from 1.96×103 to 1.30×103. In addition, the average algorithm runtime decreases from 0.82ms to 0.63ms. Full article
(This article belongs to the Special Issue Bionic Intelligent Robots)
Show Figures

Graphical abstract

28 pages, 3087 KB  
Article
Obstacle Avoidance Trajectory Planning and ESO-MPC Tracking Control for a 6-DOF Manipulator in Constrained Environments
by Qiushi Hu, Kelong Zhao, Heng Li, Zhirong Wang and Lei Li
Machines 2026, 14(4), 442; https://doi.org/10.3390/machines14040442 - 16 Apr 2026
Abstract
To address the challenges of constrained grid-like compartments, a motion framework integrating adaptive obstacle avoidance planning and active disturbance rejection control is proposed. First, an Adaptive Rapidly exploring Random Tree Star (Adaptive RRT*) algorithm based on multi-source state feedback is developed. Scaled-down model [...] Read more.
To address the challenges of constrained grid-like compartments, a motion framework integrating adaptive obstacle avoidance planning and active disturbance rejection control is proposed. First, an Adaptive Rapidly exploring Random Tree Star (Adaptive RRT*) algorithm based on multi-source state feedback is developed. Scaled-down model simulations show that, compared to conventional algorithms, its path length (374.28 mm), planning time (0.30 s), and node count (50.83) are reduced by at least 29.5%, 64.7%, and 28.6%, respectively, achieving a 100% planning success rate. Next, a control scheme based on Extended State Observer–Model Predictive Control (ESO-MPC) is designed. Simulations indicate that under nominal conditions, tracking errors are reduced by 5.78–84.35% compared to traditional MPC. Under a 20% link mass perturbation, the scheme effectively eliminates phase lag. Under complex scenarios involving parameter perturbation and a 0.6 N·m step torque disturbance, the tracking error reduction ranges from 25.27% to 87.59%, exhibiting excellent disturbance rejection robustness. Physical experiments conducted on a scaled-down experimental platform further verify that the maximum tracking errors of the manipulator end-effector along the x, y, and z axes under ESO-MPC are 0.88 mm, 0.85 mm, and 0.89 mm, respectively, significantly outperforming the 2.41 mm, 2.39 mm, and 2.47 mm observed with MPC. Finally, obstacle avoidance and trajectory-tracking simulations of an industrial manipulator in a full-scale ship compartment environment validate the engineering feasibility of the proposed framework. Full article
(This article belongs to the Special Issue Design, Control and Application of Precision Robots)
44 pages, 24044 KB  
Review
Ground Mobile Robots for High-Throughput Plant Phenotyping: A Review from the Closed-Loop Perspective of Perception, Decision, and Action
by Heng-Wei Zhang, Yi-Ming Qin, An-Qi Wu, Xi Xi, Pingfan Hu and Rui-Feng Wang
Plants 2026, 15(8), 1218; https://doi.org/10.3390/plants15081218 - 16 Apr 2026
Abstract
High-throughput plant phenotyping (HTPP) is increasingly limited by the mismatch between the need for field-relevant, fine-grained phenotypic information and the restricted capability of conventional observation platforms under complex agricultural conditions. Ground mobile robots are emerging as the key carrier for resolving this gap [...] Read more.
High-throughput plant phenotyping (HTPP) is increasingly limited by the mismatch between the need for field-relevant, fine-grained phenotypic information and the restricted capability of conventional observation platforms under complex agricultural conditions. Ground mobile robots are emerging as the key carrier for resolving this gap because they combine close-range sensing, autonomous mobility, and physical interaction within real field environments. In this paper, a structured scoping review is presented using a closed-loop perception–decision–action pipeline as the organizing principle. Within this framework, recent advances are synthesized from the perspectives of multimodal fusion, localization-aware sensing, motion planning, deep-learning-based phenotypic analysis, active observation, robotic intervention, and edge deployment. The review further clarifies the complementary roles of Unmanned Aerial Vehicles (UAVs), Unmanned Ground Vehicles (UGVs), and air–ground collaboration in multiscale phenotyping workflows. Beyond summarizing technologies, the article provides three concrete deliverables: a structured taxonomy of mobile phenotyping systems; comparative tables covering sensing modalities, localization/navigation methods, and AI models; and a research agenda linking technical progress to field deployability. The synthesis highlights four persistent bottlenecks, namely environmental generalization, annotation scarcity, limited standardization and reproducibility, and the gap between advanced models and agricultural edge hardware. Overall, ground robots are identified not merely as sensing platforms, but as the central system architecture for advancing mobile phenotyping toward autonomous, fine-grained, and field-deployable operation. Full article
(This article belongs to the Special Issue Advanced Remote Sensing and AI Techniques in Agriculture and Forestry)
Show Figures

Figure 1

30 pages, 1499 KB  
Article
Environment-Aware Optimal Placement and Dynamic Reconfiguration of Underwater Robotic Sonar Networks Using Deep Reinforcement Learning
by Qiming Sang, Yu Tian, Jin Zhang, Yuyang Xiao, Zhiduo Tan, Jiancheng Yu and Fumin Zhang
J. Mar. Sci. Eng. 2026, 14(8), 733; https://doi.org/10.3390/jmse14080733 - 15 Apr 2026
Abstract
Underwater dynamic target detection, classification, localization, and tracking (DCLT) is central to maritime surveillance and monitoring and increasingly relies on distributed AUV-based robotic sonar networks operating in passive listening and, when required, cooperative multistatic modes. Achieving a robust performance in realistic oceans remains [...] Read more.
Underwater dynamic target detection, classification, localization, and tracking (DCLT) is central to maritime surveillance and monitoring and increasingly relies on distributed AUV-based robotic sonar networks operating in passive listening and, when required, cooperative multistatic modes. Achieving a robust performance in realistic oceans remains challenging, because sensor placement must adapt to time-varying acoustic conditions and target priors while preserving acoustic communication connectivity, and because frequent reconfiguration under dynamic currents makes classical large-scale planning computationally expensive. This paper presents an integrated deep reinforcement learning (DRL)-based framework for passive-stage sonar placement and dynamic reconfiguration in distributed AUV networks. First, we cast placement as a constructive finite-horizon Markov decision process (MDP) and train a Proximal Policy Optimization (PPO) agent to sequentially build a collision-free layout on a discretized surveillance grid. The terminal reward is formulated to jointly optimize the environment-aware detection performance, computed from BELLHOP-based transmission loss models, and global network connectivity, quantified using algebraic connectivity. Second, to enable time-critical reconfiguration, we estimate flow-aware motion costs for all AUV–destination pairs using a PPO with a Long Short-Term Memory (LSTM) trajectory policy trained for partial observability. The learned policy can be deployed onboard, allowing each AUV to refine its path online using locally sensed currents, improving robustness to ocean-model uncertainty. The resulting cost matrix is solved via an efficient zero-element assignment method to obtain the optimal one-to-one reassignment. In the reported simulation studies, the proposed Sequential PPO placement method achieves a final reward 16–21% higher than Particle Swarm Optimization (PSO) and 2–3.7% higher than the Genetic Algorithm (GA), while the proposed PPO + LSTM planner reduces average travel time by 30.44% compared with A*. The proposed closed-loop architecture supports frequent re-optimization, scalable fleet operation, and a seamless transition to communication-supported cooperative multistatic tracking after detection, enabling efficient, adaptive DCLT in dynamic marine environments. Full article
(This article belongs to the Section Ocean Engineering)
27 pages, 7054 KB  
Article
Assessment of Allowable Operational Limits for Floating Spar Wind Turbine Installations
by Mohamed Hassan and C. Guedes Soares
J. Mar. Sci. Eng. 2026, 14(8), 723; https://doi.org/10.3390/jmse14080723 - 14 Apr 2026
Viewed by 167
Abstract
The installation of floating offshore wind turbines presents significant operational challenges due to coupled vessel platform dynamics and sensitivity to environmental conditions. This study proposes a response-based methodology for defining allowable operational limits and assessing operability for floating wind turbine generator (WTG) installation [...] Read more.
The installation of floating offshore wind turbines presents significant operational challenges due to coupled vessel platform dynamics and sensitivity to environmental conditions. This study proposes a response-based methodology for defining allowable operational limits and assessing operability for floating wind turbine generator (WTG) installation using the Nordic Wind concept. The approach integrates hydrodynamic modelling, time-domain simulations, and probabilistic weather-window analysis to evaluate installation feasibility under realistic offshore conditions. The methodology explicitly accounts for coupled vessel spar interactions, heading-dependent system response, and response-based failure criteria, including relative motion, gripper forces, and impact velocity. Allowable sea-state limits are derived for key installation phases and applied to multiple case studies representing different geographical locations and project scales. The results show that installation operability is governed primarily by system response rather than environmental parameters alone. Peak wave period and wave heading are identified as dominant factors, with longer wave periods leading to reduced operability due to response amplification. Across all case studies, the mating phase is found to be the most restrictive operation, controlling overall installation feasibility. Head sea conditions generally provide improved operability, while following seas lead to increased relative motion and reduced performance. The comparative analysis further demonstrates that environmental severity and project scale jointly influence installation duration. Milder environments result in higher operability, whereas harsher conditions, particularly those characterised by long-period swell, significantly reduce feasible weather windows. Larger installation campaigns increase cumulative exposure to weather downtime, even under favourable conditions. The proposed framework extends existing operability assessment methods by incorporating coupled multi-body dynamics and response-based criteria specific to floating wind installations. The results provide a quantitative basis for defining operational limits and support improved planning and decision making for offshore wind turbine installation. Full article
(This article belongs to the Section Ocean Engineering)
Show Figures

Figure 1

21 pages, 2662 KB  
Article
An Online Trajectory Optimization Method for the TAEM Phase Based on an Analytical Lateral Path and Equivalent Dynamic Decoupling
by Yankun Zhang, Changzhu Wei and Jialun Pu
Aerospace 2026, 13(4), 359; https://doi.org/10.3390/aerospace13040359 - 13 Apr 2026
Viewed by 191
Abstract
Rapid and robust trajectory planning for the Terminal Area Energy Management (TAEM) phase of horizontal-landing Reusable Launch Vehicles (RLVs) is critical but challenging due to large initial deviations, stringent terminal constraints, and strong model nonlinearities. To address the limitations of existing methods in [...] Read more.
Rapid and robust trajectory planning for the Terminal Area Energy Management (TAEM) phase of horizontal-landing Reusable Launch Vehicles (RLVs) is critical but challenging due to large initial deviations, stringent terminal constraints, and strong model nonlinearities. To address the limitations of existing methods in convergence reliability and computational speed, this paper proposes a novel online trajectory optimization framework based on analytical lateral planning and equivalent dynamic decoupling. First, a cubic Bézier curve is employed to parameterize the lateral ground track, enabling the rapid generation of analytical expressions for the lateral states that strictly satisfy boundary constraints. Leveraging these analytical solutions, the original six-degree-of-freedom dynamics are exactly decoupled and reduced to a lower-dimensional model governing only the longitudinal motion. To further mitigate nonlinearity, the third derivative of height with respect to range is introduced as a virtual control variable, transforming the problem into a smoother form. The resulting equivalent longitudinal optimization problem is then efficiently solved using the Gauss Pseudospectral Method. Numerical simulations demonstrate that the proposed method significantly outperforms traditional approaches in computational efficiency: it generates feasible trajectories satisfying all constraints within 0.26 s (3σ value). Furthermore, the method exhibits remarkable insensitivity to initial guesses, achieving stable convergence even with simple linear initialization. This approach provides a robust and real-time capable solution for complex TAEM trajectory optimization problems characterized by high nonlinearity and multiple constraints. Full article
(This article belongs to the Section Astronautics & Space Science)
Show Figures

Figure 1

20 pages, 22000 KB  
Article
The Validation of InSAR Time Series for Landfill Characterization and Monitoring: A Geospatial Approach to Ecological Security and Land System Sustainability
by Cristina Allende-Prieto, Pablo Rodríguez-Gonzálvez, David Álvarez-Fuertes and Raquel Perdiguer-Lopez
ISPRS Int. J. Geo-Inf. 2026, 15(4), 168; https://doi.org/10.3390/ijgi15040168 - 12 Apr 2026
Viewed by 295
Abstract
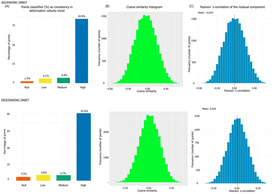
This study applies InSAR time series analysis derived from Sentinel-1 satellite data (ascending and descending orbits) processed with ISCE2 and StaMPS (v.4.1) software to evaluate deformation dynamics in three landfill types near Gijón, Spain. Initially, the data were validated against the European Ground [...] Read more.
This study applies InSAR time series analysis derived from Sentinel-1 satellite data (ascending and descending orbits) processed with ISCE2 and StaMPS (v.4.1) software to evaluate deformation dynamics in three landfill types near Gijón, Spain. Initially, the data were validated against the European Ground Motion Service (EGMS) dataset using a set of Persistent Scatterers (PS) in an urban control area through two analytical approaches (EGMS protocol and PSDefoPAT(2023)). The results showed high consistency, with 82–85% of points classified as highly reliable. Subsequently, this control group was compared with PS from each landfill type (active sanitary, operational inert, and closed inert). Significant deformation differences were found in each landfill type: the active sanitary landfill exhibited distinct anomalies depending on orbit, with strong residual variance instability detected (p < 0.003) in both. Operational inert landfills showed significant anomalies (p < 0.001) in both orbits with variable stability, while closed inert landfills displayed strong stability (p > 0.7) and variable anomalies. These results confirm the efficacy of InSAR approaches for detecting active landfill zones to aid in locating illegal or unauthorized dumping sites and to direct in situ inspection planning. Full article
Show Figures

Figure 1

28 pages, 3527 KB  
Article
Autonomous Tomato Harvesting System Integrating AI-Controlled Robotics in Greenhouses
by Mihai Gabriel Matache, Florin Bogdan Marin, Catalin Ioan Persu, Robert Dorin Cristea, Florin Nenciu and Atanas Z. Atanasov
Agriculture 2026, 16(8), 847; https://doi.org/10.3390/agriculture16080847 - 11 Apr 2026
Viewed by 635
Abstract
Labor shortages and the need for increased productivity have accelerated the development of robotic harvesting systems for greenhouse crops; however, reliable operation under fruit occlusion and clustered arrangements remains a major challenge, particularly due to the limited integration between perception and motion planning [...] Read more.
Labor shortages and the need for increased productivity have accelerated the development of robotic harvesting systems for greenhouse crops; however, reliable operation under fruit occlusion and clustered arrangements remains a major challenge, particularly due to the limited integration between perception and motion planning modules. The paper presents the design and experimental validation of an autonomous robotic system for greenhouse tomato harvesting. The proposed platform integrates a rail-guided mobile base, a six-degrees-of-freedom robotic manipulator, and an adaptive end effector with a hybrid vision framework that combines convolutional neural networks and watershed-based segmentation to enable robust fruit detection and localization under occluded conditions. The proposed approach enables improved separation of overlapping fruits and provides accurate spatial localization through stereo vision combined with IMU-assisted camera-to-robot coordinate transformation. An occlusion-aware trajectory planning strategy was developed to generate collision-free manipulation paths in the presence of leaves and stems, enhancing harvesting safety and reliability. The system was trained and evaluated using a dataset of real greenhouse images supplemented with synthetic data augmentation. Experimental trials conducted under practical greenhouse conditions demonstrated a fruit detection precision of 96.9%, recall of 93.5%, and mean Intersection-over-Union of 79.2%. The robotic platform achieved an overall harvesting success rate of 78.5%, reaching 85% for unobstructed fruits, with an average cycle time of 15 s per fruit in direct harvesting scenarios. The rail-guided mobility significantly improved positioning stability and repeatability during manipulation compared with fully mobile platforms. The results confirm that integrating hybrid perception with occlusion-aware motion planning can substantially improve the functionality of robotic harvesting systems in protected cultivation environments. The proposed solution contributes to the advancement of automation technologies for greenhouse vegetable production and supports the transition toward more sustainable and labor-efficient agricultural practices. Full article
Show Figures

Figure 1

28 pages, 2994 KB  
Article
Hierarchical Redundancy-Driven Real-Time Replanning for Manipulators Under Dynamic Environments and Task Constraints
by Yi Zhang, Hongguang Wang, Xinan Pan and Qianyi Wang
Electronics 2026, 15(8), 1577; https://doi.org/10.3390/electronics15081577 - 9 Apr 2026
Viewed by 239
Abstract
Redundant robot manipulators are widely used in constrained operations and tasks in complex environments. However, when multiple task constraints and inequality constraints coexist, motion planning becomes significantly more difficult. In high-dimensional configuration spaces, conventional planners are prone to local minima and may generate [...] Read more.
Redundant robot manipulators are widely used in constrained operations and tasks in complex environments. However, when multiple task constraints and inequality constraints coexist, motion planning becomes significantly more difficult. In high-dimensional configuration spaces, conventional planners are prone to local minima and may generate trajectories that are difficult to execute in real time. To address these issues, this paper proposes a hierarchical, redundancy-driven real-time replanning framework. First, we perform Cartesian sampling on the task-constraint manifold to reduce the search dimension and generate multiple candidate joint configurations for each Cartesian sample via a redundancy mapping. During connection, manipulability and executability margin are used as evaluation metrics, so that redundant degrees of freedom are explicitly exploited in tree expansion and configuration selection. Second, at the local execution layer, we employ a null-space manipulability optimization strategy to continuously improve dexterity while keeping the primary task unchanged and combine it with a priority-based hard inequality constraint filtering mechanism to project the nominal motion onto the feasible set under joint limits, velocity bounds, and safety-distance constraints in real time. Unlike existing approaches that treat global planning and local control as loosely coupled modules, the proposed framework unifies redundancy reconfiguration, feasibility maintenance, and topological replanning within a single closed-loop structure, thereby reinterpreting local minima as event-triggered topology-switching conditions. To handle the mismatch between dynamic environments and real-time perception, we further introduce a feasibility-margin monitoring mechanism that triggers event-based replanning based on changes in manipulability, constraint scaling, and safety distance, enabling fast topology-level switching and escape from local minima. Simulation and experimental results show that the proposed method effectively restores manipulability through redundancy-driven configuration adjustment and achieves a higher success rate of local recovery under dynamic obstacle intrusion. In forced replanning scenarios, the framework further demonstrates faster environmental response and lower replanning overhead while maintaining better task-constraint stability compared with existing approaches. Full article
(This article belongs to the Section Systems & Control Engineering)
Show Figures

Figure 1

24 pages, 7253 KB  
Article
On the Design of Smooth Curvature Tunable Paths for Safe Motion of Autonomous Vehicles
by Gianfranco Parlangeli
Designs 2026, 10(2), 42; https://doi.org/10.3390/designs10020042 - 7 Apr 2026
Viewed by 182
Abstract
Navigation is an essential ability for autonomous systems, and efficient motion planning for mobile robots is a central topic for autonomous vehicle design and service robotics. Most path-planning algorithms produce reference paths with sharp or discontinuous turns, inducing several drawbacks during mission execution, [...] Read more.
Navigation is an essential ability for autonomous systems, and efficient motion planning for mobile robots is a central topic for autonomous vehicle design and service robotics. Most path-planning algorithms produce reference paths with sharp or discontinuous turns, inducing several drawbacks during mission execution, such as unexpected inertial stress and strain on the mechanical structure, passenger discomfort, and unsafe and unpredictable deviation of the real trajectory with respect to the reference planned one. Oppositely, smooth and feasible trajectories are often desired in real-time navigation for nonholonomic mobile robots where the surrounding environment can have a dynamic and complex shape with obstacles. In this paper, we propose a novel technique for the generation of smooth, collision-free, and near time-optimal paths for nonholonomic mobile robots. The proposed method exploits the features of a set of tunable bump functions, with the goal of pursuing smooth reference curves with tunable features (such as curvature, or jerk) yet seeking a reasonable length minimality, thus combining the advantages of the two most adopted techniques, namely Bezier interpolation and Dubins curves. After a thorough description of the analytical methods, the paper is primarily concerned with the design and tuning methods of the path-planning algorithm. Both a graphical method and numerical investigations and examples are performed to fully exploit the algorithm potentialities and to show the efficiency of the proposed strategy. Full article
Show Figures

Figure 1

30 pages, 8521 KB  
Article
Research on Compensation of Tooth Surface Twist Error in Form Grinding of Internal Helical Gears with Lead Modification
by Jing Deng, Shaoyang Li, Jianxin Su, Chuang Jiang and Hao Yang
Appl. Sci. 2026, 16(7), 3574; https://doi.org/10.3390/app16073574 - 6 Apr 2026
Viewed by 198
Abstract
To address the issue of tooth surface twist, induced by lead modification during the form grinding of internal helical gears, this paper proposes a twist error compensation method based on tooth surface accuracy measurement and machine tool motion correction. First, the generation mechanism [...] Read more.
To address the issue of tooth surface twist, induced by lead modification during the form grinding of internal helical gears, this paper proposes a twist error compensation method based on tooth surface accuracy measurement and machine tool motion correction. First, the generation mechanism of the twist error is analyzed. Through the calculation of the involute helicoid and the trajectory planning for lead modification, a mathematical model of the lead-modified internal helical gear surface is established. Subsequently, a kinematic model of the grinding process is developed, grounded in the spatial structure and feed motion relationships of the CNC form gear grinding machine. Based on this, the influence of machine feed motion errors on the tooth surface topological deviation is investigated, and a corresponding compensation strategy for the twist error is formulated. Finally, experimental grinding trials on internal helical gears were conducted. The measurement results of the tooth surface deviations demonstrate the validity and effectiveness of the proposed twist error compensation method. Full article
Show Figures

Figure 1

18 pages, 2109 KB  
Article
PAGF: Short-Horizon Forecasting of 3D Facial Landmarks
by Mingzhu Yan, Ye Yuan, Jian Liu and Fangyan Yang
Mathematics 2026, 14(7), 1222; https://doi.org/10.3390/math14071222 - 6 Apr 2026
Viewed by 256
Abstract
Short-term facial landmark forecasting is important for anticipatory facial behavior in human–robot interaction, yet models trained with pointwise reconstruction losses often suffer from mean reversion, producing low-error predictions with weakened motion dynamics. To address this issue, we propose a peak-aware gated recurrent unit [...] Read more.
Short-term facial landmark forecasting is important for anticipatory facial behavior in human–robot interaction, yet models trained with pointwise reconstruction losses often suffer from mean reversion, producing low-error predictions with weakened motion dynamics. To address this issue, we propose a peak-aware gated recurrent unit (GRU) framework that separates forecasting into peak planning and peak-conditioned trajectory generation. The planning stage estimates the timing and intensity of a salient motion peak within the forecast horizon together with a global motion direction, and the generation stage produces short-horizon landmark displacements through temporal gating and structured motion composition. The model is trained with reconstruction loss, peak supervision, peak-integrity regularization, and correlation-based temporal-shape regularization. Experiments on the MEAD dataset using 3D facial landmarks under a subject-independent protocol show a clear distortion–dynamics trade-off. Compared with static and sequence-to-sequence baselines, the proposed method better preserves peak-related facial dynamics while maintaining competitive 24-step prediction accuracy. Full article
Show Figures

Figure 1

Back to TopTop