Abstract
Real-time monitoring of volatile organic compounds (VOCs) is crucial for both industrial production and daily life. However, the non-reactive nature of VOCs and their low concentrations pose a significant challenge for developing sensors. In this study, we investigated the adsorption behaviors of typical VOCs (C2H4, C2H6, and C6H6), on pristine and Pt-decorated SnS monolayers using density functional theory (DFT) calculations. Pristine SnS monolayers have limited charge transfer and long adsorption distances to VOC molecules, resulting in VOC insensitivity. The introduction of Pt atoms promotes charge transfer, creates new energy levels, and increases the overlap of the density of states, thereby enhancing electron excitation and improving gas sensitivity. Pt-decorated SnS monolayers exhibited high sensitivities of 241,921.7%, 35.7%, and 74.3% towards C2H4, C2H6, and C6H6, respectively. These values are 142,306.9, 23.8, and 82.6 times higher than those of pristine SnS monolayers, respectively. Moreover, the moderate adsorption energies of adsorbing C2H6 and C6H6 molecules ensure that Pt-decorated SnS monolayers possess good reversibility with a short recovery time at 298 K. When heated to 498 K, C2H4 molecules desorbs from the surface of Pt-decorated SnS monolayer in 162.33 s. Our results indicate that Pt-decorated SnS monolayers could be superior candidates for sensing VOCs with high selectivity, sensitivity, and reversibility.
1. Introduction
Volatile organic compounds (VOCs) are made up of a variety of components, including alkanes, alkenes, alkynes, and benzene derivatives. They are poisonous, irritating, and carcinogenic, and are distinguished by their permeability, volatility, and liposolubility. Furthermore, VOCs are precursors to a variety of other atmospheric pollutants, including secondary aerosols and chemical smog. Ethylene, ethane, and benzene are three volatile organic compounds (VOCs) with major industrial relevance but also hazardous impacts. As a plant hormone, ethylene is critical for regulating fruit ripening but is also a toxic precursor in petrochemical synthesis. Ethane is similarly an important feedstock chemical and refrigerant, yet also highly flammable. Meanwhile, the carcinogenic solvent benzene is utilized across sectors from shoemaking to pharmaceuticals, while posing risks from its rapid volatilization and human toxicity. Specifically, acute benzene poisoning via inhalation can induce neurological spasms, coma, and even death. Currently, photocatalysis [1], electrocatalysis, and photo-electrocatalysis [2] have are considered promising technologies for VOCs reduction. Plasmonic nanoparticles have emerged as promising catalysts for the degradation of volatile organic compounds (VOCs). Specifically, catalysts such as Pt-Au/graphene composites and Porous Ag0.333V2O5 nanorods have been developed to facilitate reactions involving methanol oxidation and oxygen reduction. Targeted VOC control solutions require real-time monitoring and detection of VOC pollution in the atmosphere to effectively prevent and control VOC pollution. However, because of their non-reactive nature and low concentrations, sensing volatile organic molecules is difficult. The classic approach for detecting VOCs is gas chromatography-mass spectrometry (GC-MS), but it needs expensive equipment and involves complex processes, making it only suited for laboratory-based gas detection.
Hence, researchers are continually attempting to build portable VOC sensors. Wencui Kang et al. fabricated a nano-colorimetric sensor array consisting of nano-chemo responsive materials, which are used to quantify the volatile alcohols (VAs) in the kombucha tea extract fermentation process [3]. Au nanoparticles decorated ZnO nanotetrapod sensors with temperature-dependent selectivity were created by Fang Xu [4]. The sensor showed higher selectivity for formaldehyde at temperatures below 200 °C, ethanol at temperatures between 200 and 340 °C, and acetone at temperatures over 400 °C. Decorating TiO2 gas sensors with Au nanoparticles improves sensor sensitivity by 40% according to Mostafa Shooshtari et al. [5]. At room temperature, the Au-decorated TiO2 sensors exhibited sensitivities of 1.1, 1.07, and 1.03 toward 50 ppm of acetone, methanol, and ethanol vapors, respectively. Despite recent advances, developing selective, reusable, and real-time VOC sensors with high responsiveness remains an urgent challenge. Of particular priority are sensors for detecting ultralow concentrations of ethylene, ethane, and benzene—critical VOC targets across diverse applications. For instance, precise detection of ethylene emission rates could enable optimal timing of fruit harvests, while ethane and benzene sensors promise significant impacts in monitoring natural gas pipelines and human exposure risks. As a result, there is an urgent need to create VOC sensors with high responsiveness, strong selectivity, reusability, and real-time monitoring.
An SnS monolayer is a two-dimensional (2D) transition metal sulfide material with an orthorhombic crystal structure and an indirect band gap of 1.63 eV [6]. An SnS monolayer has a high electron mobility of 1.93 × 103 cm−2/Vs [7], which makes it suitable for electronic applications. Due to its moderate band gap and large absorption coefficient (>104 cm−1), SnS monolayers can also be used as photovoltaic absorbers [8], photodetectors [9], and semiconductor devices [10]. SnS monolayers are composed of abundant and non-toxic elements in the Earth’s crust and do not contain heavy metals, which makes them low cost and eco-friendly. An SnS monolayer also exhibits a unique 2D wrinkled layer similar to black phosphorus; which provides an enlarged specific surface area and promotes gas adsorption, making it advantageous for gas sensing applications. According to Aarti et al., O3 and SO3 are chemisorbed, whereas CH2O, H2S, and HCN are physisorbed by the SnS monolayer [11]. The S-vacancy SnS monolayer was discovered to be appropriate for SO2 detection [12] by further work of Aarti. Hu et al. revealed that monolayer SnS is a promising candidate for use as a NO2 gas sensor, with physisorption properties toward NH3, CO, and H2O [13]. Because of increased conductivity and weak contact, the compressive strain (≥3%) on SnS has been demonstrated to have greater sensitivity performance to NH3, H2S, and CO by Qin. et al. [14]. Qiu et al. also created S-vacancy-enriched SnS for methanol sensing materials at ambient temperature and clarified it further using DFT calculations [15]. According to Qiu et al., Si and P doping of SnS monolayers displays higher adsorption energy and shorter recovery time to NH3 and SO2 at normal temperatures, respectively, but SnS monolayers with a Cl dope might be reusable NO2 sensors at high temperatures [16]. Qin et al. discovered that Ag-doped and Ag-functionalized SnS monolayers outperform pure SnS monolayers in ethanol sensing [17]. Qin et al. created pristine and Zn-doped SnS and discovered that Zn doping increased methanol vapor sensing performance [18]. Bai et al. created Mn-doped SnS that surpassed pure SnS in terms of acetone response and recovery time by 3.35 times [19]. In our previous work, we have demonstrated that SnS monolayers serve as highly selective, sensitive, and reusable sensors for heavy metal detection [20].
The sensing capabilities of pristine and Pt-decorated SnS monolayers (Pt@SnS) towards three typical VOCs, including ethylene (C2H4), ethane (C2H6), and benzene (C6H6), were comprehensively investigated using a combination of density functional theory (DFT) first-principles computations and the non-equilibrium Green’s function method (NEGF). Various key characteristics, including absorption energy, charge transfer, density of states (DOS), band structure, and current−voltage curves, are calculated for the VOCs adsorbed on both pristine and Pt-modified SnS monolayers. Pt-functionalized SnS monolayers exhibit exceptional gas sensing performance, including higher sensitivity than existing materials and distinctive bias-switchable selectivity toward multiple VOCs with a single device.
2. Calculation Methods
The Vienna Ab initio Simulation Package (VASP) was utilized for spin-polarized DFT calculations [21,22], with the Perdew−Burke−Ernzerhof parametrization (GGA-PBE) used to compute exchange-correlation energy [23]. The DFT-D3 method was employed to account for van der Waals interaction [24]. To eliminate interlayer interactions, a vacuum layer with a thickness of 20 Å was introduced parallel to the surface layer. Sampling of the Brillouin zone was performed using Monkhorst−Pack k-points with a grid size of 4 × 4 × 1. The energy cutoff was set at 400 eV, and convergence criteria of 10−5 eV and 0.02 eV/Å were applied for the energy and forces, respectively. The adsorption energy was calculated using the formula as follows:
The adsorption energy (Ead) was computed by subtracting the total energy of the gas adsorption system (Etotal) from the combined energies of the optimized pristine or Pt-decorated SnS monolayer (Esub) and the VOC molecule (Egas). The crystal structures and charge density differential (CDD) were visualized using VESTA 3 [25].
The current−voltage (I–V) characteristics were calculated using the nonequilibrium Green’s function method implemented in the TranSIESTA package of SIESTA [26]. The Landauer−Buttiker formula [27] was employed to compute the current, as expressed in Equation (2):
Calculations were made to determine the electric current (I) flowing through the contact electrode at a bias voltage (Vb). μL and μR, respectively, stand for the left and right electrodes’ electrochemical potentials. The left and right electrodes’ Fermi−Dirac distribution function was written as f(E − μL/R). It was calculated the transmission coefficient T(E,Vb) at a given energy (E) and bias voltage (Vb).
3. Results and Discussion
3.1. Adsorption Characteristics of Pristine SnS Monolayer on VOCs
Figure 1a depicts the construction of an orthorhombic SnS monolayer using a 4 × 4 supercell (64 atoms). Each Sn(S) atom in the monolayer was coordinated with three Sn(Sn) atoms. To determine the optimal adsorption site of the SnS monolayers, four distinct locations were considered: the center of the tetragonal ring (H), the top of the Sn atom (TSn), the top of the S atom (TS), and the bridge (B) of the Sn-S bond. Figure 2a exhibits that the SnS monolayer’s bandwidth is 1.667 eV.
Figure 1.
The structure and adsorption position of the SnS monolayer: (a) pristine SnS monolayer, (b) Pt-decorated SnS monolayer, (c) CDD of Pt-decorated SnS monolayer.
Figure 2.
The structure and adsorption position of the SnS monolayer: (a) pristine SnS monolayer, (b) Pt-decorated SnS monolayer, (c) CDD of Pt-decorated SnS monolayer.
Figure 3 illustrates the most stable configuration of VOC adsorption on the SnS monolayer. C2H4 and C2H6 are adsorbed at the H site of the SnS monolayer, with their C-C bonds parallel to the monolayer surface. The distance between the H atom of C2H4 and the closest S atom on the SnS monolayer surface is 3.479 Å, while that between the H atom of C2H6 and the closest S atom on the SnS monolayer surface is 3.322 Å. The hexagonal ring of C6H6 is parallel to the SnS monolayer surface, with its center located at the TSn site. The distance between the H atom of C6H6 and the Sn atom is 3.502 Å. These results reveal that the SnS monolayer exhibits weak interaction with VOC molecules due to their relatively long distance from the surface. Table 1 shows that C2H4, C2H6, and C6H6 gas molecules exhibit adsorption energies of −0.532 eV, −0.314 eV, and −0.601 eV, respectively. The adsorption of VOC molecules onto SnS monolayers is an exothermic process, as evidenced by the negative values of the adsorption energies. This implies that the adsorption can occur spontaneously, without requiring external energy input.
Figure 3.
VOC adsorption on the surface of SnS monolayer. (a) C2H4. (b) C2H6. (c) C6H6.
Table 1.
The list of adsorption energy (Ead), adsorption distance (d), charge transfer (ΔQ), and energy gaps (Eg) between adsorbate and SnS monolayer.
The CDD is computed using Equation (3) in order to further comprehend the bonding features of the adsorbate and the substrate:
Here, the charge densities of the adsorption system, the substrate, and the adsorbent are denoted as ρsub+ads, ρsub, and ρads, respectively.
As Figure 4 shows, the charge density differential displays areas of electron accumulation in magenta and areas of electron depletion in blue. Adsorption of C2H4 onto the SnS monolayer surface creates charge depletion regions in the SnS accompanied by charge accumulation zones between the C2H4 molecule and the surface, centered on the C atoms. This redistribution indicates electron transfer from the SnS monolayer to the vicinity of the C atoms in C2H4. Bader analysis reveals that C2H4 gains 0.012 e from the SnS monolayer. For C2H6, the main charge depletion zone occurs around the H atoms near the SnS monolayer, whereas the charge accumulates on the C atoms facing the H atoms. C2H6 gains 0.016e from the SnS monolayer. In contrast, C6H6 adsorption results in charge accumulation zones on the side and bottom of the Sn atoms below C6H6 and a charge dissipation zone on the top of the Sn atoms facing C6H6. The adsorption of C6H6 results in an increased electron density on the Sn atoms and the bottom layer of the SnS monolayer, accompanied by electron depletion in the direction towards the C6H6 molecule. This signifies electron transfer from the SnS to the C6H6. Specifically, accumulation zones centered on the six C atoms indicate they gain 0.011e each from the SnS monolayer. Our simulations reveal only weak charge transfer (0.011–0.016 eV) from the SnS monolayer to the adsorbing C2H4, C2H6, and C6H6 gas molecules. This confirms that these hydrocarbon species act as electron acceptors, depleting a small fraction of electron density from the SnS during physisorption.
Figure 4.
The CDD and ELF of VOC adsorption on SnS monolayers. (a) C2H4. (b) C2H6. (c) C6H6.
The electron localization function (ELF) calculations are performed as well as analyses to investigate the interactions between three gas molecules and the SnS monolayer as seen in Figure 4. The figure displays the degree of electron localization (red) and delocalization (blue) in the region. It is evident that, after adsorption, there is no electron localization overlap between gas molecules and adsorbents, indicating no chemical reaction but physical interaction.
After VOC adsorption, the bandwidth narrows, as can be observed in Figure 5. The bandwidths of C2H4, C2H6, and C6H6 are reduced to 1.570 eV, 1.611 eV, and 1.565 eV, respectively. The TDOS and projected density of states (PDOS) of VOC adsorption on SnS monolayers are plotted in Figure 6, which illuminates that the adsorption of VOC molecules onto SnS monolayers does not result in obviously overlap between the C 2p or H 1s orbitals and Sn 5p or S 3p orbitals near the Fermi level. Consequently, hybridized energy levels do not form at the conduction and valence band edges, resulting in a limited impact on the energy bands due to gas adsorption. Moreover, after absorbing C2H4 and C6H6, the contribution of the gas’ C 2p orbitals to the peaks at 3.102 eV and 3.030 eV, respectively, is weak. Insufficient overlap between the molecular orbitals of a VOC species and the electronic states of the SnS monolayer surface suggests weak interfacial interactions. Minimal orbital overlap also implies a poor match between the relative energy levels of the molecule and monolayer. Transitions between the molecular orbitals and SnS band states are then less likely to occur. Therefore, it can be inferred that the adsorption of VOCs onto SnS monolayers has an insignificant impact on the density of states in the conduction band. This observation aligns with the finding that there is a weak interaction between VOCs and the system, as discussed earlier. DOS and band structure analyses indicate minimal perturbations to the electronic structure of the SnS monolayer upon VOC molecule adsorption, which suggests that electrical conductivity modulation will be very small in the presence of VOCs. This implies that VOC sensitivity will be low in bare SnS monolayers due to weak interfacial interactions.
Figure 5.
The band structures of VOC adsorption on SnS monolayers. (a) C2H4. (b) C2H6. (c) C6H6.
Figure 6.
The TDOS and PDOS of VOC adsorption on SnS monolayers. (a) C2H4. (b) C2H6. (c) C6H6.
Recovery time is the time required for gas molecules to desorb from the surface of the sensing material. This is a key indicator of the reusability of the sensor material. The shorter the recovery time, the higher the reusability of the material, but the weaker the interaction between the material and gas molecules. For materials with a longer recovery time, the desorption process can be accelerated by increasing the temperature or applying UV irradiation [28]. Using the classical transition state theory, the recovery time (τ) is calculated with:
where ω, Ead, kB, and T are the attempt frequency, adsorption energy, Boltzmann constant, and temperature, respectively. ω is taken as 10−13 s−1 [16]. From our recovery time calculations, we find that the recovery times of C2H4, C2H6, and C6H6 at room temperature (298 K) are 9.59 × 10−5 s, 2.04 × 10−8 s, and 1.46 × 10−3 s, respectively, as shown in Figure 7a. The short recovery time of the pristine SnS monolayer indicates its potential for good reusability in VOC sensing applications. However, this also suggests that the selectivity and sensitivity of the sensor toward VOC molecules may be compromised.
Figure 7.
The recovery time of VOC adsorption on SnS monolayers. (a) Intrinsic SnS monolayer; (b) Pt-decorated SnS monolayers.
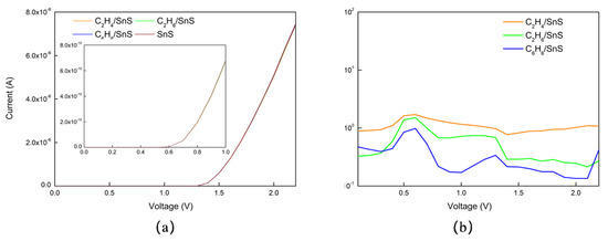
Leveraging NEGF theory, the electrical transport properties of SnS monolayers are investigated through comprehensive two-probe simulations to analyze the current−voltage (I–V) characteristics of SnS monolayers in detail, as apparent from Figure S1. This model consists of two electrodes and a scattering region, where the surface of the latter is capable of detecting VOC molecules. Figure 8a illustrates that the current of the SnS monolayer with adsorbed VOCs closely resembles that of the pristine SnS monolayer, making it challenging to differentiate between the current curves of different gases from the graph. This observation further suggests that the change in conductivity of the SnS monolayer after adsorbing VOCs is negligible.
Figure 8.
The (a) current−voltage curves and (b) sensitivity of VOC adsorption on SnS monolayer.
To further evaluate the VOC sensing abilities of SnS monolayers, their sensitivity (S) and conductance (G) are estimated using Equations (5) and (6), respectively:
The conductivity of the SnS monolayer with and without deposited VOC molecules is represented by G and G0. The bias voltage applied to the electrodes is denoted by Vb, whilst the current flowing through the scattering region with adsorbed VOC molecules is denoted by I.
As Figure 8a shows, our electronic transport simulations quantify the minor conductivity changes in the SnS monolayer upon VOC adsorption. For C2H4, the conductivity changes by 0.8–1.7% relative to bare SnS. For C2H6, the enhancement is 0.2–0.9%, while for C6H6 the change ranges from 0 to 0.6%. These negligible conductivity modulations further validate our earlier predictions from electronic structure analyses of weak VOC−SnS interactions. The minimal conductivity response highlights major challenges for detecting these VOCs with pristine SnS monolayers.
Figure 8b demonstrates that the highest sensitivities of a SnS monolayer adsorbing C2H4, C2H6, and C6H6 are 1.7%, 1.5%, and 0.9%, respectively, with a bias voltage of 0–2.2 V. This observation provides further evidence that the SnS monolayer has low sensitivity towards VOC molecules, making it difficult to achieve effective detection.
3.2. Adsorption Characteristics of Pt-Decorated SnS Monolayer on VOCs
The adsorption of VOCs on the pristine SnS monolayer exhibits weak interaction and low sensitivity. Therefore, the pristine SnS monolayer would be inadequate to achieve the detection of VOCs. In this section, the adsorption and gas-sensing performance of Pt@SnS layers towards different VOCs are investigated.
After sufficient relaxation, the most stable site for Pt atom modification on the SnS monolayer surface is found to be at the H site, according to Figure 1b. Our simulations reveal strong interactions between the adsorbed Pt atom and the SnS monolayer, causing the Pt to descend in the z-direction to be level with the topmost atomic plane of SnS. Lateral displacements of the neighboring Sn atoms away from the Pt by 0.60 Å also occur due to electrostatic repulsion between the positively charged cations. Conversely, the neighboring S atoms move 0.16 Å towards the Pt because of attractive interactions. The distance between the Pt and S is measured to be 2.314 Å. The differential charge density map of the Pt-decorated SnS monolayer in Figure 1c reveals a strong charge exchange between Pt and its neighboring S atoms. Bader charge analysis further indicates a significant change in atomic charges of the modified SnS monolayer. Specifically, charge depletion occurs on two neighboring S atoms, with the electron population decreasing from 0.963e to 0.802e on one S atom, and from 0.963e to 0.840e on the other. Meanwhile, the Pt atom gains 0.332e of electronic charge. These results suggest that the modified Pt atom gains abundant electrons from the SnS monolayer, indicating a strong bond between them, consistent with the above discussion. CDD analysis of adsorbed Pt on the SnS monolayer supports this viewpoint, revealing a large amount of negative charge accumulation between Pt and its neighboring S atoms, indicating a tight bond between decorated Pt and SnS monolayer.
The band structure and DOS of the Pt-decorated SnS monolayer are presented in Figure 2b,c. The decreased bandgap of the SnS monolayer (from 1.667 eV to 1.145 eV) after Pt decoration means that it requires less energy to excite electrons from the valence band to the conduction band. The enhanced electron excitation increases the SnS monolayer’s response to changes in the gas concentration or environment. Therefore, even small amounts of VOC molecules can cause a notable change in the conductivity of the SnS monolayer. Moreover, the lower bandgap improves the speed of the electron excitation process. The electrons can easily transition from the valence band to the conduction band, facilitating rapid charge transfer and electrical conductivity changes.
The total density of states (TDOS) of the Pt-SnS monolayer shifts to the left after Pt modification, indicating increased system stability. Furthermore, highly overlapping Pt 5d orbitals with S 3p orbitals within the ranges of −4.856 eV to −3.71 eV and −0.225 eV to −0.167 eV demonstrate the formation of stable bonds between Pt and the SnS monolayer surface, allowing for stable modification on the SnS surface. Notably, a new hybridized energy level is generated due to the overlap between S 3p orbitals and Pt 5d orbitals at −0.072 eV to the left of the Fermi level, facilitating electron excitation from the valence band to the conduction band and resulting in a significant increase in conductivity of Pt@SnS. The bandgap of SnS monolayer decreases from 1.667 eV to 1.145 eV after Pt modification, indicating enhanced electron excitation.
The most stable configurations of adsorbed VOCs on a Pt-decorated SnS monolayer appear in Figure 9. C2H4 is found to be located at the top of the Pt atom of the SnS monolayer with its C-C bond parallel to the surface. The distance between the C atom in C2H4 and the Pt atom on the SnS monolayer surface measures 2.137 Å. Table 1 reveals that the adsorption energy of C2H4 on Pt-decorated SnS monolayer is as high as −1.503 eV. This observation suggests a strong interaction between the C2H4 and Pt-decorated SnS monolayer, which can be attributed to their close proximity and high adsorption energy. Meanwhile, C2H6 is located at the TS site with its C-C bond also parallel to the surface, and the distance between its H atom and the nearest S atom is 2.966 Å. Lastly, C6H6 is positioned above the Sn atom and shifted towards Pt, with its H atom at a distance of 3.353 Å from the nearest S atom. Comparing the intrinsic and decorated configurations, the adsorption distances of C2H4, C2H6, and C6H6 on Pt@SnS are 38.5%, 10.7%, and 4.2% lower than those on SnS (3.479, 3.322, and 3.502 Å). The shorter adsorption distances facilitate the orbital overlap and charge transfer between the gas molecules and the surface, which introduce more carriers to the surface and result in more significant changes in conductivity, thus enhancing the sensitivity of the sensor. This finding suggests that the Pt modification enhances the sensitivity of the system towards C2H4 and C2H6 gas molecules.
Figure 9.
VOC adsorption on the surface of SnS monolayer. (a) C2H4. (b) C2H6. (c) C6H6.
After C2H4 adsorption on the surface of the Pt@SnS monolayer, Figure 10 reveals a connected charge accumulation region between the C and Pt atoms, while a charge depletion region is formed around the H atom. Bader analysis indicates that C2H4 as a whole gains 0.066e from the Pt@SnS monolayer surface, while Pt dopant carries a negative charge of 0.185e. Upon C2H4 adsorption, Pt dopant acts as an electron donor, extracting 0.147e of electrons from the Pt, with the SnS monolayer accepting 0.081e of these electrons. CDD analysis shows that electron depletion mainly occurs near the center of the Pt, while electron accumulation mainly occurs on the C2H4 molecule. The significant charge transfer between the C2H4 molecule and the Pt@SnS monolayer suggests that the formation of the Pt-C bond in this system is primarily governed by ionic bonding. The overlap of electron accumulation and depletion on the Pt-C bond supports this hypothesis and indicates electron hybridization during their formation process. These findings further confirm the strong interaction between the C2H4 and Pt-decorated SnS monolayer.
Figure 10.
The CCD and ELF of VOC adsorption on the surface of the Pt@SnS monolayer. (a) C2H4. (b) C2H6. (c) C6H6.
With C2H6 adsorption on the Pt@SnS monolayer, a charge depletion region is formed between Pt and C2H6, while a charge accumulation region is formed around the C atom. Bader charge analysis reveals that the Pt carries a negative charge of 0.383e after adsorption, indicating an additional 0.075e of electrons provided by the SnS surface, with 0.051e of electrons remaining on the Pt and 0.024e of electrons transferring to the C2H6 molecule. In other words, the Pt acts as a bridge for the charge transfer from gas molecules to the SnS monolayer, thereby promoting electron redistribution in the adsorption system.
Upon C6H6 adsorption on the Pt@SnS monolayer, a charge depletion region appears on the C atom surface facing the Pt@SnS monolayer, while a charge depletion region also appears on the surface of the Pt facing the C6H6, with side and bottom surfaces being charge accumulation regions. Bader charge analysis reveals that the C6H6 molecule as a whole loses 0.006 electrons, while the Pt carries a negative charge of 0.424e, indicating its role as an electron acceptor and gaining 0.092 electrons, with 0.086e of these electrons taken from the SnS monolayer surface.
ELF analysis reveals the absence of electron localization overlap between gas molecules C2H6 and C6H6 with SnS monolayers, implying a purely physical interaction. Conversely, the presence of discernible electron localization overlap between C2H4 and Pt suggests a robust interplay and heightened sensitivity.
Figure 11 depicts that the Pt-decorated SnS monolayers undergo changes in bandgap widths upon adsorption of VOCs. Specifically, C2H4, C2H6, and C6H6 induce bandgap widths of 1.161 eV, 1.192 eV, and 1.316 eV, respectively. The degree of overlap of the density of states (DOS) provides an indirect measure of the electronic hybridization and adsorption strength among VOCs, Pt atoms, and SnS monolayers. Figure 12 shows that Pt doping expands the overlapping area of the DOS for VOCs, Pt, and SnS monolayers by increasing the overlapping area between gas molecules and substrates. Adsorbed C2H4 on Pt@SnS monolayers exhibits significant hybridization between the C-2p and S 3p orbitals at −7.254 eV, while the C 2p and S 3p, H 1s, and Pt 5d orbitals hybridize at −6.585 eV. The C 2p and Pt 5d orbitals hybridize between −5.099 eV and −2.973 eV. A steep peak appears at −3.613 eV, indicating high electron localization contributed mainly by Sn and S, with contributions from the C 2p and Pt 5d orbitals. These theoretical results demonstrate the excellent adsorption potential of Pt-decorated SnS monolayers for C2H4 gas.
Figure 11.
The band structures of VOC adsorption on SnS monolayers. (a) C2H4. (b) C2H6. (c) C6H6.
Figure 12.
The TDOS and PDOS of VOC adsorption on SnS monolayers. (a) C2H4. (b) C2H6. (c) C6H6.
Upon C2H6 adsorption, the Pt DOS overlaps with the DOS of SnS monolayer or C2H6 at −7.419 eV and −5.174 eV, −4.999 to −0.187 eV, 1.446 to 5.179 eV intervals, and −0.070 eV. A very steep hybridization peak involving Pt 5d, S 3p, and Sn 5p appears at 2.053 eV. Consequently, the Pt-decorated system exhibits higher DOS near the Fermi level than the pristine SnS monolayer after C2H6 adsorption, resulting in higher responsiveness to C2H6 gas.
In comparison to the pristine SnS monolayer, the Pt-decorated SnS monolayer exhibits a considerable rise in DOS upon C6H6 adsorption, and the hybridization peak steepens. Multiple hybridization peaks between C 2p orbitals and Sn 5p, S 3p orbitals are created above the Fermi level in the conduction band, with energies ranging from 2.511 eV to 3.638 eV. The enhanced DOS indicates that Pt@SnS with C6H6 adsorption system offers a rich variety of electronic states near the Fermi level, which facilitates the charge transfer processes upon gas adsorption. The steepening of these peaks indicates a stronger coupling and interaction between the C6H6 molecule and the Pt@SnS monolayer’s electrons. Therefore, the heightened DOS and the steepening of hybridization peaks may enhance the charge transfer and electron exchange between the adsorbed gas molecules and the Pt@SnS monolayer. This increased interaction accelerates the sensitivity of the sensor, allowing it to quickly detect in C6H6. This suggests the Pt-decorated system has a higher conductivity than that of the pristine SnS monolayer without Pt upon C6H6 adsorption.
According to Figure 7b, compared to the pristine SnS monolayer, the Pt-decorated SnS monolayer exhibits a prolonged recovery time of C2H4 desorption, reaching a value of 2.62 × 1012 s. This remarkable effect can be attributed to the change in the nature of adsorption upon Pt modification. In its pristine form, the SnS monolayer undergoes physical adsorption with C2H4, characterized by weak intermolecular interactions, enabling easy dissociation and departure of C2H4 molecules from the SnS monolayer surface. However, after the introduction of Pt decoration, the Pt@SnS monolayer establishes a chemical adsorption interface with C2H4, exhibiting a significantly elevated adsorption energy of −1.503 eV. The intensified interaction between C2H4 molecules and the Pt-decorated SnS monolayer surface leads to an extended recovery period upon gas removal. This can be attributed to the presence of a higher binding energy, establishing a substantial thermodynamic barrier that impedes the desorption of gas molecules from the surface. However, an increase in temperature to 498 K remarkably reduces the recovery time to 162.33 s, demonstrating the feasibility of repeated utilization through effective detachment of C2H4 from the Pt@SnS surface.
In contrast, our calculations predict fast room temperature recovery times of 1.37 × 10−7 s and 9.60 × 10−6 s for C2H6 and C6H6 on Pt-functionalized SnS monolayers, respectively. This rapid reversibility stems from the physisorption of these VOCs, with weaker adsorption energies of just −0.363 eV for C2H6 and −0.472 eV for C6H6. The minimal physical binding means only small amounts of thermal energy are required to detach the VOC molecules when gas exposure ceases. Thus, the Pt-SnS system can quickly revert to its unperturbed baseline state as the VOCs desorb, enabling exceptional sensor resettability and cycling.
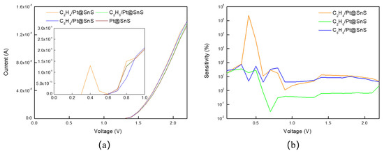
As plotted in Figure 13a, a sharp peak in the current is observed at 0.4 V for Pt@SnS upon adsorption of C2H4. The current curves of Pt@SnS with adsorbed C2H6 or C6H6 can also be clearly distinguished from that of pristine Pt@SnS without adsorbed VOCs. According to the I–V curves in Figure 8a and Figure 13a, the electrical conductance of Pt@SnS for C2H4 was 1.88 to 50623.3 times higher than that of SnS under a voltage range of 0.1–2.2 V, while the electrical conductance of Pt@SnS for C2H6 and C6H6 was 1.60 to 21.0 and 1.72 to 19.79 times higher than that of SnS, respectively. This is consistent with the previous description that the Pt decoration system has better electrical conductivity than intrinsic SnS.
Figure 13.
The (a) current−voltage curves and (b) sensitivity of VOC adsorption on Pt@SnS monolayer.
Figure 13b demonstrates that the sensitivity of Pt-decorated SnS monolayers towards C2H4, C2H6, and C6H6 reaches peak values of 241,921.7%, 35.7%, and 74.3%, respectively, at bias voltages of 0.4 V, 0.3 V, and 0.3 V, respectively. These values are 142,306.9, 23.8, and 82.6 times higher than those of pristine SnS monolayers. Apart from the response peak at 0.3V, Pt@SnS adsorbing C6H6 shows two additional peaks at 0.5 V and 0.3 V with sensitivities of 56.6% and 33.2% respectively. By identifying these three response peaks, it is possible to discriminate C6H6 gas molecules from a variety of gases.
This finding highlights that Pt decoration significantly enhances the sensitivity of the SnS monolayer towards VOC molecules, making it a promising sensing material for VOC detection. Moreover, the significantly higher sensitivity of the Pt-decorated SnS monolayer towards C2H4 compared to other gases is consistent with its higher adsorption energy and charge transfer towards C2H4, as discussed earlier. Therefore, the Pt-decorated SnS monolayer exhibits a high selectivity towards C2H4 detection.
In this study, we conducted a comparative analysis of pristine SnS monolayers and those decorated with Pt, in relation to previously reported VOC sensors (Table S1) [29,30,31,32,33,34,35,36,37,38,39,40,41,42]. Our results demonstrate that SnS monolayers exhibit significantly greater sensitivity to VOCs than other VOC sensors reported. Specifically, SnS monolayers exhibit sensitivities approximately 51.3 and 4300 times greater than Nb-doped PtS2 [29] and Au-doped MoS2 [30], respectively, when used as C2H4 sensors. Furthermore, Pt-decorated SnS monolayers show sensitivity to C6H6 about 7.5 times greater than graphene-like ZnO [31]. Additionally, SnS monolayers exhibit high reusability when sensing VOCs. With high sensitivity to C2H4, Pt-decorated SnS monolayers can recover in 162.33 s at 498 K. In contrast, Nb-doped PtS2 exhibits a slow recovery time of 2.09 × 107 s at 498 K, which limits its utility to a disposable sensor. Compared to other 2D materials, Pt-SnS monolayers exhibit moderately fast room temperature recovery for C2H6 and C6H6 adsorption, as highlighted in Table S1. The predicted 1.37 × 10−7 s C2H6 recovery time is slower than ultrafast values for Au-MoS2 (4.13 × 10−9 s) and InP3 (1.88 × 10−8 s) [35] yet orders of magnitude faster than WO3 (7.89 s) and oxygen-terminated defective surface decorate WO3 (7.35 × 104 s) [32]. For C6H6, the 9.60 × 10−6 s Pt-SnS recovery exceeds stanene (2.25 × 10−12 s) [38] and SiC (−0.28 ns) [41] but is considerably swifter than Al2C (8.58 × 1024 s) [33], InP3 (514.32 s) [35], Al@MnO2 (7.23 × 1027 s) [39], and Al@C2N (9.43 × 1013 s) [40]. This balanced combination of sensitivity and feasible resettability makes Pt-SnS a promising room temperature VOC sensing candidate.
4. Conclusions
The sensing capabilities of pristine and Pt-decorated SnS monolayers towards VOCs were investigated using DFT calculations. Pt decoration introduces new energy levels at the top of valence bands, which enhances the overlap region in the density of states between VOCs, SnS, and Pt. Charge analysis indicates that Pt promotes electron redistribution in the adsorption system, leading to a substantial improvement in the sensing performance. Pt-decorated SnS monolayers exhibited a sensitivity of 241,921.7%, 35.7%, 74.3% towards C2H4, C2H6, and C6H6, respectively, which is 142,306.9, 23.8, 82.6 times that of a pristine SnS monolayer, exhibited excellent sensitivity for sensing VOCs, as well as high selectivity for C2H4 detection. The recovery time of Pt-decorated SnS monolayers towards these gases at room temperature was also comparable. The Pt-decorated SnS monolayer demonstrated favorable recovery times of 1.37 × 10−7 s and 9.60 × 10−6 s for C2H6 and C6H6 at room temperature. Although Pt-decorated SnS monolayers exhibited prolonged recovery times at 298 K, heating them to 498 K resulted in a decrease in recovery time to 162.33 s. This confirms that Pt-decorated SnS monolayers can be reused as VOC sensors. The findings of this research demonstrate the potential of SnS monolayers as highly selective, sensitive, and reversible VOC sensing materials.
Supplementary Materials
The following supporting information can be downloaded at: https://www.mdpi.com/article/10.3390/s23177319/s1, Figure S1: The two-probe simulation model for VOCs sensing; Table S1: Comparison between this work with previous reports.
Author Contributions
Conceptualization, J.W.; methodology, J.W.; software, Z.L.; investigation, J.W.; resources, X.X. and A.L.; writing—original draft preparation, J.W.; writing—review and editing, X.X.; visualization, J.W.; supervision, X.X. and A.L.; funding acquisition, X.X. and A.L. All authors have read and agreed to the published version of the manuscript.
Funding
This research was funded by National Natural Science Foundation of China, grant number 92050101, 11874157 and 11964032.
Institutional Review Board Statement
Not applicable.
Informed Consent Statement
Not applicable.
Data Availability Statement
Not applicable.
Acknowledgments
The authors would like to thank Peiyuan Lai, Tongle Liang, Xianxu Li, Hongfei Qiu, Zhiqing Huang, and Pengchen Jian for their guidance on computational facilities.
Conflicts of Interest
The authors declare no conflict of interest.
References
- Zhao, W.; Adeel, M.; Zhang, P.; Zhou, P.; Huang, L.; Zhao, Y.; Ahmad, M.A.; Shakoor, N.; Lou, B.; Jiang, Y.; et al. A Critical Review on Surface-Modified Nano-Catalyst Application for the Photocatalytic Degradation of Volatile Organic Compounds. Environ. Sci. Nano 2022, 9, 61–80. [Google Scholar] [CrossRef]
- Amirjani, A.; Amlashi, N.B.; Ahmadiani, Z.S. Plasmon-Enhanced Photocatalysis Based on Plasmonic Nanoparticles for Energy and Environmental Solutions: A Review. ACS Appl. Nano Mater. 2023, 6, 9085–9123. [Google Scholar] [CrossRef]
- Kang, W.; Lin, H.; Yao-Say Solomon Adade, S.; Wang, Z.; Ouyang, Q.; Chen, Q. Advanced Sensing of Volatile Organic Compounds in the Fermentation of Kombucha Tea Extract Enabled by Nano-Colorimetric Sensor Array Based on Density Functional Theory. Food Chem. 2023, 405, 134193. [Google Scholar] [CrossRef]
- Xu, F.; Li, W.; Sun, S.; Zhong, A.; Cheng, X.; Shi, J.; Li, Z.; Li, J.; Zhang, W.; Wang, X.; et al. Expanding Selectivity Functionality of a ZnO Nanotetrapod-Based Volatile Organic Compound Sensor Using Au Nanoparticle Decoration. ACS Appl. Nano Mater. 2023, 6, 8335–8345. [Google Scholar] [CrossRef]
- Shooshtari, M.; Vollebregt, S.; Vaseghi, Y.; Rajati, M.; Pahlavan, S. The Sensitivity Enhancement of TiO2-Based VOCs Sensor Decorated by Gold at Room Temperature. Nanotechnology 2023, 34, 255501. [Google Scholar] [CrossRef] [PubMed]
- Khoa, D.Q.; Nguyen, C.V.; Phuc, H.V.; Ilyasov, V.V.; Vu, T.V.; Cuong, N.Q.; Hoi, B.D.; Lu, D.V.; Feddi, E.; El-Yadri, M.; et al. Effect of Strains on Electronic and Optical Properties of Monolayer SnS: Ab-Initio Study. Phys. B Condens. Matter 2018, 545, 255–261. [Google Scholar] [CrossRef]
- Xu, L.; Yang, M.; Wang, S.; Feng, Y. Electronic and Optical Properties of the Monolayer Group-IV Monochalcogenides MX (M = Ge, Sn; X = S, Se, Te). Phys. Rev. B 2017, 95, 235434. [Google Scholar] [CrossRef]
- Banai, R.E.; Horn, M.W.; Brownson, J. A Review of Tin (II) Monosulfide and Its Potential as a Photovoltaic Absorber. Sol. Energy Mater. Sol. Cells 2016, 150, 112–129. [Google Scholar] [CrossRef]
- Tian, H.; Fan, C.; Liu, G.; Yuan, S.; Zhang, Y.; Wang, M.; Li, E. Ultrafast Broadband Photodetector Based on SnS Synthesized by Hydrothermal Method. Appl. Surf. Sci. 2019, 487, 1043–1048. [Google Scholar] [CrossRef]
- Dragoman, M.; Dinescu, A.; Avram, A.; Dragoman, D.; Vulpe, S.; Aldrigo, M.; Braniste, T.; Suman, V.; Rusu, E.; Tiginyanu, I. Ultrathin Tin Sulfide Field-Effect Transistors with Subthreshold Slope below 60 MV/Decade. Nanotechnology 2022, 33, 405207. [Google Scholar] [CrossRef]
- Shukla, A.; Gaur, N.K. Adsorption of O3, SO3 and CH2O on Two Dimensional SnS Monolayer: A First Principles Study. Phys. B Condens. Matter 2019, 572, 12–17. [Google Scholar] [CrossRef]
- Shukla, A.; Gaur, N.K. The Influence of S Vacancy on the Adsorption of Toxic Gas Molecules on SnS Monolayer: A DFT Study. Phys. E Low-Dimens. Syst. Nanostruct. 2020, 120, 114054. [Google Scholar] [CrossRef]
- Hu, F.-F.; Tang, H.-Y.; Tan, C.-J.; Ye, H.-Y.; Chen, X.-P.; Zhang, G.-Q. Nitrogen Dioxide Gas Sensor Based on Monolayer SnS: A First-Principle Study. IEEE Electron Device Lett. 2017, 38, 983–986. [Google Scholar] [CrossRef]
- Qin, Y.; Shen, X.; Bai, Y. First-Principles Prediction of Strain-Induced Gas-Sensing Tuning in Tin Sulfide. Phys. Chem. Chem. Phys. 2021, 23, 18712–18723. [Google Scholar] [CrossRef] [PubMed]
- Qiu, P.; Qin, Y.; Bai, Y. Ultra-Sensitive Methanol Detection Based on S-Vacancy-Enriched SnS: A Combined Theoretical and Experimental Investigation. Vacuum 2022, 198, 110880. [Google Scholar] [CrossRef]
- Qiu, P.; Qin, Y.; Bai, Y.; Xia, Q.; Zheng, A. Gas Selectivity Regulation of Monolayer SnS by Introducing Nonmetallic Dopants: A Combined Theoretical and Experimental Investigation. Appl. Surf. Sci. 2021, 570, 151155. [Google Scholar] [CrossRef]
- Qin, Y.; Wang, X. Experiments Combined with First-Principles Calculations to Compare the Enhancement of Ag-Doping and -Functionalization on the Sensing Properties of Two-Dimensional SnS. Phys. E 2021, 131, 114752. [Google Scholar] [CrossRef]
- Qin, Y.; Qiu, P.; Bai, Y. First-Principles Calculations Combined with Experiments to Study the Gas Sensing Performance of Zn-Substituted SnS. Phys. Chem. Chem. Phys. 2020, 22, 17513–17522. [Google Scholar] [CrossRef]
- Bai, Y.; Qin, Y.; Qiu, P. Boosting the Acetone Sensing of SnS Nanoflakes by Spin Mn Substitution: A Novel Adsorption-Desorption Perspective. Environ. Sci.-Nano 2021, 8, 1096–1108. [Google Scholar] [CrossRef]
- Wu, J.; Li, X.; Liao, H.; Xue, S.; Huang, L.; Xing, X.; Luo, A. SnS Monolayers Based Heavy Metal Sensors: DFT and NEGF Analysis. Results Phys. 2023, 51, 106704. [Google Scholar] [CrossRef]
- Kresse, G.; Furthmüller, J. Efficient Iterative Schemes for Ab Initio Total-Energy Calculations Using a Plane-Wave Basis Set. Phys. Review. B Condens. Matter 1996, 54, 11169. [Google Scholar] [CrossRef]
- Kresse, G.; Furthmüller, J. Efficiency of Ab-Initio Total Energy Calculations for Metals and Semiconductors Using a Plane-Wave Basis Set. Comput. Mater. Sci. 1996, 6, 15–50. [Google Scholar] [CrossRef]
- Perdew, J.P.; Burke, K.; Ernzerhof, M. Generalized Gradient Approximation Made Simple. Phys. Rev. Lett. 1996, 77, 3865, Erratum in Phys. Rev. Lett. 1997, 78, 1396.. [Google Scholar] [CrossRef] [PubMed]
- Grimme, S. Semiempirical GGA-Type Density Functional Constructed with a Long-Range Dispersion Correction. J. Comput. Chem. 2010, 27, 1787–1799. [Google Scholar] [CrossRef] [PubMed]
- Momma, K.; Izumi, F. VESTA3 for Three-Dimensional Visualization of Crystal, Volumetric and Morphology Data. J. Appl. Crystallogr. 2011, 44, 1272–1276. [Google Scholar] [CrossRef]
- Soler, J.M.; Artacho, E.; Gale, J.D.; García, A.; Junquera, J.; Ordejón, P.; Sánchez-Portal, D. The SIESTA Method for Ab Initio Order-N Materials Simulation. J. Phys. Condens. Matter 2002, 14, 2745. [Google Scholar] [CrossRef]
- Meir, Y.; Wingreen, N.S. Landauer Formula for the Current through an Interacting Electron Region. Phys. Rev. Lett. 1992, 68, 2512–2515. [Google Scholar] [CrossRef]
- Zhang, Y.H.; Chen, Y.B.; Zhou, K.G.; Liu, C.H.; Zeng, J.; Zhang, H.L.; Peng, Y. Improving Gas Sensing Properties of Graphene by Introducing Dopants and Defects: A First-Principles Study. Nanotechnology 2009, 20, 185504. [Google Scholar] [CrossRef]
- Yao, W.; Guan, H.; Zhang, K.; Wang, G.; Wu, X.; Jia, Z. Nb-Doped PtS2 Monolayer for Detection of C2H2 and C2H4 in on-Load Tap-Changer of the Oil-Immersed Transformers: A First-Principles Study. Chem. Phys. Lett. 2022, 802, 139755. [Google Scholar] [CrossRef]
- Jiang, T.; He, Q.; Bi, M.; Chen, X.; Sun, H.; Tao, L. First-Principles Calculations of Adsorption Sensitivity of Au-Doped MoS2 Gas Sensor to Main Characteristic Gases in Oil. J Mater Sci 2021, 56, 13673–13683. [Google Scholar] [CrossRef]
- Harun Achmad, M.; Azhar Mansoor Al Sarraf, A.; Bokov, D.O.; Raya, I.; Derakhshandeh, M. A DFT Study on the Ag-Decorated ZnO Graphene-like Nanosheet as a Chemical Sensor for Ethanol: Explaining the Experimental Observations. Inorg. Chem. Commun. 2021, 133, 108892. [Google Scholar] [CrossRef]
- Li, J.-H.; Wu, J.; Yu, Y.-X. DFT Exploration of Sensor Performances of Two-Dimensional WO3 to Ten Small Gases in Terms of Work Function and Band Gap Changes and I-V Responses. Appl. Surf. Sci. 2021, 546, 149104. [Google Scholar] [CrossRef]
- Rahimi, R.; Solimannejad, M.; Chaudhari, A. Toxic Volatile Organic Compounds Sensing by Al2C Monolayer: A First-Principles Outlook. J. Hazard. Mater. 2021, 403, 123600. [Google Scholar] [CrossRef] [PubMed]
- Tabari, L.; Farmanzadeh, D. Yttrium Doped Graphene Oxide as a New Adsorbent for H2O, CO, and Ethylene Molecules: Dispersion-Corrected DFT Calculations. Appl. Surf. Sci. 2020, 500, 144029. [Google Scholar] [CrossRef]
- Yang, H.; Wang, Z.; Ye, H.; Zhang, K.; Chen, X.; Zhang, G. Promoting Sensitivity and Selectivity of HCHO Sensor Based on Strained InP3 Monolayer: A DFT Study. Appl. Surf. Sci. 2018, 459, 554–561. [Google Scholar] [CrossRef]
- Li, W.; Jiang, Q.; Li, D.; Ao, Z.; An, T. Density Functional Theory Investigation on Selective Adsorption of VOCs on Borophene. Chin. Chem. Lett. 2021, 32, 2803–2806. [Google Scholar] [CrossRef]
- Chen, Y.; Gui, Y.; Chen, X. Adsorption and Gas-Sensing Properties of C2H4, CH4, H2, H2O on Metal Oxides (CuO, NiO) Modified SnS2 Monolayer: A DFT Study. Results Phys. 2021, 28, 104680. [Google Scholar] [CrossRef]
- Li, Y.; Yu, C.-M. DFT Study of the Adsorption of C6H6 and C6H5OH Molecules on Stanene Nanosheets: Applications to Sensor Devices. Phys. E Low-Dimens. Syst. Nanostruct. 2021, 127, 114533. [Google Scholar] [CrossRef]
- Cao, J.; Wu, F.; Wen, M.; Peng, J.; Yang, Y.; Dong, H. Adsorption Mechanism of Typical VOCs on Pristine and Al-Modified MnO2 Monolayer. Appl. Surf. Sci. 2021, 539, 148164. [Google Scholar] [CrossRef]
- Su, Y.; Ao, Z.; Ji, Y.; Li, G.; An, T. Adsorption Mechanisms of Different Volatile Organic Compounds onto Pristine C2N and Al-Doped C2N Monolayer: A DFT Investigation. Appl. Surf. Sci. 2018, 450, 484–491. [Google Scholar] [CrossRef]
- Yadav, A. Monolayer Silicon Carbide as an Efficient Adsorbent for Volatile Organic Compounds: An Ab Initio Approach. Silicon 2023, 15, 1563–1569. [Google Scholar] [CrossRef]
- Peng, R.; Zeng, W.; Zhou, Q. Adsorption and Gas Sensing of Dissolved Gases in Transformer Oil onto Ru3-Modified SnS2: A DFT Study. Appl. Surf. Sci. 2023, 615, 156445. [Google Scholar] [CrossRef]
Disclaimer/Publisher’s Note: The statements, opinions and data contained in all publications are solely those of the individual author(s) and contributor(s) and not of MDPI and/or the editor(s). MDPI and/or the editor(s) disclaim responsibility for any injury to people or property resulting from any ideas, methods, instructions or products referred to in the content. |
© 2023 by the authors. Licensee MDPI, Basel, Switzerland. This article is an open access article distributed under the terms and conditions of the Creative Commons Attribution (CC BY) license (https://creativecommons.org/licenses/by/4.0/).












