3D LiDAR Point Cloud Registration Based on IMU Preintegration in Coal Mine Roadways
Abstract
1. Introduction
- We propose a point cloud registration method based on IMU preintegration. The system framework of this method mainly consists of four modules: IMU preintegration, point cloud preprocessing, point cloud frame matching and point cloud registration. The results show that our point cloud registration method has a higher accuracy, success rate and computational efficiency.
- The problem of point cloud distortion in LiDAR scanning is solved by introducing IMU sensor data and using the IMU linear interpolation correction method, which improves the quality of the original point cloud; the ground segmentation method using RANSAC to provide additional ground constraints for z-axis displacement; the stability of point cloud registration is improved by eliminating the unstable flawed points; the robustness of point cloud registration is improved by extracting the feature corner points and feature plane points from the point cloud.
- This method uses Gauss-Newton to solve the constraint relationship between IMU preintegration error and LiDAR registration error, so as to minimize the error function, complete the optimal registration of the LiDAR point cloud, and better estimate the pose of the mobile robot. Aiming at the special environment of point cloud feature degradation in coal mine roadways, compared with the method based on GICP, the LiDAR odometry constructed by using our point cloud registration method has higher track accuracy and can better reflect the authenticity of the track.
2. Related Works
2.1. Point-Based Method
2.2. Distribution-Based Method
2.3. Feature-Based Method
3. Materials and Methods
3.1. System Framework
- IMU preintegration module: the IMU preintegration model is constructed, and the IMU error equation is derived.
- Point cloud preprocessing module: the IMU linear interpolation method is used to correct the distortion of the point cloud to improve the quality of the original point cloud. Second, the ground segmentation method of RANSAC is used to segment the original point cloud into ground points and nonground points to provide additional ground constraints for z-axis displacement. Finally, the unstable flaw points are eliminated to improve the stability of point cloud registration.
- Point cloud frame matching module: feature corner points and plane points in the point cloud are extracted, and the point cloud registration error equation is constructed using the result of point cloud feature extraction between two frames.
- Point cloud registration module: the IMU error equation and the point cloud registration error equation are combined and solved by the Gauss–Newton method to minimize the error function and output the optimized position and pose.
3.2. IMU Preintegration Module
3.3. Point Cloud Preprocessing Module
3.3.1. LiDAR Point Cloud Distortion Correction Based on IMU Linear Interpolation
3.3.2. Ground Segmentation Based on RANSAC
- Select three points , , randomly from point cloud data P.
- Plane S is determined accoding to three points , and . The values of parameters a, b, c and d are determined by Formula (14).
- Calculate the number of points on plane S in point cloud data P. Set the plane thickness, (point to plane distance threshold), and calculate the distance between any point in P and plane S, where is calculated by Formula (15).
- 4.
- Repeat the above steps to sample K times and select Plane with the highest score.
- 5.
- The selected ground plane data were refitted to obtain ground plane parameters with less error.
3.3.3. Flaw Point Elimination
3.4. Point Cloud Frame Matching Module
3.5. Point Cloud Registration Module
| Algorithm 1: LiDAR point cloud registration algorithm |
| Input: IMU state variables at time k, point cloud {X} at frame k and point cloud {Y} at frame k + 1 |
| Output: State variable |
| 1: Solve PVQ between two IMU moments; |
| 2: Construct the error function of preintegration state quantity; |
| 3: The IMU state variable at time k is transferred to in the LiDAR coordinate system; |
| 4: Extract point cloud feature corner point and feature plane point ; |
| 5: Construct the point cloud registration error function between two frames; |
| 6: Joint optimization error function ; |
| 7: First order Taylor expansion according to ; |
| 8: Solve the optimal state variable ; |
| 9: Find and make reach the minimum; |
| 10: If is small enough do the following: |
| 11: Solve Jacobian matrix ; |
| 12: Return state variable ; |
| 13: Otherwise |
| 14: Update current status with ; |
| 15: Return to step 9; |
| 16: end. |
4. Results and Discussion
4.1. Point Cloud Distortion Correction Experiment
4.1.1. Point Cloud Distortion Caused by Translation
4.1.2. Point Cloud Distortion Caused by Rotation
4.2. Point Cloud Preprocessing Experiment
4.3. Point Cloud Registration Experiment
4.3.1. Quantitative Analysis
4.3.2. Comparison of Point Cloud Registration Success Rate
4.3.3. Calculation Complexity Comparison
4.4. Comparative Experiment of Constructing LiDAR Odometry Track Error in Coal Mine Roadway
4.4.1. Comparison of LiDAR Odometry Track Length Error
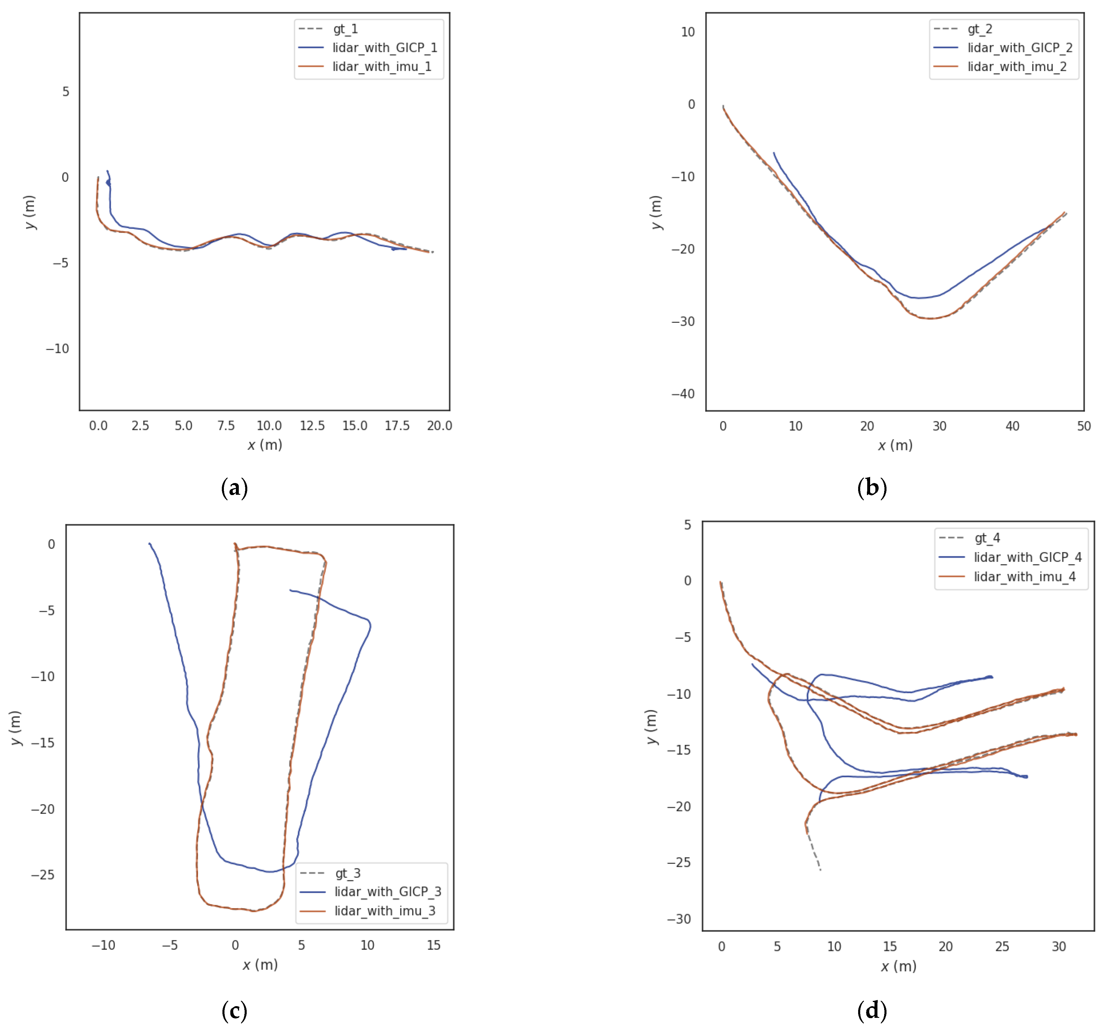
4.4.2. Comparison of Absolute Position and Pose Error of Trajectory
4.4.3. Absolute Position and Pose Error Comparison in Experiment 4
5. Conclusions
Author Contributions
Funding
Institutional Review Board Statement
Informed Consent Statement
Data Availability Statement
Acknowledgments
Conflicts of Interest
References
- Levinson, J.; Askeland, J.; Becker, J.; Dolson, J.; Held, D.; Kammel, S.; Kolter, J.Z.; Langer, D.; Pink, O.; Pratt, V.; et al. Towards Fully Autonomous Driving: Systems and Algorithms. In Proceedings of the 2011 IEEE Intelligent Vehicles Symposium (IV), Baden-Baden, Germany, 5–9 June 2011; IEEE: Piscataway, NJ, USA, 2011; pp. 163–168. [Google Scholar]
- Kim, H.; Liu, B.; Goh, C.Y.; Lee, S.; Myung, H. Robust vehicle localization using entropy-weighted particle filter-based data fusion of vertical and road intensity information for a large scale urban area. IEEE Robot. Autom. Lett. 2017, 2, 1518–1524. [Google Scholar] [CrossRef]
- Yoneda, K.; Tehrani, H.; Ogawa, T.; Hukuyama, N.; Mita, S. Lidar Scan Feature for Localization with Highly Precise 3-D Map. In Proceedings of the 2014 IEEE Intelligent Vehicles Symposium Proceedings, Dearborn, MI, USA, 8–11 June 2014; IEEE: Piscataway, NJ, USA, 2014; pp. 1345–1350. [Google Scholar]
- Jaakkola, A.; Hyyppä, J.; Kukko, A.; Yu, X.; Kaartinen, H.; Lehtomäki, M.; Lin, Y. A low-cost multi-sensoral mobile mapping system and its feasibility for tree measurements. ISPRS J. Photogramm. Remote Sens. 2010, 65, 514–522. [Google Scholar] [CrossRef]
- Premebida, C.; Ludwig, O.; Nunes, U. LIDAR and vision-based pedestrian detection system. J. Field Robot. 2009, 26, 696–711. [Google Scholar] [CrossRef]
- Besl, P.J.; McKay, N.D. Method for Registration of 3-D Shapes. In Proceedings of the Sensor Fusion IV: Control Paradigms and Data Structures, Boston, MA, USA, 30 April 1992; SPIE: Bellingham, WA, USA, 1992; Volume 1611, pp. 586–606. [Google Scholar]
- Biber, P.; Straßer, W. The Normal Distributions Transform: A New Approach to Laser Scan Matching. In Proceedings of the 2003 IEEE/RSJ International Conference on Intelligent Robots and Systems (IROS 2003) (Cat. No. 03CH37453), Las Vegas, NV, USA, 27–31 October 2003; IEEE: Piscataway, NJ, USA, 2003; Volume 3, pp. 2743–2748. [Google Scholar]
- Zhang, J.; Singh, S. LOAM: Lidar Odometry and Mapping in Real-Time. In Proceedings of the Robotics: Science and Systems, Berkeley, CA, USA, 30 January 2014; Volume 2, pp. 1–9. [Google Scholar]
- Qi, C.R.; Su, H.; Mo, K.; Guibas, L.J. Pointnet: Deep Learning on Point Sets for 3d Classification and Segmentation. In Proceedings of the IEEE Conference on Computer Vision and Pattern Recognition, Honolulu, HI, USA, 21–26 July 2017; pp. 652–660. [Google Scholar]
- Wang, Y.; Sun, Y.; Liu, Z.; Sarma, S.E.; Bronstein, M.M.; Solomon, J.M. Dynamic graph CNN for learning on point clouds. ACM Trans. Graph. 2019, 38, 1–12. [Google Scholar] [CrossRef]
- Kim, H.; Song, S.; Myung, H. GP-ICP: Ground plane ICP for mobile robots. IEEE Access 2019, 7, 76599–76610. [Google Scholar] [CrossRef]
- Censi, A. An ICP Variant Using a Point-To-Line Metric. In Proceedings of the 2008 IEEE International Conference on Robotics and Automation, Pasadena, CA, USA, 19–23 May 2008; pp. 19–25. [Google Scholar]
- Low, K.L. Linear least-squares optimization for point-to-plane icp surface registration. Chapel Hill Univ. North Carol. 2004, 4, 1–3. [Google Scholar]
- Chen, Y.; Medioni, G. Object modelling by registration of multiple range images. Image Vis. Comput. 1992, 10, 145–155. [Google Scholar] [CrossRef]
- Segal, A.; Haehnel, D.; Thrun, S. Generalized-Icp. In Proceedings of the Robotics: Science and Systems, Seattle, WA, USA, 28 June–1 July 2009; Volume 2, p. 435. [Google Scholar]
- Pomerleau, F.; Colas, F.; Siegwart, R.; Magnenat, S. Comparing ICP variants on real-world data sets. Auton. Robot. 2013, 34, 133–148. [Google Scholar] [CrossRef]
- Yoshitaka, H.; Hirohiko, K.; Akihisa, O.; Shin’ichi, Y. Mobile Robot Localization and Mapping by Scan Matching using Laser Reflection Intensity of the Sokuiki Sensor. In Proceedings of the IECON 2006—32nd Annual Conference on IEEE Industrial Electronics, Paris, France, 6–10 November 2006; IEEE: Piscataway, NJ, USA, 2006; pp. 3018–3023. [Google Scholar]
- Alismail, H.; Baker, L.D.; Browning, B. Continuous Trajectory Estimation for 3D SLAM From Actuated Lidar. In Proceedings of the 2014 IEEE International Conference on Robotics and Automation (ICRA), Hong Kong, China, 31 May–7 June 2014; IEEE: Piscataway, NJ, USA, 2014; pp. 6096–6101. [Google Scholar]
- Magnusson, M.; Nuchter, A.; Lorken, C.; Lilienthal, A.J.; Hertzberg, J. Evaluation of 3D Registration Reliability and Speed—A Comparison of ICP and NDT. In Proceedings of the 2009 IEEE International Conference on Robotics and Automation, Kobe, Japan, 12–17 May 2009; IEEE: Piscataway, NJ, USA, 2009; pp. 3907–3912. [Google Scholar]
- Magnusson, M.; Lilienthal, A.J.; Duckett, T. Scan Registration for Autonomous Mining Vehicles Using 3D-NDT. J. Field Robot. 2007, 24, 803–827. [Google Scholar] [CrossRef]
- Magnusson, M. The Three-Dimensional Normal-Distributions Transform: An Efficient Representation Forregistration, Surface Analysis, and Loop Detection. Ph.D. Thesis, Orebro University, Örebro, Sweden, 2009. [Google Scholar]
- Stoyanov, T.; Magnusson, M.; Andreasson, H.; Lilienthal, A.J. Fast and accurate scan registration through minimization of the distance between compact 3D NDT representations. Int. J. Robot. Res. 2012, 31, 1377–1393. [Google Scholar] [CrossRef]
- Nakamura, T.; Tashita, Y. Congruence Transformation Invariant Feature Descriptor for Robust 2D Scan Matching. In Proceedings of the IEEE International Conference on Systems, Man, and Cybernetics, Manchester, UK, 13–16 October 2014; pp. 1648–1653. [Google Scholar]
- Nakamura, T.; Wakita, S. Robust global scan matching method using congruence transformation invariant feature descriptors and a geometric constraint between keypoints. Trans. Soc. Instrum. Control. Eng. 2015, 51, 309–318. [Google Scholar] [CrossRef]
- Taleghani, S.; Sharbafi, M.A.; Haghighat, A.T.; Esmaeili, E. ICE Matching, a Robust Mobile Robot Localization with Application to SLAM. In Proceedings of the IEEE International Conference on TOOLS with Artificial Intelligence, Arras, France, 27–29 October 2010; pp. 186–192. [Google Scholar]
- Tipaldi, G.D.; Braun, M.; Arras, K.O. FLIRT: Interest Regions for 2D Range Data with Applications to Robot Navigation. In Experimental Robotics, Proceedings of the 12th International Symposium on Experimental Robotics, Agra, India, 18–21 December 2010; Springer: Berlin/Heidelberg, Germany, 2014; pp. 695–710. [Google Scholar]
- Tombari, F.; Salti, S.; Di Stefano, L. Performance Evaluation of 3D Keypoint Detectors. Int. J. Comput. Vis. 2013, 102, 198–220. [Google Scholar] [CrossRef]
- Guo, Y.; Bennamoun, M.; Sohel, F.; Lu, M.; Wan, J.; Kwok, N.M. A Comprehensive Performance Evaluation of 3D Local Feature Descriptors. Int. J. Comput. Vis. 2016, 116, 66–89. [Google Scholar] [CrossRef]
- Liu, S.; Atia, M.M.; Gao, Y.; Noureldin, A. Adaptive Covariance Estimation Method for LiDAR-Aided Multi-Sensor Integrated Navigation Systems. Micromachines 2015, 6, 196–215. [Google Scholar] [CrossRef]
- Nobili, S.; Scona, R.; Caravagna, M.; Fallon, M. Overlap-Based ICP Tuning for Robust Localization of a Humanoid Robot. In Proceedings of the IEEE International Conference on Robotics and Automation, Singapore, 29 May–3 June 2017; pp. 4721–4728. [Google Scholar]
- Shan, T.; Englot, B. Lego-Loam: Light Weight and Ground Optimized Lidar Odometry and Mapping on Variable Terrain. In Proceedings of the 2018 IEEE/RSJ International Conference on Intelligent Robots and Systems (IROS), Madrid, Spain, 1–5 October 2018; IEEE: Piscataway, NJ, USA, 2018; pp. 4758–4765. [Google Scholar]
- Fischler, M.A.; Bolles, R.C. Random Sample Consensus: A Paradigm for Model Fitting with Applications to Image Analysis and Automated Cartography. Commun. ACM 1981, 24, 381–395. [Google Scholar] [CrossRef]
- Wu, B.; Ma, J.; Chen, G.; An, P. Feature Interactive Representation for Point Cloud Registration. In Proceedings of the IEEE/CVF International Conference on Computer Vision, Montreal, QC, Canada, 10–17 October 2021; pp. 5530–5539. [Google Scholar]
- Yang, L.; Ma, H.; Wang, Y.; Xia, J.; Wang, C. A Tightly Coupled LiDAR-Inertial SLAM for Perceptually Degraded Scenes. Sensors 2022, 22, 3063. [Google Scholar] [CrossRef] [PubMed]















| Experiment | Axis (m) | Degree (°) | LiDAR with IMU | GICP | ICP | NDT | ||||
|---|---|---|---|---|---|---|---|---|---|---|
| a | X | Roll | 0.0029 | 0.0011 | 0.2811 | 0.0405 | −1.0352 | 0.2291 | −9.6645 | 0.3725 |
| Y | Ritch | −0.0030 | 0.0025 | 0.3343 | 0.0496 | 0.3252 | 0.5522 | −0.3270 | 0.4751 | |
| Z | Yaw | 0.0050 | 0.0094 | 0.0145 | −0.0556 | −0.0023 | −0.8689 | −0.9153 | −0.8260 | |
| b | X | Roll | −0.0040 | −0.0074 | −1.0034 | 0.0166 | −0.9182 | 0.9454 | −0.9926 | −0.1519 |
| Y | Ritch | 0.0016 | 0.0022 | −0.0238 | −0.0348 | 0.1124 | −0.3685 | 0.1607 | −0.3705 | |
| Z | Yaw | −0.0047 | 0.0063 | −0.0393 | 0.1230 | −0.4297 | 0.1361 | −0.6582 | 0.1308 | |
| c | X | Roll | −0.0091 | 0.0012 | −0.0388 | 0.0267 | −2.2227 | −0.1868 | −2.2593 | 0.5345 |
| Y | Ritch | 0.0037 | 0.0039 | −0.0848 | −0.0236 | −0.7846 | −0.9348 | −0.8508 | −0.1745 | |
| Z | Yaw | 0.0016 | 0.0041 | −0.1148 | 0.0692 | −0.0483 | 0.7116 | −0.2102 | 0.7126 | |
| Number | Groundtruth | LiDAR_with_GICP | LiDAR_with_imu | ||
|---|---|---|---|---|---|
| Length (m) | Length (m) | Error (%) | length (m) | Error (%) | |
| 1 | 24.62 | 22.76 | 7.55 | 24.49 | 0.52 |
| 2 | 68.02 | 52.83 | 22.33 | 67.05 | 1.43 |
| 3 | 68.65 | 58.81 | 14.33 | 66.03 | 3.82 |
| 4 | 133.91 | 98.26 | 26.62 | 128.76 | 3.85 |
| Number | Algorithm Comparison | Ma x(m) | Min (m) | Mean (m) | RMSE (m) | Std (m) |
|---|---|---|---|---|---|---|
| 1 | LiDAR_with_GICP_1 | 3.138 | 1.879 | 2.481 | 2.495 | 0.291 |
| LiDAR_with_imu_1 | 2.830 | 1.860 | 2.201 | 2.220 | 0.253 | |
| 2 | LiDAR_with_GICP_2 | 9.899 | 2.115 | 4.131 | 4.523 | 1.841 |
| LiDAR_with_imu_2 | 3.039 | 2.084 | 2.680 | 2.692 | 0.248 | |
| 3 | LiDAR_with_GICP_3 | 6.946 | 2.629 | 4.497 | 4.684 | 1.310 |
| LiDAR_with_imu_3 | 1.831 | 0.0137 | 0.151 | 0.364 | 0.331 | |
| 4 | LiDAR_with_GICP_4 | 13.375 | 1.838 | 4.205 | 4.871 | 2.459 |
| LiDAR_with_imu_4 | 0.332 | 0.024 | 0.158 | 0.171 | 0.065 |
Disclaimer/Publisher’s Note: The statements, opinions and data contained in all publications are solely those of the individual author(s) and contributor(s) and not of MDPI and/or the editor(s). MDPI and/or the editor(s) disclaim responsibility for any injury to people or property resulting from any ideas, methods, instructions or products referred to in the content. |
© 2023 by the authors. Licensee MDPI, Basel, Switzerland. This article is an open access article distributed under the terms and conditions of the Creative Commons Attribution (CC BY) license (https://creativecommons.org/licenses/by/4.0/).
Share and Cite
Yang, L.; Ma, H.; Nie, Z.; Zhang, H.; Wang, Z.; Wang, C. 3D LiDAR Point Cloud Registration Based on IMU Preintegration in Coal Mine Roadways. Sensors 2023, 23, 3473. https://doi.org/10.3390/s23073473
Yang L, Ma H, Nie Z, Zhang H, Wang Z, Wang C. 3D LiDAR Point Cloud Registration Based on IMU Preintegration in Coal Mine Roadways. Sensors. 2023; 23(7):3473. https://doi.org/10.3390/s23073473
Chicago/Turabian StyleYang, Lin, Hongwei Ma, Zhen Nie, Heng Zhang, Zhongyang Wang, and Chuanwei Wang. 2023. "3D LiDAR Point Cloud Registration Based on IMU Preintegration in Coal Mine Roadways" Sensors 23, no. 7: 3473. https://doi.org/10.3390/s23073473
APA StyleYang, L., Ma, H., Nie, Z., Zhang, H., Wang, Z., & Wang, C. (2023). 3D LiDAR Point Cloud Registration Based on IMU Preintegration in Coal Mine Roadways. Sensors, 23(7), 3473. https://doi.org/10.3390/s23073473

