The Improved Particle Swarm Optimization Method: An Efficient Parameter Tuning Method with the Tuning Parameters of a Dual-Motor Active Disturbance Rejection Controller
Abstract
:1. Introduction
- (i)
- The proposed method effectively addresses the issue of ADRC parameter setting without local premature convergence and does not rely on dataset training.
- (ii)
- The ADRC is added into the dual-motor coupling control system to replace the PI control in the traditional dual-motor coupling control system. The new dual-motor coupling control system uses the ADRC speed loop and current loop as feedback control.
- (iii)
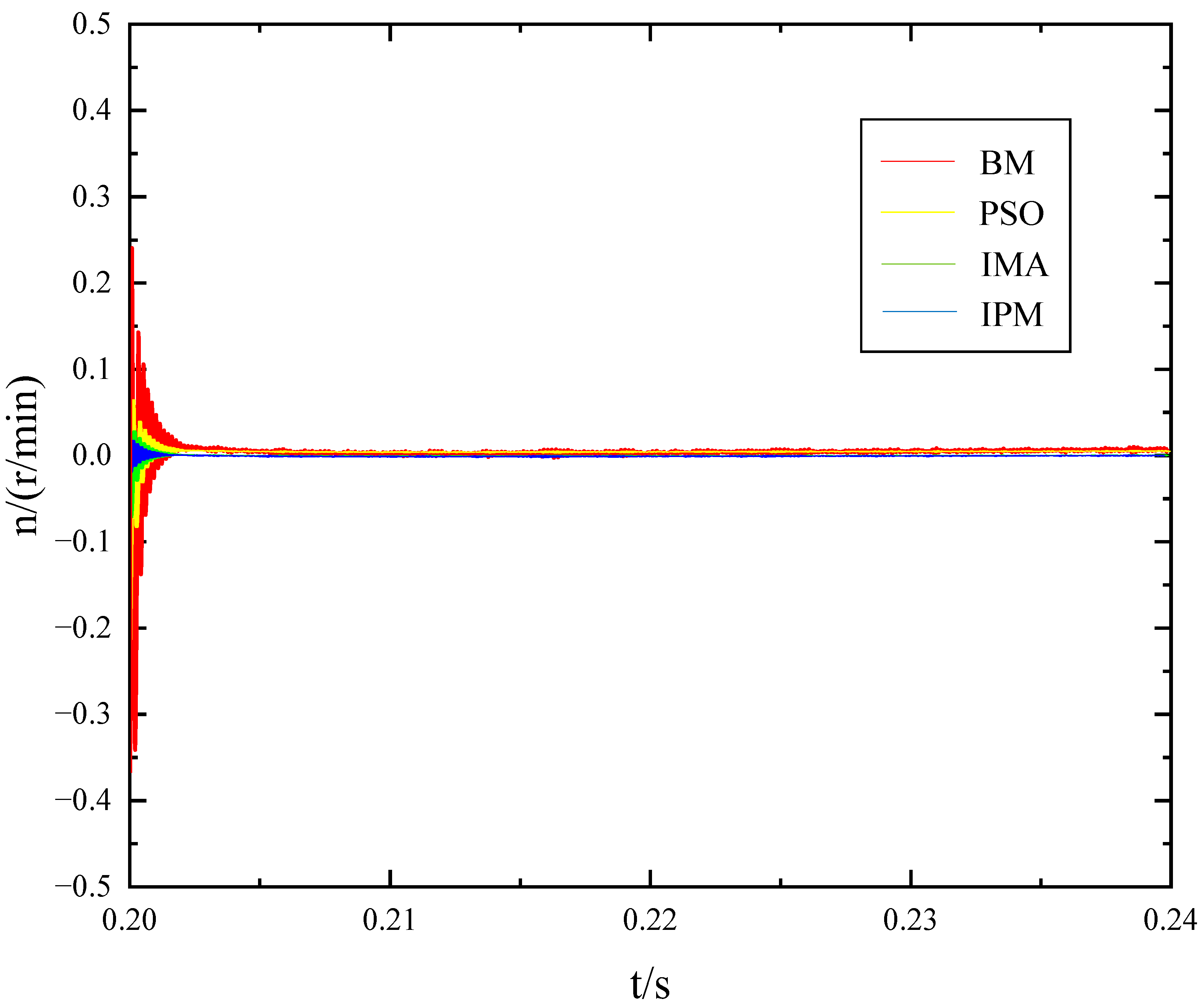
- The experimental results demonstrate the efficient parameter selection capability of the IPM for the ADRC, leading to reduced overshoot steady-state errors (REs) and enhanced immunity performance in dual-motor ADRC systems. The evaluation function (EF) designed in this study is only 1.139, which is 1.298 lower than that of the state-of-the-art method.
2. Mathematical Model of SPMSM
3. Proposed IPM
3.1. ADRC Decouping for Vector Control
3.2. Design and Implementation of ADRC
3.2.1. Composition of ADRC
3.2.2. Design of Current Loop ADRC
3.2.3. Design of Speed Loop ADRC
3.2.4. Stability of Extended State Observer
3.3. IPM
3.3.1. Tuning of ADRC Parameters Using IPM
- (1)
- The adjustment time (AT) should be considered to reach the target speed as quickly as possible.
- (2)
- In the process of motor acceleration, when the motor exceeds the set speed, the difference should be as small as possible, which means the system overshoot should be small.
- (3)
- The fluctuation between each motor and the set speed should be as small as possible.
3.3.2. Parameter Selection Using IPM
4. Experimental Results and Discussion
4.1. Experimental Platform
4.2. Comparison of Experimental Results and Analysis
4.3. Experimental Results and Analysis of the Dual-Motor System
4.4. Results and Discussion
5. Conclusions
Author Contributions
Funding
Institutional Review Board Statement
Informed Consent Statement
Data Availability Statement
Conflicts of Interest
References
- Jerković Štil, V.; Varga, T.; Benšić, T.; Barukčić, M. A Survey of Fuzzy Algorithms Used in Multi-Motor Systems Control. Electronics 2020, 9, 1788. [Google Scholar] [CrossRef]
- Li, X.; Xue, Z.; Yan, X.; Zhang, L.; Ma, W.; Hua, W. Low-Complexity Multivector-Based Model Predictive Torque Control for PMSM With Voltage Preselection. IEEE Trans. Power 2021, 36, 11726–11738. [Google Scholar] [CrossRef]
- Zhang, M.; Song, B.; Wang, J. Circulating current control strategy based on equivalent feeder for parallel inverters in islanded microgrid. IEEE Trans. Power Syst. 2019, 34, 595–605. [Google Scholar] [CrossRef]
- Chen, H.; Lu, C.; Rout, U.S. Decoupled master-slave current balancing control for three-phase interleaved boost converters. IEEE Trans. Power Electron. 2018, 33, 3683–3687. [Google Scholar] [CrossRef]
- Perez-Pinal, F.J.; Calderon, G.; Araujo-Vargas, I. Relative coupling strategy. In Proceedings of the IEEE International Electric Machines and Drives Conference, Madison, WI, USA, 1–4 June 2003; pp. 1162–1166. [Google Scholar]
- Li, Q.; Yang, C.; Li, H.; Zhang, M.; Liu, P.; Cheng, X.; Guo, P. Improved deviation coupling synchronous control based on adaptive fuzzy PID in Proc. In Proceedings of the 2019 IEEE 8th International Conference on Fluid Power and Mechatronics (FPM), Wuhan, China, 10–13 April 2019; pp. 567–574. [Google Scholar]
- Koren, Y. Cross-coupled biaxial computer control for manufacturing systems. J. Dyn. Syst. Meas. Control 1980, 102, 265–272. [Google Scholar] [CrossRef]
- Lin, F.; Chou, P.; Chen, C.; Lin, Y. DSP-Based Cross-Coupled Synchronous Control for Dual Linear Motors via Intelligent Complementary Sliding Mode Control. IEEE Trans. Ind. Electron. 2012, 59, 1061–1073. [Google Scholar] [CrossRef]
- Han, J. Active Disturbance Rejection Control Technique: The Technique for Estimating and Compensating the Uncertainties; National Defense Industry Press: Beijing, China, 2008; pp. 197–270. [Google Scholar]
- Yang, S.; Xi, L.; Gong, G.; Dong, H. An ESO of ADRC Parameter Setting Method Based on PSO. In Proceedings of the 2019 International Conference on Computer Network, Electronic and Automation (ICCNEA), Xi’an, China, 27–29 September 2019; pp. 421–425. [Google Scholar]
- Gao, B.; Zheng, L.; Shen, W.; Zhang, W. A Summary of Parameter Tuning of Active Disturbance Rejection Controller. Recent Adv. Electr. Electron. Eng. 2023, 16, 180–196. [Google Scholar] [CrossRef]
- Chen, Z.; Hao, Y.; Su, Z.; Li, S. Data-Driven Iterative Tuning Based Active Disturbance Rejection Control for FOPTD Model. ISA Trans. 2022, 128, 593–605. [Google Scholar] [CrossRef]
- Wang, Y.; Tan, W.; Cui, W. Tuning of Linear Active Disturbance Rejection Controllers for Second-Order Underdamped Systems with Time Delay. ISA Trans. 2021, 118, 83–93. [Google Scholar] [CrossRef]
- Lu, W.; Li, Q.; Lu, K.; Lu, Y.; Guo, L.; Yan, W.; Xu, F. Load Adaptive PMSM Drive System Based on an Improved ADRC for Manipulator Joint. IEEE Access 2021, 9, 33369–33384. [Google Scholar] [CrossRef]
- Gao, Z. Scaling and Bandwidth-Parameterization Based Controller Tuning. In Proceedings of the 2003 American Control Conference, Denver, CO, USA, 4–6 June 2003; pp. 4989–4996. [Google Scholar]
- Qu, Y.; Zhang, B.; Chu, H.; Yang, X.; Shen, H.; Zhang, J. Linear-Nonlinear Switching Active Disturbance Rejection Speed Controller for Permanent Magnet Synchronous Motors. Sensors 2022, 22, 9611. [Google Scholar] [CrossRef]
- Zhang, B.; You, S.; Liu, M.; Zhou, X. Design and Parameter Tuning of Nonlinear Active Disturbance Rejection Controller for Permanent Magnet Direct Drive Wind Power Converter System. IEEE Access 2021, 9, 33836–33848. [Google Scholar] [CrossRef]
- Li, S.; Zhang, S.; Liu, Y.; Zhou, S. Adjusting the parameters of the ADR controller according to the system time scale. Control Theory Appl. 2012, 1, 125–129. [Google Scholar]
- Shao, L.; Liao, X.; Zhang, Y. Parameter tuning of active disturbance rejection controller for induction motor based on time scale. Control Theory Appl. 2008, 25, 205–209. [Google Scholar]
- Yang, X.; Huang, Q.; Jing, S.; Zhang, M. Servo System Control of Satcom on the Move Based on Improved ADRC Controller. Energy Rep. 2022, 8, 1062–1070. [Google Scholar] [CrossRef]
- Ma, X.; Wen, Q. Stability Study of an Interventional Surgery Robot Based on Active Disturbance Rejection Control. Electronics 2023, 12, 2115. [Google Scholar] [CrossRef]
- Liu, G.; Xu, C.; Wang, L. Modified ADRC Design of Permanent Magnet Synchronous Motor Based on Improved Memetic Algorithm. Sensors 2023, 23, 3621. [Google Scholar] [CrossRef]
- Liang, H.; Yu, W.; Chen, R.; Luo, Y. Fractional Active Disturbance Rejection Controller Based on Improved Differential Evolution Algorithm. In Proceedings of the 17th IEEE/ASME International Conference on Mechatronic and Embedded Systems and Applications (MESA), Online, 17–19 August 2021. [Google Scholar]
- Deng, Y.; Zhou, T.; Zhao, G.; Zhu, K.; Xu, Z.; Liu, H. Energy Saving Planner Model via Differential Evolutionary Algorithm for Bionic Palletizing Robot. Sensors 2022, 22, 7545. [Google Scholar] [CrossRef]
- Wang, B.; Yang, J.; Jiao, H.; Zhu, K.; Chen, Y. Design of auto disturbance rejection controller for train traction control system based on artificial bee colony algorithm. Measurement 2020, 160, 107812. [Google Scholar] [CrossRef]
- Li, S.; Li, H.; Wang, H.; Yang, C.; Gui, J.; Fu, R. Sliding Mode Active Disturbance Rejection Control of Permanent Magnet Synchronous Motor Based on Improved Genetic Algorithm. Actuators 2023, 12, 209. [Google Scholar] [CrossRef]
- Yu, Y.; Wang, H.; Li, N.; Su, Z.; Wu, J. Automatic carrier landing system based on active disturbance rejection control with a novel parameters optimizer. Aerosp. Sci. Technol. 2017, 69, 149–160. [Google Scholar] [CrossRef]
- Ren, J.; Chen, Z.; Yang, Y.; Sun, M.; Sun, Q.; Wang, Z. Grey Wolf Optimization Based Active Disturbance Rejection Control Parameter Tuning for Ship Course. Int. J. Control Autom. Syst. 2022, 20, 842–856. [Google Scholar] [CrossRef]
- Gao, B.; Guan, H.; Shen, W.; Ye, Y. Application of the Gray Wolf Optimization Algorithm in Active Disturbance Rejection Control Parameter Tuning of an Electro-Hydraulic Servo Unit. Machines 2022, 10, 599. [Google Scholar] [CrossRef]
- Ren, J.; Chen, Z.; Sun, M.; Sun, Q.; Wang, Z. Proportion integral-type active disturbance rejection generalized predictive control for distillation process based on grey wolf optimization parameter tuning. Chin. J. Chem. Eng. 2022, 49, 234–244. [Google Scholar] [CrossRef]
- Cai, Z.; Lou, J.; Zhao, J.; Wu, K.; Liu, N.; Wang, Y. Quadrotor trajectory tracking and obstacle avoidance by chaotic grey wolf optimization-based active disturbance rejection control. Mech. Syst. Signal Process. 2019, 128, 636–654. [Google Scholar] [CrossRef]
- Roman, R.C.; Precup, R.E.; Petriu, E.M. Hybrid data-driven fuzzy active disturbance rejection control for tower crane systems. Eur. J. Control 2021, 58, 373–387. [Google Scholar] [CrossRef]
- Wang, X.; Zhu, H. Active Disturbance Rejection Control of Bearingless Permanent Magnet Synchronous Motor Based on Genetic Algorithm and Neural Network Parameters Dynamic Adjustment Method. Electronics 2023, 12, 1455. [Google Scholar] [CrossRef]
- Gao, Y.; Zhu, G.; Zhao, T. Based on Backpropagation Neural Network and Adaptive Linear Active Disturbance Rejection Control for Attitude of a Quadrotor Carrying a Load. Appl. Sci. 2022, 12, 12698. [Google Scholar] [CrossRef]
- Ren, H.; Hou, B.; Zhou, G.; Shen, L.; Wei, C.; Li, Q. Variable Pitch Active Disturbance Rejection Control of Wind Turbines Based on BP Neural Network PID. IEEE Access 2020, 8, 71782–71797. [Google Scholar] [CrossRef]
- Wang, Y.; Fang, S.; Hu, J.; Huang, D. A Novel Active Disturbance Rejection Control of PMSM Based on Deep Reinforcement Learning for More Electric Aircraft. IEEE Trans. Energy Convers. 2023, 38, 1461–1470. [Google Scholar] [CrossRef]
- Krishnan, R. Permanent Magnet Synchronous and Brushless DC Motor Drives; CRC Press; Taylor & Francis: Boca Raton, FL, USA, 2010. [Google Scholar]
- Liu, H.; Zhang, C.; Deng, Y.; Xie, B.; Liu, T.; Zhang, Z.; Li, Y. TransIFC: Invariant Cues-aware Feature Concentration Learning for Efficient Fine-grained Bird Image Classification. IEEE Trans. Multimed. 2023, 1–14. [Google Scholar] [CrossRef]
- Liu, T.; Liu, H.; Yang, B.; Zhang, Z. LDCNet: Limb Direction Cues-aware Network for Flexible Human Pose Estimation in Industrial Behavioral Biometrics Systems. IEEE Trans. Ind. Inf. 2023, 1–11. [Google Scholar] [CrossRef]
- Liu, H.; Liu, T.; Chen, Y.; Zhang, Z.; Li, Y. EHPE: Skeleton Cues-based Gaussian Coordinate Encoding for Efficient Human Pose Estimation. IEEE Trans. Multimed. 2023, 1–12. [Google Scholar] [CrossRef]
- Liu, H.; Zheng, C.; Li, D.; Shen, X.; Lin, K.; Wang, J.; Zhang, Z.; Zhang, Z.; Xiong, N. EDMF: Efficient Deep Matrix Factorization with Review Feature Learning for Industrial Recommender System. IEEE Trans. Ind. Inf. 2022, 18, 4361–4371. [Google Scholar] [CrossRef]











| Methods | Simple | Effective | Calculations Complex | Require Experience | Precocious Convergence |
|---|---|---|---|---|---|
| Empirical Method | √ | × | √ | √ | × |
| Bandwidth Method | √ | √ | √ | × | × |
| Time Scale Tuning | × | √ | √ | × | × |
| Intelligent Algorithm | × | √ | × | × | √ |
| Parameter | Interval |
|---|---|
| Motor Parameters | Parameter Value | Unit |
|---|---|---|
| Stator inductance | 8.500 | mH |
| Stator resistance | 2.875 | Ω |
| Magnetic flux linkage | 0.175 | Wb |
| Moment of inertia | 0.003 | kg·m2 |
| Damping coefficient | 0.008 | N·m·s |
| Number of pole pairs | 4 |
| Performance Index Function | Characteristics |
|---|---|
| The design is simple, only the error size is considered, the RE (steady state error) is reduced, and the system accuracy is increased. | |
| The dominance of the transient process results in significant overshoot and REs within the system. | |
| With the addition of time factor, the system response speed and steady-state are better. | |
| The time factor is added, the system response is fast, and the error is small. |
| Controllers | Overshoot | Steady-State Error |
|---|---|---|
| nonlinear | 0.020% | 0.018 |
| linear | 0.290% | 0.316 |
| Overshoot | RT | AT | RE | DL | EF | |
|---|---|---|---|---|---|---|
| BM | 0.4800% | 0.0335 | 0.0395 | 0.8832 | 4.0400 | 4.2840 |
| IMA | 0.1900% | 0.0325 | 0.0401 | 0.0525 | 2.3320 | 2.4370 |
| PSO | 0.4600% | 0.0335 | 0.0389 | 0.0663 | 1.7790 | 3.2360 |
| IPM | 0.0200% | 0.0339 | 0.0349 | 0.0181 | 0.5460 | 1.1390 |
Disclaimer/Publisher’s Note: The statements, opinions and data contained in all publications are solely those of the individual author(s) and contributor(s) and not of MDPI and/or the editor(s). MDPI and/or the editor(s) disclaim responsibility for any injury to people or property resulting from any ideas, methods, instructions or products referred to in the content. |
© 2023 by the authors. Licensee MDPI, Basel, Switzerland. This article is an open access article distributed under the terms and conditions of the Creative Commons Attribution (CC BY) license (https://creativecommons.org/licenses/by/4.0/).
Share and Cite
Deng, Y.; Zhu, J.; Liu, H. The Improved Particle Swarm Optimization Method: An Efficient Parameter Tuning Method with the Tuning Parameters of a Dual-Motor Active Disturbance Rejection Controller. Sensors 2023, 23, 8605. https://doi.org/10.3390/s23208605
Deng Y, Zhu J, Liu H. The Improved Particle Swarm Optimization Method: An Efficient Parameter Tuning Method with the Tuning Parameters of a Dual-Motor Active Disturbance Rejection Controller. Sensors. 2023; 23(20):8605. https://doi.org/10.3390/s23208605
Chicago/Turabian StyleDeng, Yi, Jiying Zhu, and Hai Liu. 2023. "The Improved Particle Swarm Optimization Method: An Efficient Parameter Tuning Method with the Tuning Parameters of a Dual-Motor Active Disturbance Rejection Controller" Sensors 23, no. 20: 8605. https://doi.org/10.3390/s23208605
APA StyleDeng, Y., Zhu, J., & Liu, H. (2023). The Improved Particle Swarm Optimization Method: An Efficient Parameter Tuning Method with the Tuning Parameters of a Dual-Motor Active Disturbance Rejection Controller. Sensors, 23(20), 8605. https://doi.org/10.3390/s23208605
