Remaining Useful Life Prediction of Rolling Bearings Using GRU-DeepAR with Adaptive Failure Threshold
Abstract
1. Introduction
2. DeepAR Model
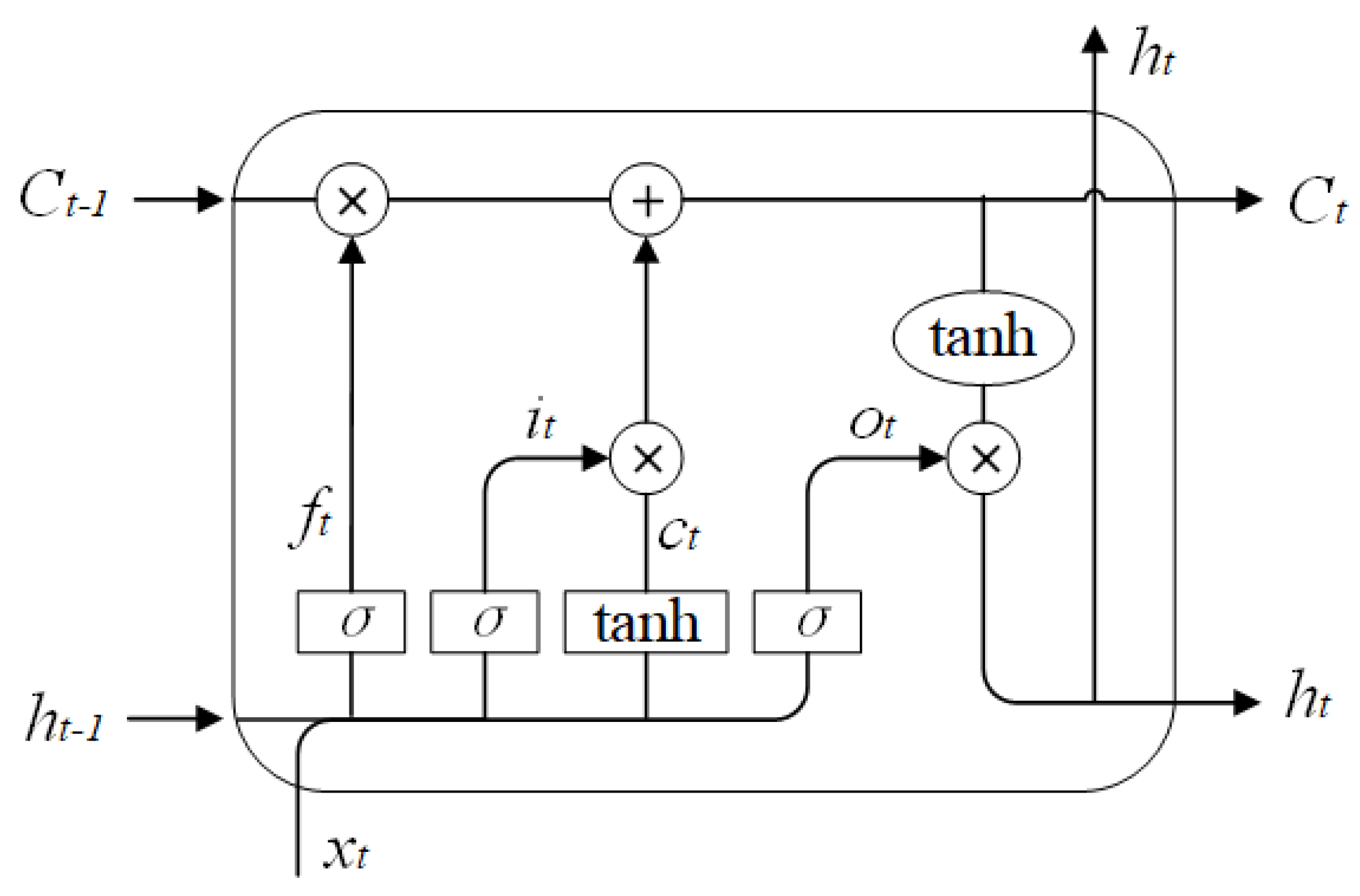
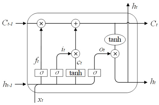
2.1. LSTM Model
2.2. GRU Model
2.3. GRU-DeepAR Model
3. RUL Prediction of Rolling Bearings Based on GRU-DeepAR Model
- Feature extraction of vibration signal
- 2.
- Adaptive determination of failure thresholds
- 3.
- Model training
- 4.
- RUL prediction and error evaluation
- Collect the vibration data of rolling bearing to the current moment and extract the features of the vibration data;
- Divide the operation stages and determine the starting point of degradation and adaptively determine the failure threshold;
- Input all the data after the starting point of degradation into the proposed model for model training;
- Predict the amplitude after the current moment using the trained model and the predicted failure point is obtained when the amplitude is larger than the failure threshold.
4. Experimental Verification
4.1. XJTU-SY Dataset Experimental Verification
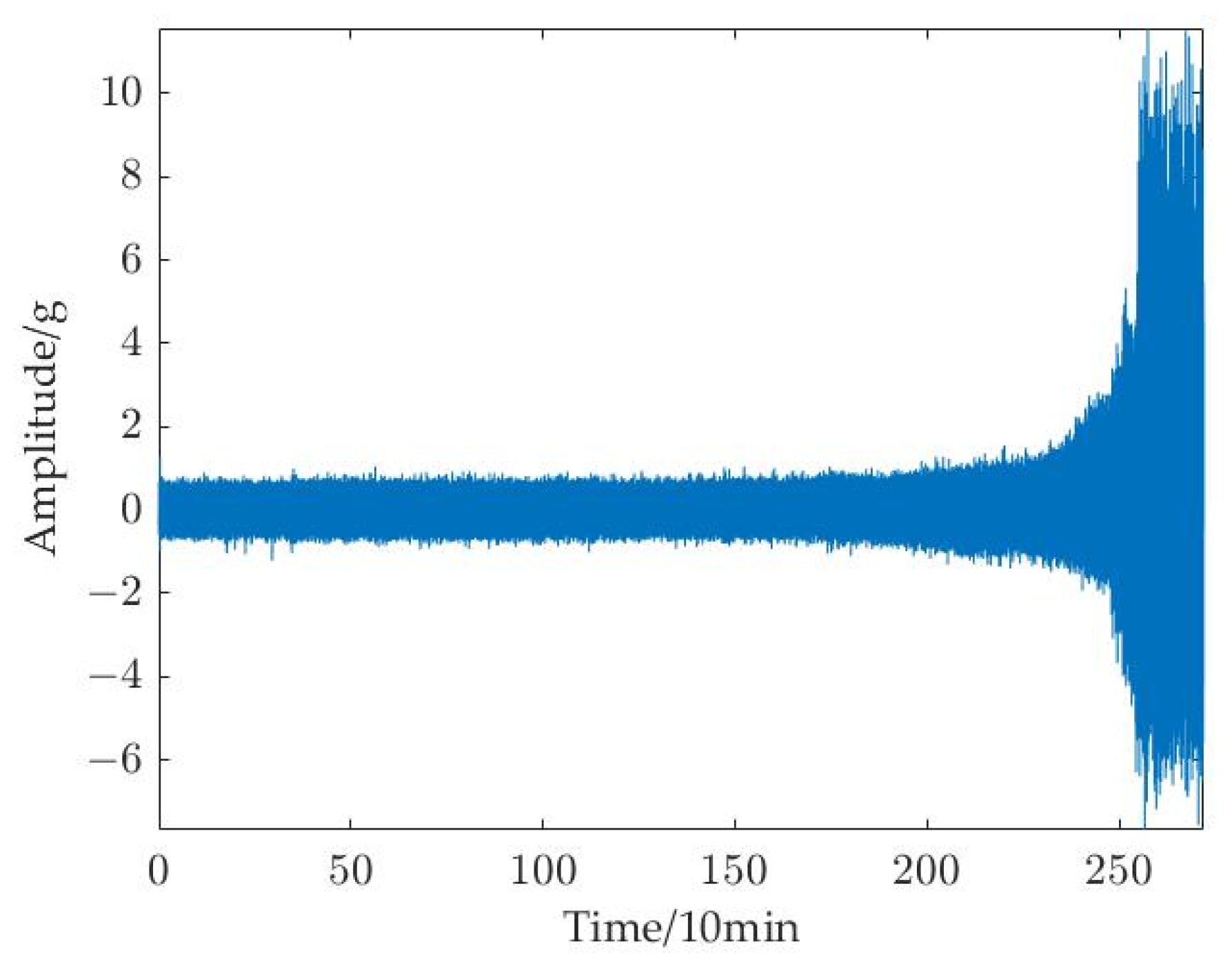
4.1.1. Test Data
4.1.2. GRU-DeepAR Model Training
4.1.3. Test Results
4.2. Self-Made Rolling Bearing Accelerated Degradation Testbed Experimental Verification
4.2.1. Test Data
4.2.2. Test Results
4.3. Comparative Experiment
5. Analysis and Discussion
6. Conclusions
- Effective degradation information can be rapidly extracted as model input by dividing the bearing operation stage into smooth operation and degradation stage;
- The results of RUL prediction of the rolling bearings under various operating conditions and degradation modes are accurate using the adaptive failure thresholds;
- The GRU-DeepAR prediction model has good generalization and stability in the RUL prediction of rolling bearings, which improves the prediction accuracy;
- In actual engineering, since the determination of the failure threshold only depends on the data in the smooth operation stage, real-time RUL prediction of rolling bearings can be realized even before the entire life data of the bearing is obtained.
Author Contributions
Funding
Institutional Review Board Statement
Informed Consent Statement
Data Availability Statement
Conflicts of Interest
References
- Chang, Z.; Yuan, W.; Huang, K. Remaining useful life prediction for rolling bearings using multi-layer grid search and LSTM. Comput. Electr. Eng. 2022, 101, 108083. [Google Scholar] [CrossRef]
- Lin, Y.; Li, X.; Hu, Y. Deep diagnostics and prognostics: An integrated hierarchical learning framework in PHM applications. Appl. Soft Comput. 2018, 72, 555–564. [Google Scholar] [CrossRef]
- Liu, H.; Liu, Z.; Jia, W.; Zhang, D.; Tan, J. Current research and challenges of deep learning for equipment remaining useful life prediction. Comput. Integr. Manuf. Syst. 2021, 27, 34–52. [Google Scholar]
- Yang, X.; Ji, G. Remaining useful lifetime prediction method of rolling bearing based on fusion-CNN. Foreign Electron. Meas. Technol. 2021, 40, 62–67. [Google Scholar]
- Wang, Y.; Li, S.; Kang, S.; Xie, J.; Mikulovich, V.I. Method of Predicting Remaining Useful Life of Rolling Bearing Combining CNN and LSTM. J. Vib. Meas. Diagn. 2021, 41, 439–446+617. [Google Scholar]
- Zhang, J.; Zou, Y.; Jiang, Y.; Zeng, D. Prediction method for bearing residual life based on a FCVAE network. J. Vib. Shock 2020, 39, 13–18+25. [Google Scholar]
- Yao, D.; Li, B.; Liu, H.; Yao, J.; Pi, Y. Residual life prediction of rolling bearing based on attention GRU algorithm. J. Vib. Shock 2021, 40, 116–123. [Google Scholar]
- Zhu, G.; Li, W.; Du, S.; Cui, J. Time series prediction and application examples based on deep learning model DeepAR. E-Bus. J. 2020, 27, 83–86. [Google Scholar]
- Zhu, J.; Jiang, Q.; Shen, Y.; Qian, C.; Xu, F.; Zhu, Q. Application of recurrent neural network to mechanical fault diagnosis: A review. J. Mech. Sci. Technol. 2022, 36, 527–542. [Google Scholar] [CrossRef]
- Meng, M.; Zhu, M. Deep Convolution-based LSTM Network for Remaining Useful Life Prediction. IEEE Trans. Ind. Inform. 2020, 17, 1658–1667. [Google Scholar]
- Zhou, J.; Qin, Y.; Chen, D.; Liu, F.; Qian, Q. Remaining useful life prediction of bearings by a new reinforced memory GRU network. Adv. Eng. Inform. 2022, 53, 101682. [Google Scholar] [CrossRef]
- Xu, H.; Chong, Z.; Hong, G.; Zhou, J.; Woon, K.S. Gated Recurrent Units Based Neural Network For Tool Condition Monitoring. In Proceedings of the 2018 International Joint Conference on Neural Networks (IJCNN), Rio de Janeiro, Brazil, 8–13 July 2018. [Google Scholar]
- Salinas, D.; Flunkert, V.; Gasthaus, J. DeepAR: Probabilistic forecasting with autoregressive recurrent networks. Int. J. Forecast. 2020, 36, 1181–1191. [Google Scholar] [CrossRef]
- Wang, B.; Lei, Y.; Li, N.; Li, N. A Hybrid Prognostics Approach for Estimating Remaining Useful Life of Rolling Element Bearings. IEEE Trans. Reliab. 2020, 69, 401–412. [Google Scholar] [CrossRef]
- Babu, G.S.; Zhao, P.; Li, X. Deep Convolutional Neural Network Based Regression Approach for Estimation of Remaining Useful Life. In Database Systems for Advanced Applications; Navathe, S., Wu, W., Shekhar, S., Du, X., Wang, X., Xiong, H., Eds.; Springer: Cham, Switzerland, 2016; pp. 214–228. [Google Scholar]
- Kong, Z.; Cui, Y.; Zhou, X.; He, L. Convolution and Long Short-Term Memory Hybrid Deep Neural Networks for Remaining Useful Life Prognostics. Appl. Sci. 2019, 9, 4156. [Google Scholar] [CrossRef]
- Xu, W.; Jiang, Q.; Shen, Y.; Xu, F.; Zhu, Q. RUL prediction for rolling bearings based on Convolutional Autoencoder and status degradation model. Appl. Soft Comput. J. 2022, 130, 109686. [Google Scholar] [CrossRef]
- Gao, S.; Xiong, X.; Zhou, Y.; Zhang, J. Bearing Remaining Useful Life Prediction Based on a Scaled Health Indicator and a LSTM Model with Attention Mechanism. Machines 2021, 9, 238. [Google Scholar] [CrossRef]
- Liu, Z.; Meng, X.; Wei, H.; Chen, L.; Lu, B.; Wang, Z.; Chen, L. A Regularized LSTM Method for Predicting Remaining Useful Life of Rolling Bearings. Int. J. Autom. Comput. 2021, 18, 581–593. [Google Scholar] [CrossRef]
- Wen, H.; Chen, W. RUL Prediction Method Based on DCNN-LSTM Hybrid Model. J. Ordnance Equip. Eng. 2020, 41, 87–92+126. [Google Scholar]














| Type | Feature |
|---|---|
| time-domain feature | maximum |
| minimum | |
| average | |
| peak-to-peak | |
| square root magnitude | |
| rectified average | |
| variance | |
| kurtosis | |
| skewness | |
| root mean square | |
| dimensionless feature | waveform factor |
| peak factor | |
| impulse factor | |
| clearance factor | |
| frequency-domain feature | mean square spectrum |
| root mean square spectrum | |
| frequency domain average amplitude | |
| frequency domain variance | |
| frequency domain peak | |
| center of gravity frequency |
| Operating Condition | Rotational Speed/(r/min) | Radial Force/(kN) |
|---|---|---|
| condition 1 | 2100 | 12 |
| condition 2 | 2500 | 11 |
| condition 3 | 2400 | 10 |
| Epochs | Batch_size | Window_size | Layers | Units |
|---|---|---|---|---|
| 20 | 16 | 20 | 3 | 128 |
| Dataset | Dataset | MSE | MAE |
|---|---|---|---|
| XJTU-SY bearing1_3 | CNN | 0.1691 | 0.2169 |
| LSTM | 0.1898 | 0.2700 | |
| GRU-DeepAR | 0.0941 | 0.1916 | |
| XJTU-SY bearing2_1 | CNN | 0.1437 | 0.1929 |
| LSTM | 0.1698 | 0.1559 | |
| GRU-DeepAR | 0.0963 | 0.1421 | |
| Self-made testbed dataset | CNN | 0.2637 | 0.1812 |
| LSTM | 0.3736 | 0.2489 | |
| GRU-DeepAR | 0.0415 | 0.1647 |
Disclaimer/Publisher’s Note: The statements, opinions and data contained in all publications are solely those of the individual author(s) and contributor(s) and not of MDPI and/or the editor(s). MDPI and/or the editor(s) disclaim responsibility for any injury to people or property resulting from any ideas, methods, instructions or products referred to in the content. |
© 2023 by the authors. Licensee MDPI, Basel, Switzerland. This article is an open access article distributed under the terms and conditions of the Creative Commons Attribution (CC BY) license (https://creativecommons.org/licenses/by/4.0/).
Share and Cite
Li, J.; Wang, Z.; Liu, X.; Feng, Z. Remaining Useful Life Prediction of Rolling Bearings Using GRU-DeepAR with Adaptive Failure Threshold. Sensors 2023, 23, 1144. https://doi.org/10.3390/s23031144
Li J, Wang Z, Liu X, Feng Z. Remaining Useful Life Prediction of Rolling Bearings Using GRU-DeepAR with Adaptive Failure Threshold. Sensors. 2023; 23(3):1144. https://doi.org/10.3390/s23031144
Chicago/Turabian StyleLi, Jiahui, Zhihai Wang, Xiaoqin Liu, and Zhengjiang Feng. 2023. "Remaining Useful Life Prediction of Rolling Bearings Using GRU-DeepAR with Adaptive Failure Threshold" Sensors 23, no. 3: 1144. https://doi.org/10.3390/s23031144
APA StyleLi, J., Wang, Z., Liu, X., & Feng, Z. (2023). Remaining Useful Life Prediction of Rolling Bearings Using GRU-DeepAR with Adaptive Failure Threshold. Sensors, 23(3), 1144. https://doi.org/10.3390/s23031144

