An Improved Active Damping Method for Enhancing Robustness of LCL-Type, Grid-Tied Inverters under Weak Grid Conditions
Abstract
:1. Introduction
2. Continuous S-Domain Analysis
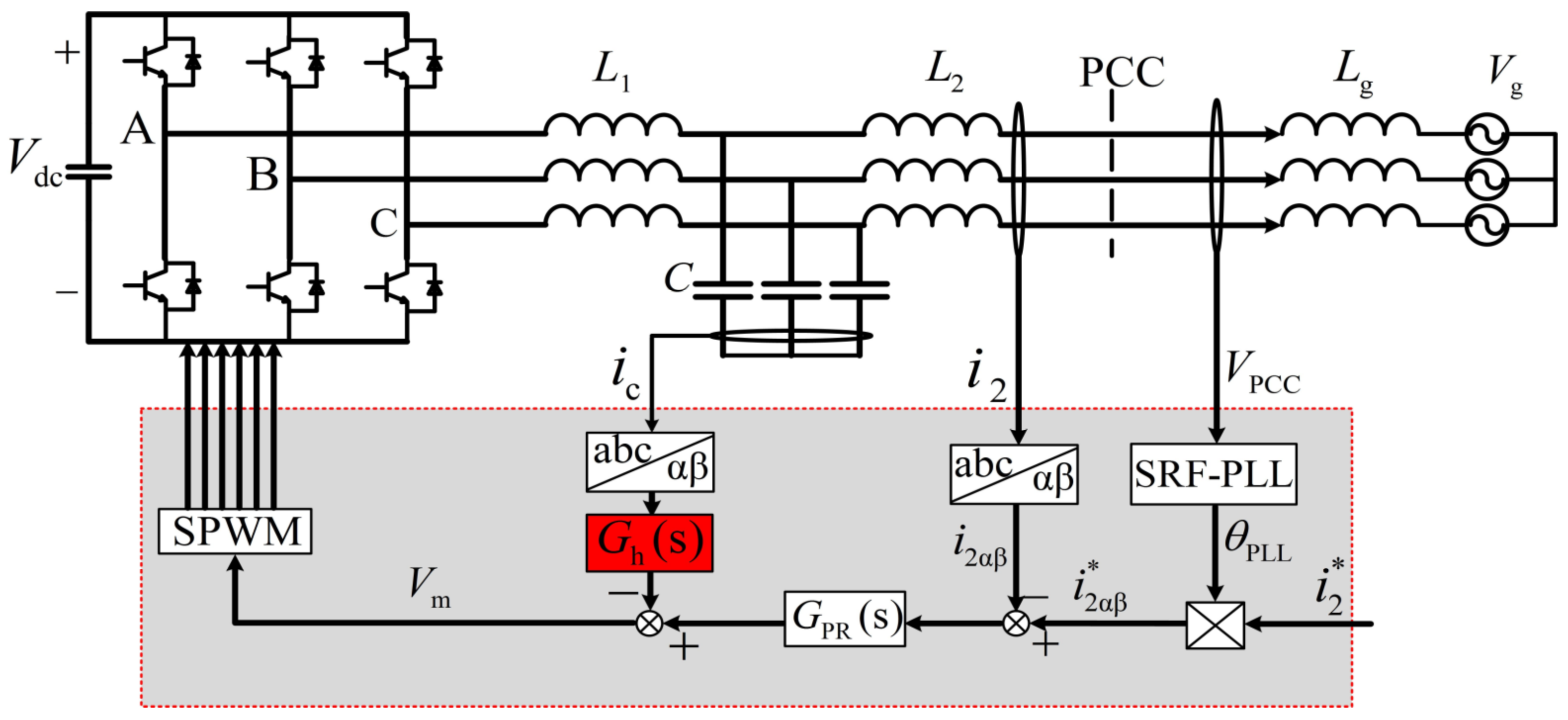
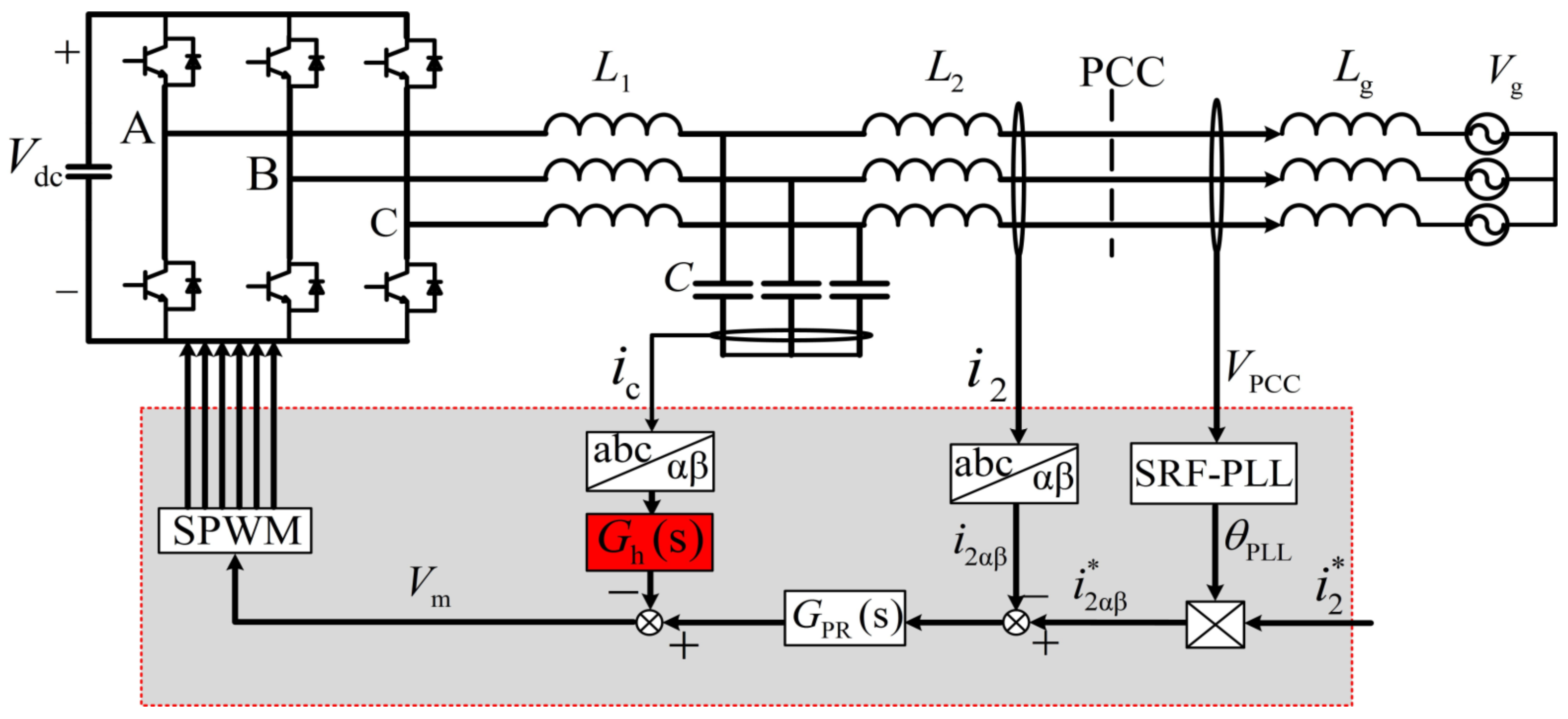
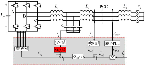
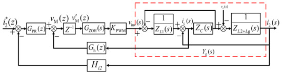
2.1. System Description
2.2. Impedance-Based Analysis
3. Discrete Z-Domain Analysis
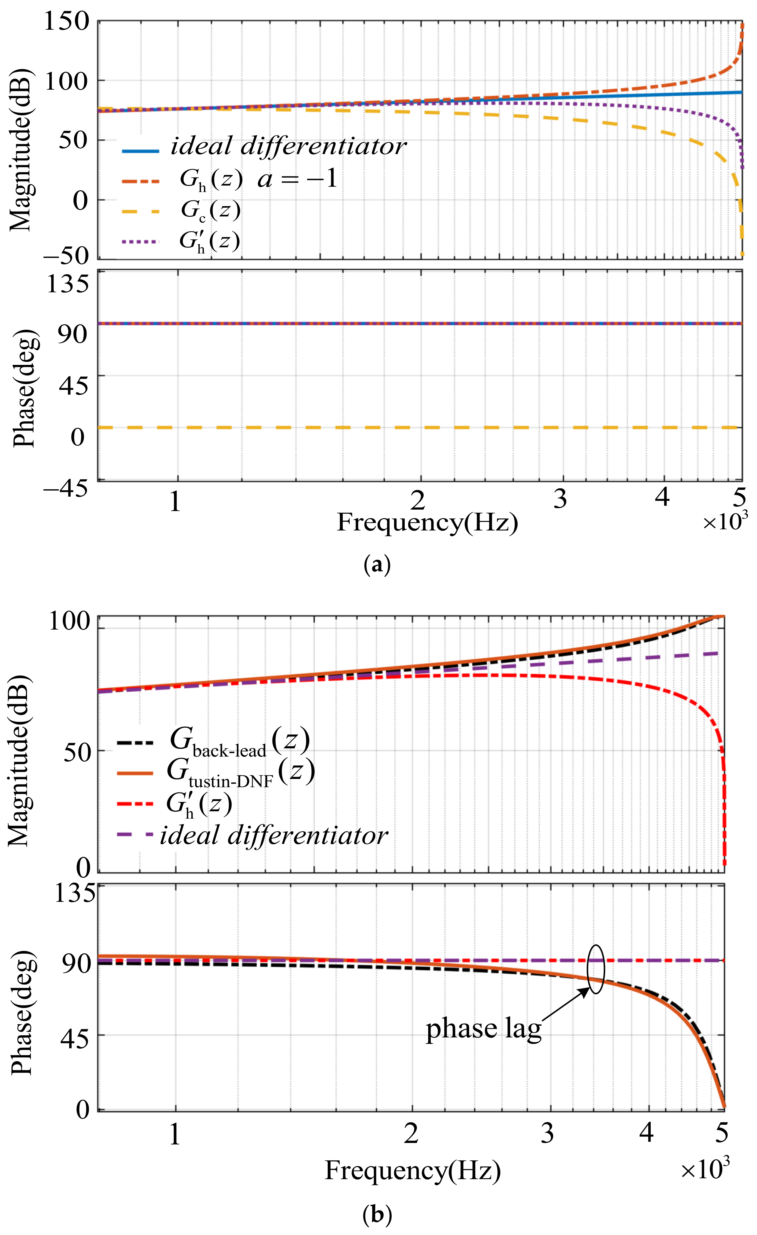
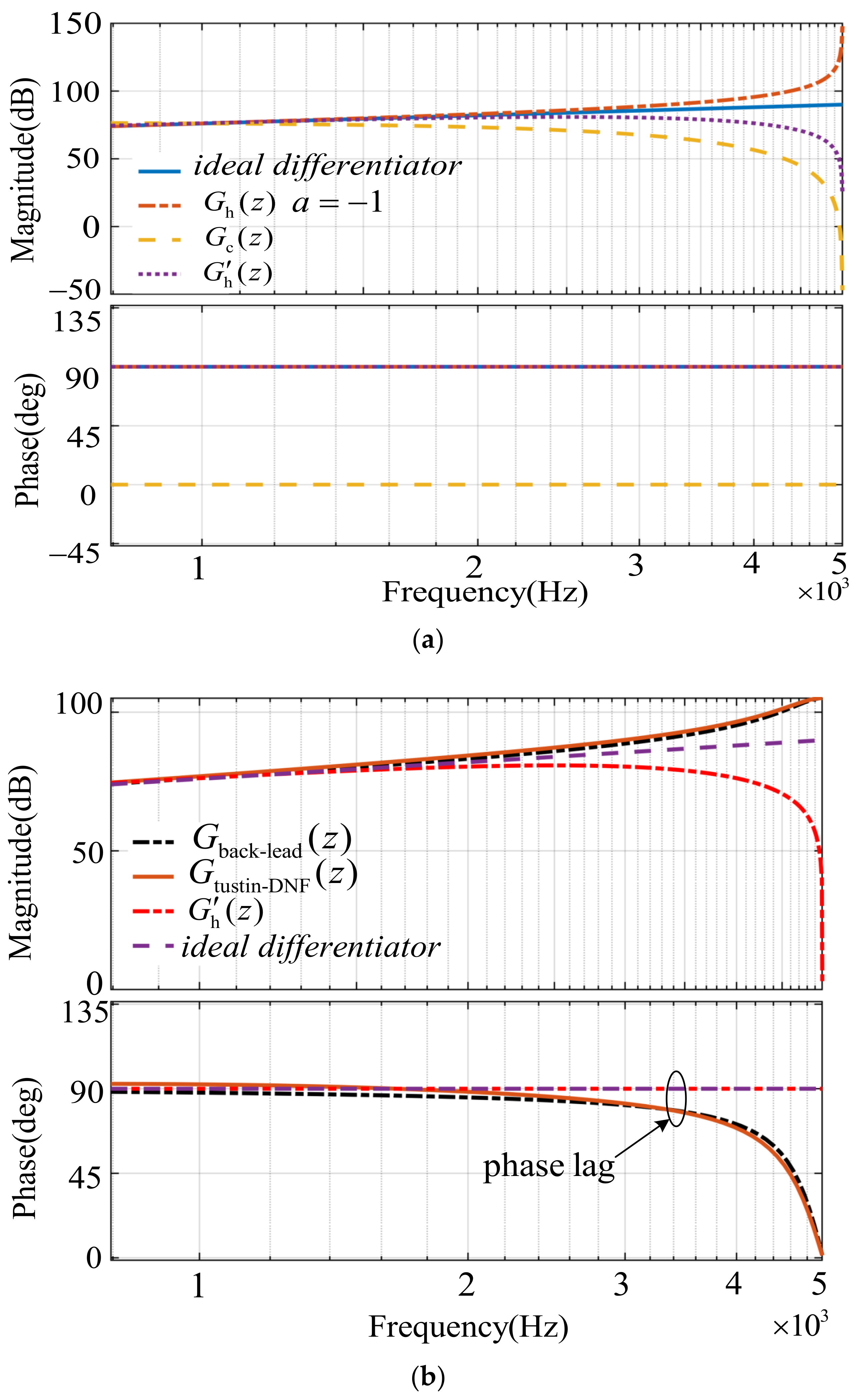
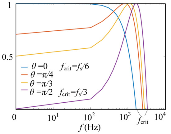
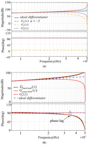
3.1. Improved Active Damping Method
3.2. System Discretization
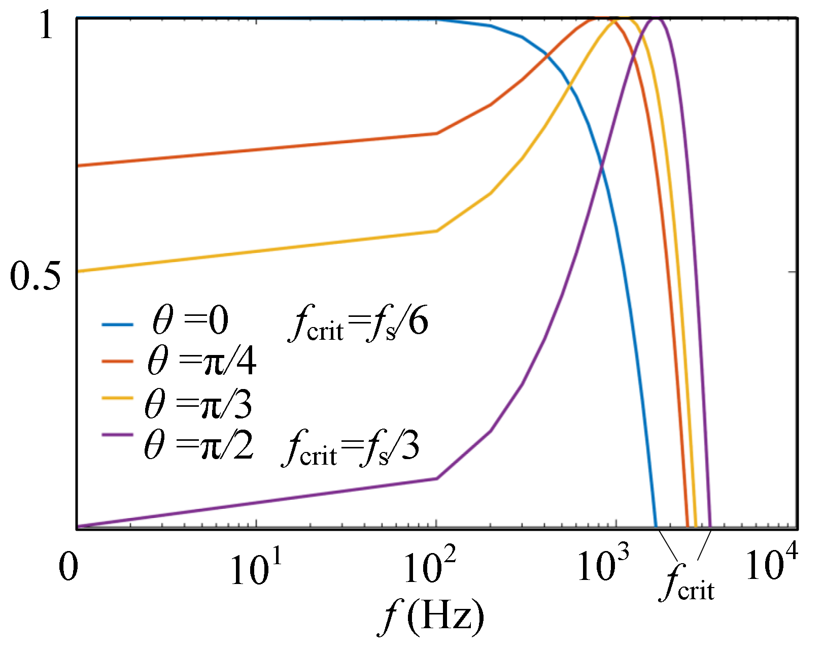
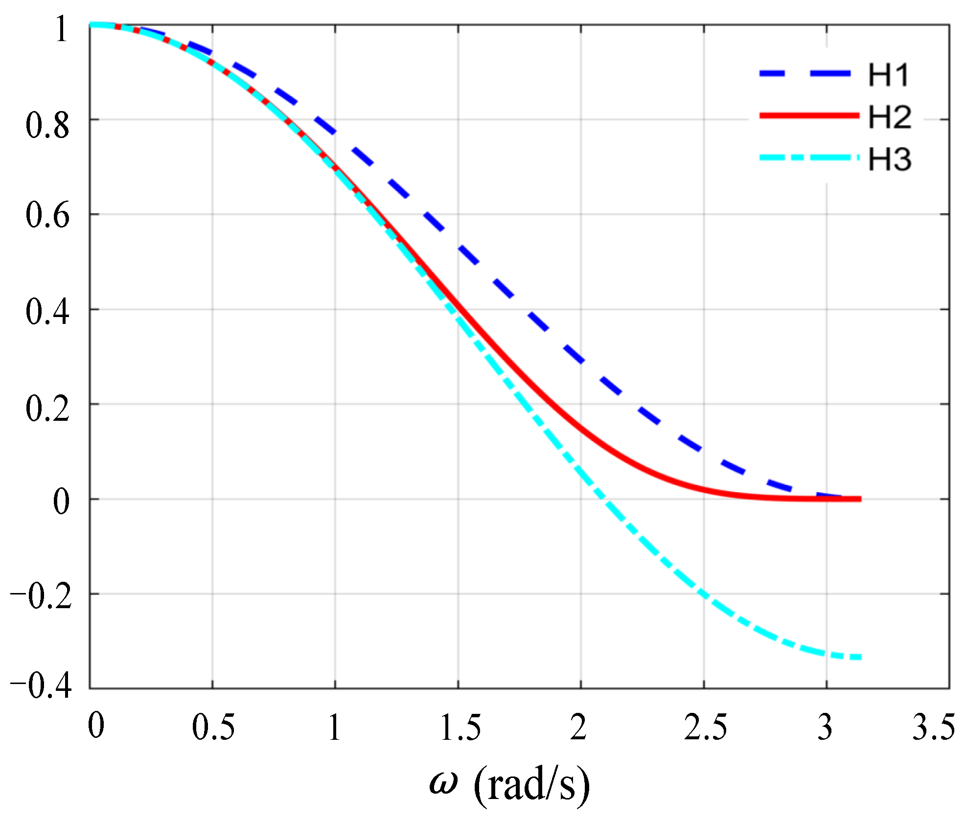
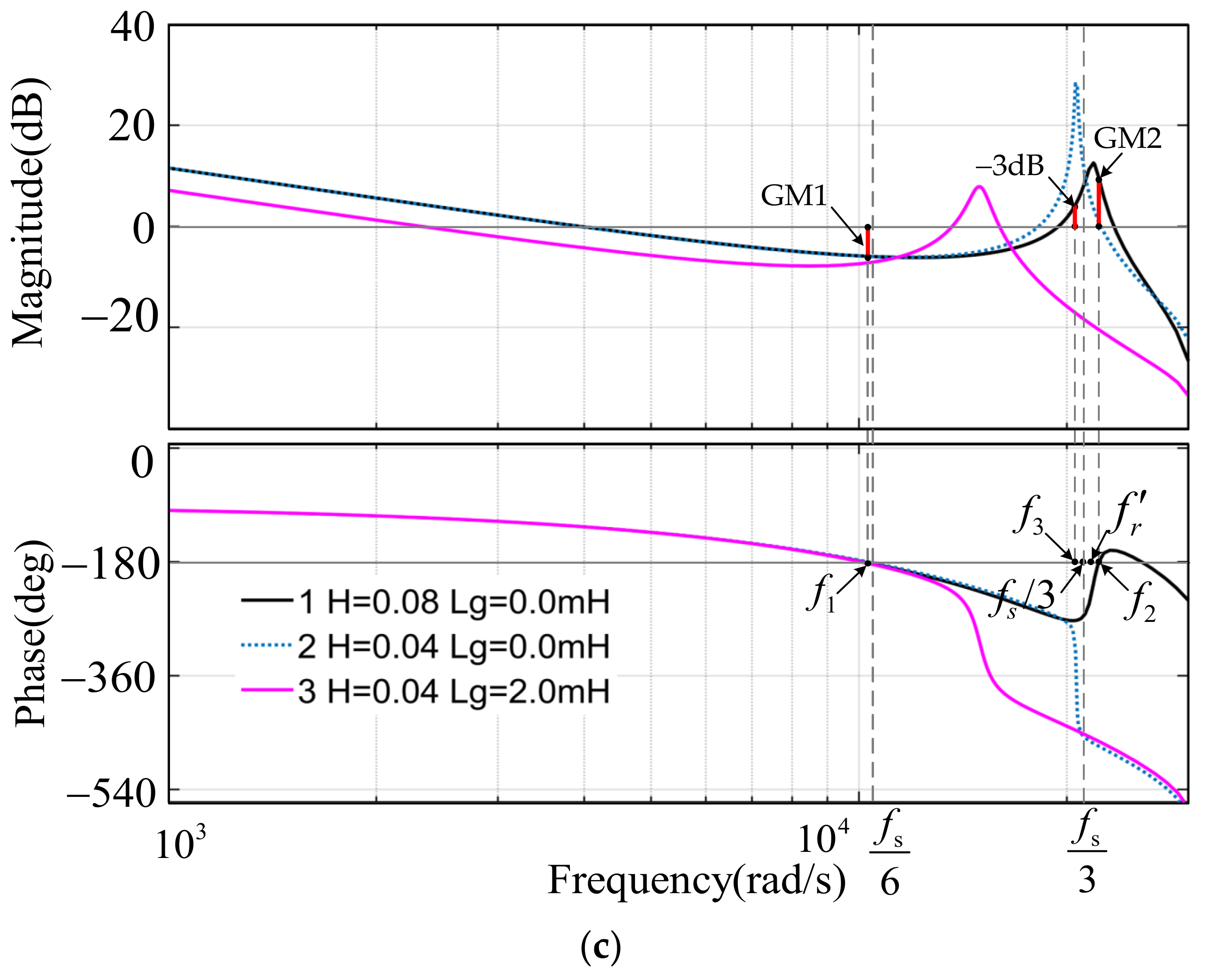
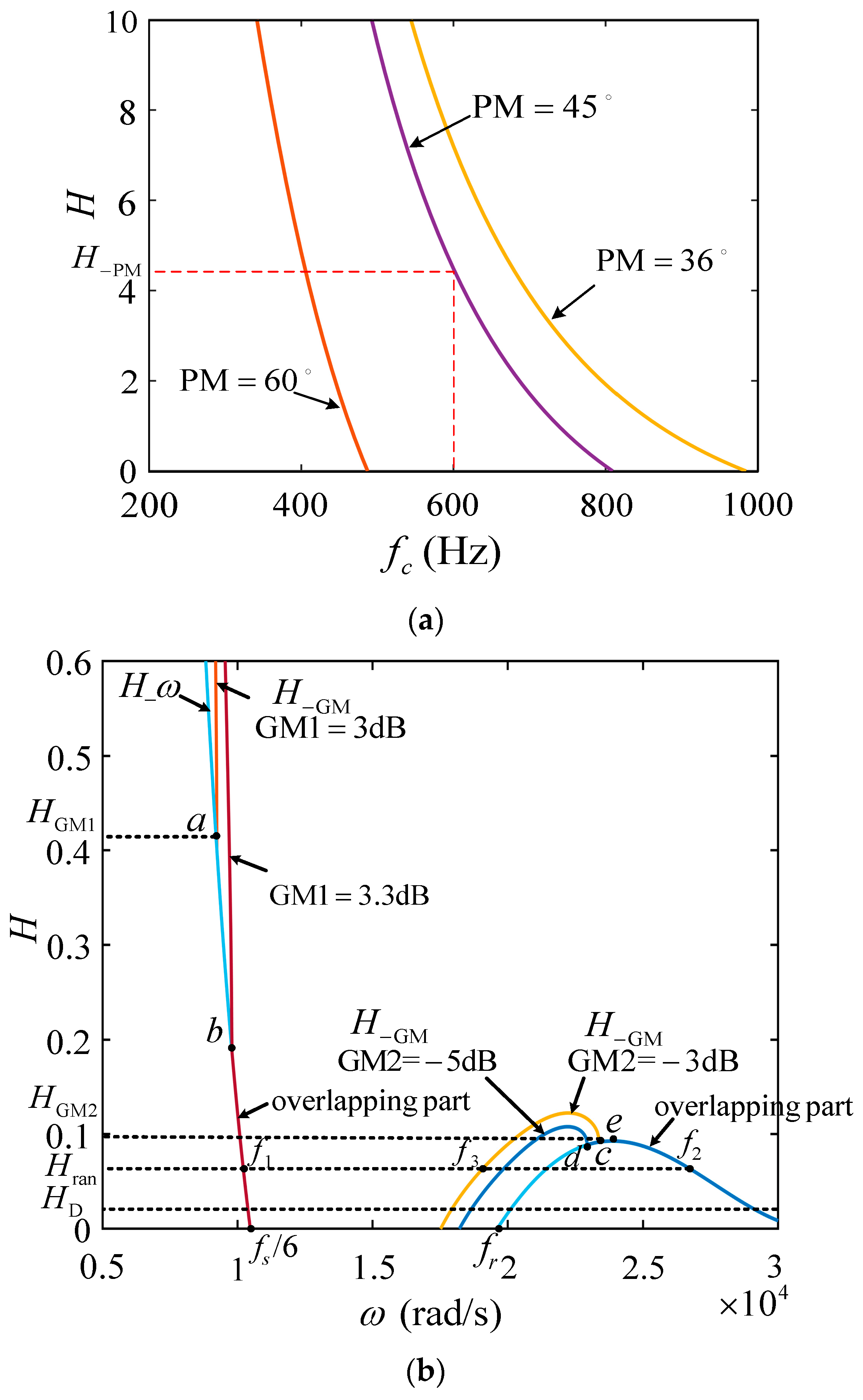
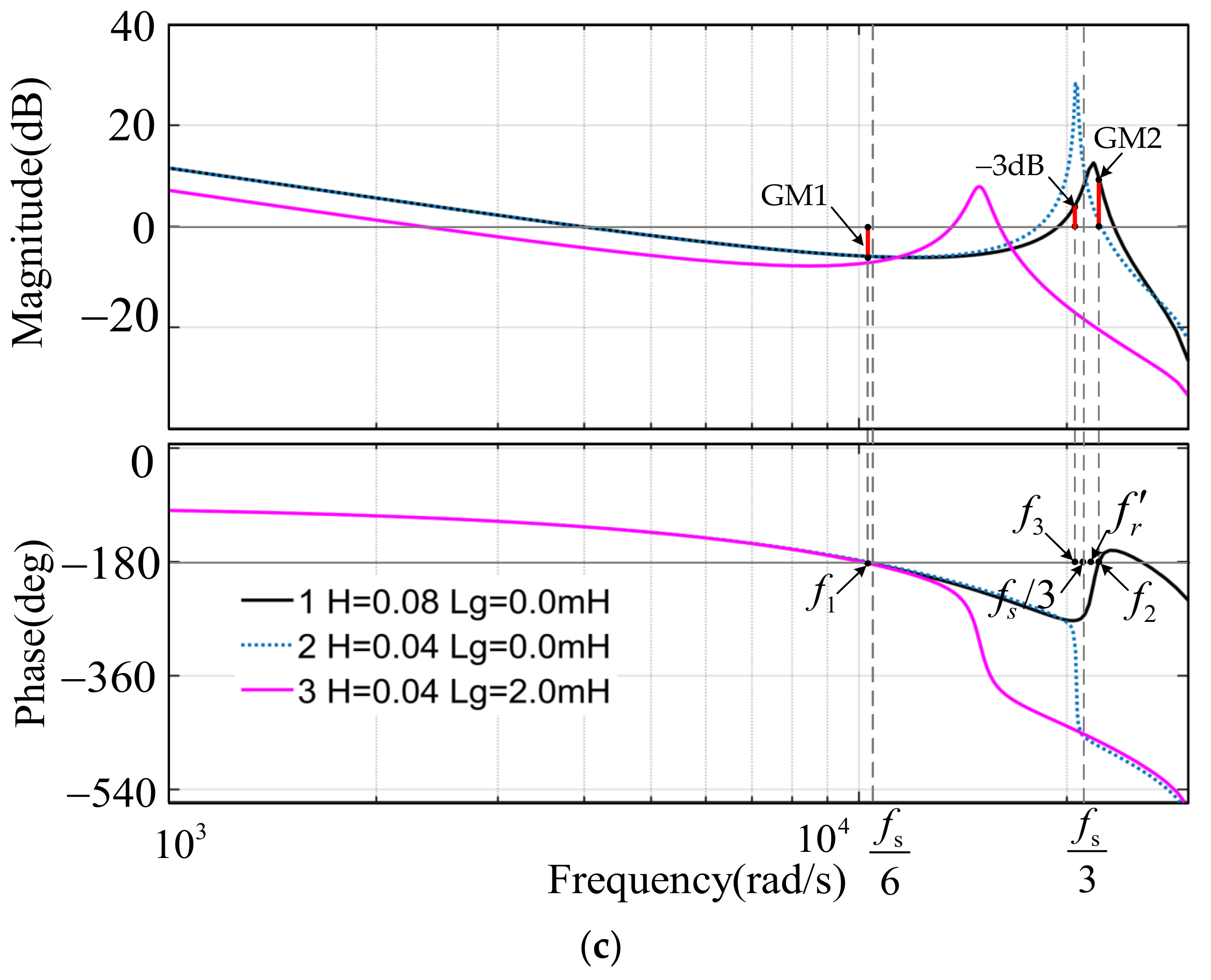
4. System Stability Analysis
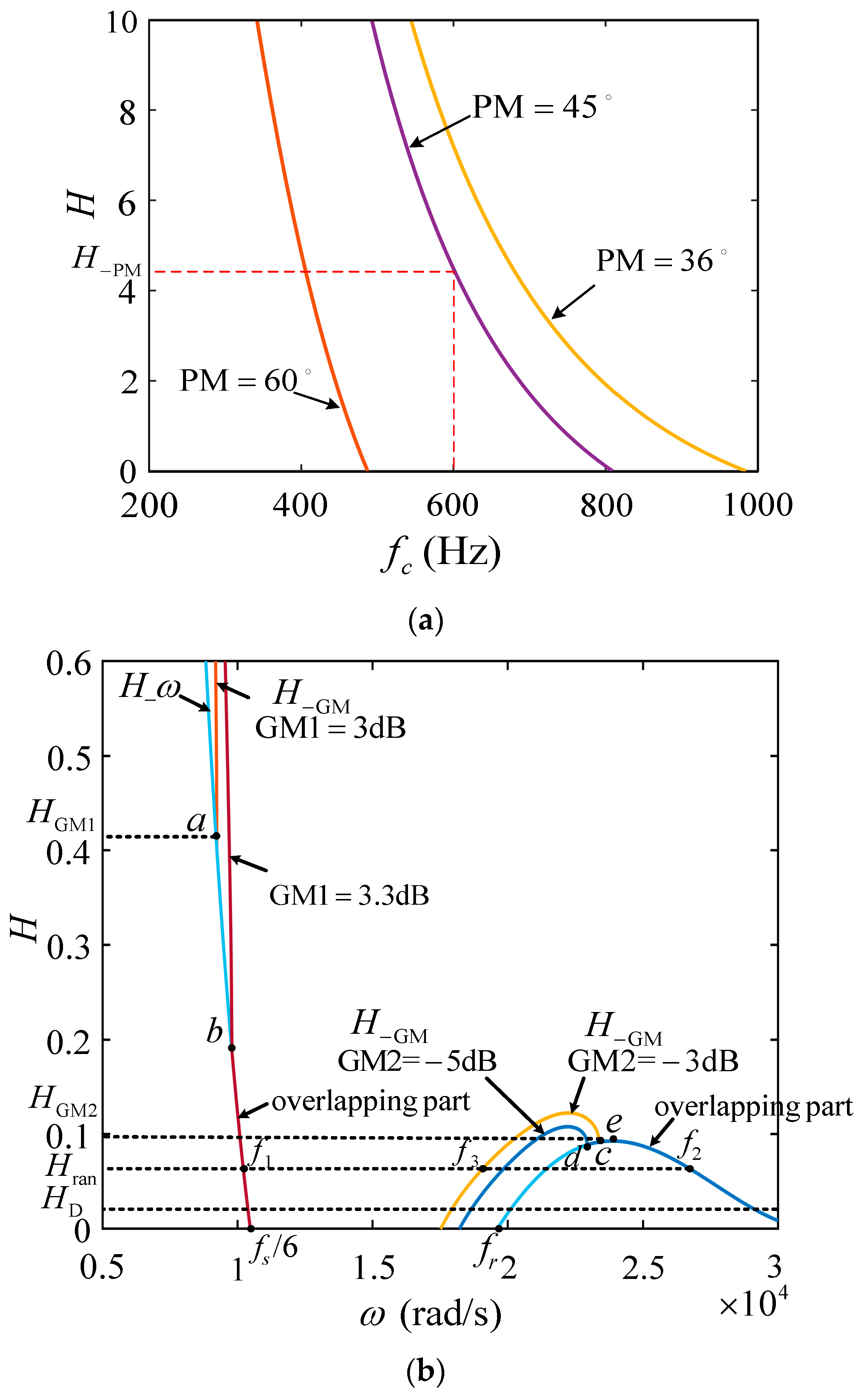
5. Co-Design of the Active Damper and Current Controller
6. Verification
6.1. Simulation Results
6.2. Experimental Results
7. Conclusions
Author Contributions
Funding
Institutional Review Board Statement
Informed Consent Statement
Data Availability Statement
Conflicts of Interest
Abbreviation
| effective damping region | EDR |
| capacitor current feedback active damping | CCFAD |
| The nonideal generalized integrator | nGI |
| voltage-source inverter | VSI |
| proportional plus resonance | PR |
| right half-plane poles | RHP |
| zero-order holder | ZOH |
| Digital pulse width modulation | DPWM |
| short circuit ratio | SCR |
| Magnitude Margin | GM |
| Phase Margin | PM |
| Total harmonic distortion | THD |
Parameters Nomenclature
| KP | the proportional coefficients of the PR controller |
| Kr | the resonant coefficients of the PR controller |
| ωi | the −3 dB bandwidth cut-off angle frequency of the PR controller |
| ωo | the fundamental angle frequency |
| fo | the fundamental frequency |
| ωc | the cut-off angle frequency of the system |
| Ts | the system sampling period |
| fs | the system sampling frequency |
| Kd | the gain of HPF |
| ωd | the cut-off angle frequency of the HPF |
| A | the modulus of the HPF |
| θ | the lead-phase angle |
| ωr | the resonant angle frequency of LCL-type inverter |
| ω′ r | the system resonant angle frequency |
| f′ r | the system resonant frequency |
| m | the adjustable parameter of the digital low-pass filter |
| H | the constant feedback coefficient |
| Tfo | the gain at the fundamental frequency |
| PM | the Phase Margin |
| GM | the Magnitude Margin |
| Vo | the inverter output phase voltage |
| fsw | the switching frequency |
| Vdc | the DC-link voltage |
| L1 | the converter-side filter inductance |
| L2 | the grid-side filter inductance |
| C | the filter capacitor |
| Lg | the grid inductance |
| KPWM | the equivalent gain of inverter |
| Hi2 | the grid current sample coefficient |
Appendix A
References
- Shen, G.; Zhu, X.; Zhang, J.; Xu, D. A New Feedback Method for PR Current Control of LCL-Filter-Based Grid-Connected Inverter. IEEE Trans. Ind. Electron. 2010, 57, 2033–2041. [Google Scholar] [CrossRef]
- Mariethoz, S.; Morari, M. Explicit Model-Predictive Control of a PWM Inverter with an LCL Filter. IEEE Trans. Ind. Electron. 2009, 56, 389–399. [Google Scholar] [CrossRef]
- Jalili, K.; Bernet, S. Design of LCL Filters of Active-Front-End Two-Level Voltage-Source Converters. IEEE Trans. Ind. Electron. 2009, 56, 1674–1689. [Google Scholar] [CrossRef]
- Pena-Alzola, R.; Liserre, M.; Blaabjerg, F.; Ordonez, M.; Yang, Y. LCL-Filter Design for Robust Active Damping in Grid-Connected Converters. IEEE Trans. Ind. Inform. 2014, 10, 2192–2203. [Google Scholar] [CrossRef]
- Liserre, M.; Teodorescu, R.; Blaabjerg, F. Stability of photovoltaic and wind turbine grid-connected inverters for a large set of grid impedance values. IEEE Trans. Power Electron. 2006, 21, 263–272. [Google Scholar] [CrossRef]
- Liserre, M.; Dell’Aquila, A.; Blaabjerg, F. Stability improvements of an LCL-filter based three-phase active rectifier. In Proceedings of the IEEE Power Electronics Specialists Conference, Cairns, Australia, 23–27 June 2002. [Google Scholar] [CrossRef]
- Fang, T.; Zhang, X.; Huang, C.; He, W.; Shen, L.; Ruan, X. Control Scheme to Achieve Multiple Objectives and Superior Reliability for Input-Series-Output-Parallel LCL-Type Grid-Connected Inverter System. IEEE Trans. Ind. Electron. 2019, 67, 214–224. [Google Scholar] [CrossRef]
- Zhu, D.; Zhou, S.; Zou, X.; Kang, Y. Improved Design of PLL Controller for LCL-Type Grid-Connected Converter in Weak Grid. IEEE Trans. Power Electron. 2019, 35, 4715–4727. [Google Scholar] [CrossRef]
- Hanif, M.; Khadkikar, V.; Xiao, W.; Kirtley, J.L. Two degrees of freedom active damping technique for LCL filter-based grid connected PV systems. IEEE Trans. Ind. Electron. 2014, 61, 2795–2803. [Google Scholar] [CrossRef]
- Huang, M.; Wang, X.; Loh, P.C.; Blaabjerg, F. LLCL-Filtered Grid Converter with Improved Stability and Robustness. IEEE Trans. Power Electron. 2016, 31, 3958–3967. [Google Scholar] [CrossRef]
- Chen, Y.; Xie, Z.; Zhou, L.; Wang, Z.; Zhou, X.; Wu, W.; Yang, L.; Luo, A. Optimized design method for grid-current-feedback active damping to improve dynamic characteristic of LCL-type grid-connected inverter. Int. J. Electr. Power Energy Syst. 2018, 100, 19–28. [Google Scholar] [CrossRef]
- Zhou, X.; Zhou, L.; Chen, Y.; Shuai, Z.; Guerrero, J.; Luo, A.; Wu, W.; Yang, L. Robust gird-current-feedback resonance suppression method for LCL-type grid-connected inverter connected to weak grid. IEEE J. Emerg. Sel. Top. Power Electron. 2018, 6, 2126–2137. [Google Scholar] [CrossRef]
- Liu, T.; Liu, J.; Liu, Z.; Liu, Z. A Study of Virtual Resistor-Based Active Damping Alternatives for LCL Resonance in Grid-Connected Voltage Source Inverters. IEEE Trans. Power Electron. 2020, 35, 247–262. [Google Scholar] [CrossRef]
- Yin, J.; Duan, S.; Liu, B. Stability Analysis of Grid-Connected Inverter with LCL Filter Adopting a Digital Single-Loop Controller with Inherent Damping Characteristic. IEEE Trans. Ind. Inform. 2013, 9, 1104–1112. [Google Scholar] [CrossRef]
- Wang, X.; Blaabjerg, F.; Loh, P.C. Grid-Current-Feedback Active Damping for LCL Resonance in Grid-Connected Voltage-Source Converters. IEEE Trans. Power Electron. 2015, 31, 213–223. [Google Scholar] [CrossRef]
- Parker, S.G.; Mcgrath, B.P.; Holmes, D.G. Regions of Active Damping Control for LCL Filters. IEEE Trans. Ind. Appl. 2014, 50, 424–432. [Google Scholar] [CrossRef]
- Geng, Y.; Qi, Y.; Dong, W.; Deng, R. An Active Damping Method with Improved Grid Current Feedback. Proc. CSEE 2018, 38, 5557–5567. [Google Scholar]
- Huang, Y.; Song, Z.; Tang, J.; Xiong, B.; Hu, S. Design and Analysis of DC-Link Voltage Stabilizer for Voltage Source Converter as Connected to Weak Grid. Trans. China Electrotech. Soc. 2018, 33, 185–192. [Google Scholar]
- Huang, C.; Fang, T.; Zhang, L. A phase-lead compensation strategy on enhancing robustness against grid impedance for LCL-type grid-tied inverters. In Proceedings of the 2018 IEEE Applied Power Electronics Conference and Exposition (APEC), San Antonio, TX, USA, 4–8 March 2018. [Google Scholar] [CrossRef]
- He, W.; Fang, T.; Shen, L. Control strategy to meet multiple targets for input- series-output-parallel LCL-type grid-connected inverter system. In Proceedings of the IECON 2016—42nd Annual Conference of the IEEE Industrial Electronics Society IEEE, Florence, Italy, 23–26 October 2016. [Google Scholar] [CrossRef]
- He, J.; Li, Y.W. Generalized closed-loop control schemes with embedded virtual impedances for voltage source converters with LC or LCL filters. IEEE Trans. Power Electron. 2012, 27, 1850–1861. [Google Scholar] [CrossRef]
- Pan, D.; Ruan, X.; Bao, C.; Li, W.; Wang, X. Capacitor-current-feedback active damping with reduced computation delay for improving robustness of LCL-Type grid-connected inverter. IEEE Trans. Power Electron. 2014, 29, 3414–3427. [Google Scholar] [CrossRef]
- Pan, D.; Ruan, X.; Bao, C.; Li, W.; Wang, X. Optimized controller design for LCL-type grid-connected inverter to achieve high robustness against grid-impedance variation. IEEE Trans. Ind. Electron. 2015, 62, 1537–1547. [Google Scholar] [CrossRef]
- Wang, X.; Bao, C.; Ruan, X.; Li, W.; Pan, D. Design Considerations of Digitally Controlled LCL-Filtered Inverter with Capacitor- Current-Feedback Active Damping. IEEE J. Emerg. Sel. Top. Power Electron. 2015, 2, 972–984. [Google Scholar] [CrossRef]
- Xin, Z.; Wang, X.; Loh, P.C.; Blaabjerg, F. Grid-current-feedback control for LCL-filtered grid converters with enhanced stability. IEEE Trans. Power Electron. 2017, 32, 3216–3228. [Google Scholar] [CrossRef]
- Zhao, X. A Digital Delay Compensation Method to Improve the Stability of LCL Grid-Connected Inverters. Energies 2021, 14, 2730. [Google Scholar]
- Li, X.; Wu, X.; Geng, Y.; Yuan, X.; Xia, C.; Zhang, X. Wide Damping Region for LCL-Type Grid-Connected Inverter with an Improved Capacitor-Current-Feedback Method. IEEE Trans. Power Electron. 2015, 30, 5247–5259. [Google Scholar] [CrossRef]
- Wang, X.; Blaabjerg, F.; Loh, P.C. Virtual RC Damping of LCL-filtered voltage source converters with extended selective harmonic compensation. IEEE Trans. Power Electron. 2015, 30, 4726–4737. [Google Scholar] [CrossRef]
- Wu, G.; Wang, X.; He, Y.; Ruan, X.; Zhang, H. Inductor-Current Proportional-Derivative Feedback Active Damping for Voltage-Controlled VSCs. In Proceedings of the 2021 IEEE 12th Energy Conversion Congress & Exposition—Asia (ECCE-Asia), Singapore, 24–27 May 2021; pp. 2357–2362. [Google Scholar] [CrossRef]
- He, Y.; Wang, X.; Ruan, X.; Pan, D.; Xu, X.; Liu, F. Capacitor-Current Proportional-Integral Positive Feedback Active Damping for LCL-Type Grid-Connected Inverter to Achieve High Robustness Against Grid Impedance Variation. IEEE Trans. Power Electron. 2019, 34, 12423–12436. [Google Scholar] [CrossRef]
- Yang, L.; Yang, J. A Robust Dual-Loop Current Control Method with a Delay-Compensation Control Link for LCL-Type Shunt Active Power Filters. IEEE Trans. Power Electron. 2019, 34, 6183–6199. [Google Scholar] [CrossRef]
- Xin, Z.; Loh, P.C.; Wang, X.; Blaabjerg, F.; Tang, Y. Highly accurate derivatives for LCL-filtered grid converter with capacitor voltage active damping. IEEE Trans. Power Electron. 2016, 31, 3612–3625. [Google Scholar] [CrossRef]
- Pan, D.; Ruan, X.; Wang, X. Direct Realization of Digital Differentiators in Discrete Domain for Active Damping of LCL -Type Grid-Connected Inverter. IEEE Trans. Power Electron. 2018, 33, 8461–8473. [Google Scholar] [CrossRef]
- Faiz, M.T.; Khan, M.M.; Jianming, X.; Ali, M.; Habib, S.; Hashmi, K.; Tang, H. Capacitor Voltage Damping Based on Parallel Feedforward Compensation Method for LCL-Filter Grid-Connected Inverter. IEEE Trans. Ind. Appl. 2020, 56, 837–849. [Google Scholar] [CrossRef]
- Jin, Y.; Fang, T.; Yao, K. An Improved Time-Delay Compensation Scheme for Enhancing Control Performance of Digitally Controlled Grid-Connected Inverter. In Proceedings of the 2019 IEEE Energy Conversion Congress and Exposition (ECCE), Baltimore, MD, USA, 29 September–3 October 2019; pp. 2772–2776. [Google Scholar] [CrossRef]
- Liu, J.; Zhou, L.; Molinas, M. Damping region extension for digitally controlled LCL-type grid-connected inverter with capacitor-current feedback. IET Power Electron. 2018, 11, 1974–1982. [Google Scholar] [CrossRef]
- Zmood, D.; Holmes, D. Stationary frame current regulation of PWM inverters with zero steady state error. In Proceedings of the 30th Annual IEEE Power Electronics Specialists Conference, Charleston, SC, USA, 1 July 1999; Volume 2, pp. 1185–1190. [Google Scholar]
- Holmes, D.G.; Lipo, T.A.; McGrath, B.P.; Kong, W.Y. Optimized Design of Stationary Frame Three Phase AC Current Regulators. IEEE Trans. Power Electron. 2009, 24, 2417–2426. [Google Scholar] [CrossRef]
- He, Y.; Wang, X.; Ruan, X.; Pan, D.; Qin, K. Hybrid Active Damping Combining Capacitor Current Feedback and Point of Common Coupling Voltage Feedforward for LCL-Type Grid-Connected Inverter. IEEE Trans. Power Electron. 2021, 36, 2373–2383. [Google Scholar] [CrossRef]
- Van de Sype, D.; De Gusseme, K.; Bossche, A.V.D.; Melkebeek, J. Small-signal z-domain analysis of digitally controlled converters. IEEE Trans. Power Electron. 2006, 21, 470–478. [Google Scholar] [CrossRef]
- 519-2014-IEEE; Recommended Practice and Requirements for Harmonic Control in Electric Power Systems. IEEE: New York, NY, USA, 2014.





















| Features | Lead Link in [17] | First-Order High-Pass Filter | Second-Order High-Pass Filter | Backward-Lead | Tustin-DNF | Proposed Method |
|---|---|---|---|---|---|---|
| Function order | First order | First order | First order | First order | First order | First order |
| Simplicity | good | better | inferior | better | good | better |
| Effective frequency range | [0, fs/4] | [0, fs/3) | [0, fs/2) | [0, fs/3) | [0, fs/3) | [0, fs/3] |
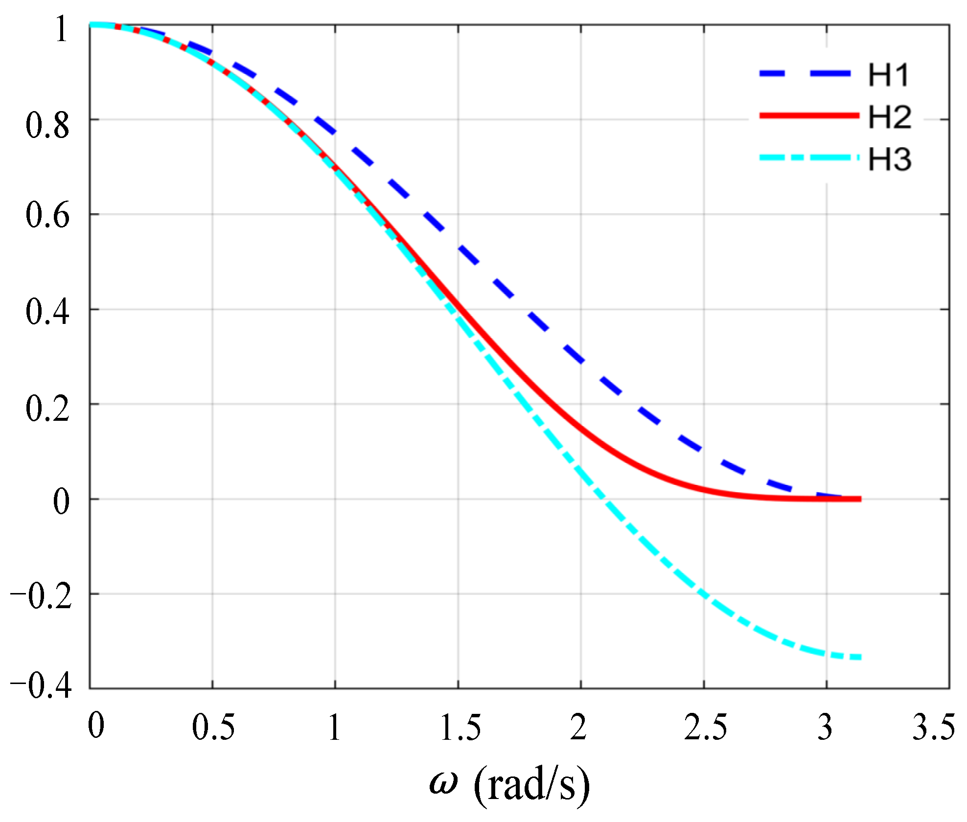
| Case | Requirement | a1 | b1 | c1 | RHP Poles |
|---|---|---|---|---|---|
| 1 | H < H3 | + | + | + | 0 |
| 2 | H3 < H< H2 | + | + | − | 2 |
| 3 | H2 < H < H1 | + | − | + | 2 |
| 4 | H > H1 | − | + | + | 2 |
| Case | Method | fr′ | Req(fr′) | P | −180°-Crossing | Magnitude Margin (GM) Requirement | Phase Margin (PM) Requirement | |
|---|---|---|---|---|---|---|---|---|
| 1 | 1 | (0, fs/6) | (0, fs/6) | + | 0 | fr- | GM1 > 0 dB | PM > 0° |
| 2 | [fs/6, fs/2) | − | 2 | fr−, fs/6+ | GM1 > 0 dB, GM2 < 0 dB | PM > 0° | ||
| 3 | fs/6 | (fs/6, fs/2) | − | 2 | None | Unstable | Unstable | |
| 4 | (fs/6, fs/2) | (fs/6, fs/2) | − | 2 | fs/6−, fr+ | GM1 < 0 dB, GM2 > 0 dB | PM > 0° | |
| 1 | 2 | (0, fs/3) | (0, fs/3) | + | 0 | f1− | GM1 > 0 dB | PM > 0° |
| 2 | [fs/3, fs/2) | − | 2 | f1−, f2+ | GM1 > 0 dB, GM2 < 0 dB | PM > 0° | ||
| 3 | [fs/3, fs/2) | [fs/3, fs/2) | − | 2 | f1−, f2+ | GM1 > 0 dB, GM2 < 0 dB | PM > 0° |
| Symbol | Parameter Name | Value |
|---|---|---|
| Vo | Inverter output phase voltage | 110 V |
| fo | Fundamental frequency | 50 Hz |
| fsw | Switching frequency | 10 kHz |
| fs | Sampling frequency | 10 kHz |
| Ts | Sample period | 100 μs |
| Vdc | DC-link voltage | 400 V |
| L1 | Converter-side filter inductance | 2.0 mH |
| L2 | Grid-side filter inductance | 1.0 mH |
| C | Filter capacitor | 9.4/3.9 μF |
| Lg | Grid inductance | 0~2 mH (0.1 pu) |
| KPWM | Equivalent gain of inverter | 60 |
| Hi2 | Grid current sample coefficient | 1 |
Disclaimer/Publisher’s Note: The statements, opinions and data contained in all publications are solely those of the individual author(s) and contributor(s) and not of MDPI and/or the editor(s). MDPI and/or the editor(s) disclaim responsibility for any injury to people or property resulting from any ideas, methods, instructions or products referred to in the content. |
© 2023 by the authors. Licensee MDPI, Basel, Switzerland. This article is an open access article distributed under the terms and conditions of the Creative Commons Attribution (CC BY) license (https://creativecommons.org/licenses/by/4.0/).
Share and Cite
Ke, S.; Li, Y. An Improved Active Damping Method for Enhancing Robustness of LCL-Type, Grid-Tied Inverters under Weak Grid Conditions. Sensors 2023, 23, 8203. https://doi.org/10.3390/s23198203
Ke S, Li Y. An Improved Active Damping Method for Enhancing Robustness of LCL-Type, Grid-Tied Inverters under Weak Grid Conditions. Sensors. 2023; 23(19):8203. https://doi.org/10.3390/s23198203
Chicago/Turabian StyleKe, Shanwen, and Yuren Li. 2023. "An Improved Active Damping Method for Enhancing Robustness of LCL-Type, Grid-Tied Inverters under Weak Grid Conditions" Sensors 23, no. 19: 8203. https://doi.org/10.3390/s23198203
APA StyleKe, S., & Li, Y. (2023). An Improved Active Damping Method for Enhancing Robustness of LCL-Type, Grid-Tied Inverters under Weak Grid Conditions. Sensors, 23(19), 8203. https://doi.org/10.3390/s23198203
