Aging Compensation in a Class-A High-Frequency Amplifier with DC Temperature Measurements
Abstract
1. Introduction
2. Experimental Setup
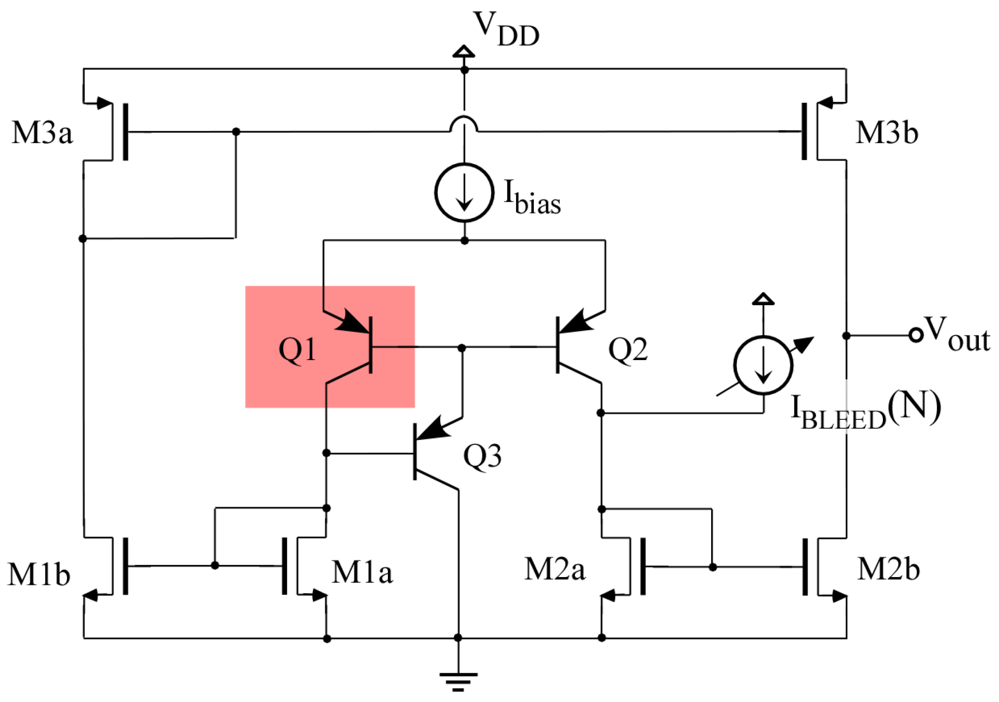
2.1. Circuit Description
2.2. Experimental Characterization
3. Strategies to Monitor Gain Variability with DC Temperature Measurements
3.1. Principle of the Technique
3.1.1. Variation of the DC Operation Point
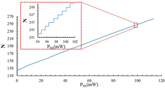
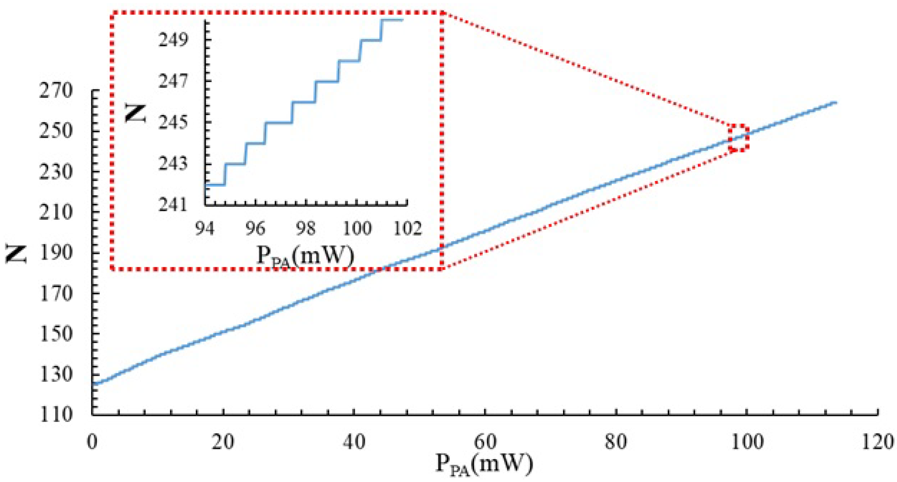
3.1.2. Variation of the Homodyne Dissipated Power
3.2. Measurement Procedures to Track Gain Variation
3.2.1. Procedure1
3.2.2. Procedure2
- Let us name as the N value measured when the AC input amplitude applied to the PA is .
- Let us name as the N value measured when the AC input amplitude applied to the PA is .
- The difference is an indication of the PA gain. If this difference changes, it implies that the PA gain has changed as well.
4. Aging Monitoring and Compensation
4.1. Experimental Measurements after Accelerated Aging
4.2. Tracking Gain Degradation with Temperature Measurements
4.3. Aging Compensation with Temperature Measurements
- When the PA is fresh and biased with nominal conditions ( = 0.89 V, = 3.3 V), we measure . We name this value the golden value, .
- Accelerated aging is performed. As the circuit is aged, the measurement of produces a value smaller than the golden value.
- We define initial values = 0.89 V, = 100 mV, .
- While is smaller than the golden value, we perform:
- (a)
- (b)
- (c)
- = Temperature measurement
- If is equal to , then . Otherwise, it means that is larger than . Then, we refine our search:
- (a)
- (b)
- While is larger than the golden value, we perform
- (a)
- (b)
- (c)
- = Temperature measurement
- If is equal to , then . Otherwise, it means that is smaller than . Then, we again refine our search:
- (a)
- (b)
- Go back to Point 4.
5. Conclusions
6. Patents
Author Contributions
Funding
Institutional Review Board Statement
Informed Consent Statement
Data Availability Statement
Conflicts of Interest
Abbreviations
| CMOS | Complementary Metal-Oxide Semiconductor |
| DC | Direct Current |
| IC | Integrated Circuit |
| PVT | Process Voltage Temperature |
| HCI | Hot Carrier Injection |
| BTI | Bias Temperature Instability |
| TDDB | Time-Dependent Dielectric Breakdown |
| EM | Electro-Migration |
| PA | Power Amplifier |
| IR | Infra Red |
| RF | Radio Frequency |
| MOS | Metal-Oxide Semiconductor |
| CUT | Circuit Under Test |
| OTA | Operational Transconductance Amplifier |
| AC | Alternating Current |
References
- Onabajo, M. Analog Circuit Design for Process Variation-Resilient Systems-on-a-Chip, 1st ed.; Springer: New York, NY, USA, 2012; pp. 1–173. [Google Scholar]
- Maricau, E. Analog IC Reliability in Nanometer CMOS, 1st ed.; Analog Circuits and Signal Processing; Springer: New York, NY, USA, 2013. [Google Scholar]
- Hu, C.; Tam, S.C.; Hsu, F.C.; Ko, P.K.; Chan, T.Y.; Terrill, K. Hot-electron-induced MOSFET degradation—Model, monitor, and improvement. IEEE Trans. Electron Devices 1985, 32, 375–385. [Google Scholar] [CrossRef]
- Li, X.; Qin, J.; Bernstein, J.B. Compact Modeling of MOSFET Wearout Mechanisms for Circuit-Reliability Simulation. IEEE Trans. Device Mater. Reliab. 2008, 8, 98–121. [Google Scholar] [CrossRef]
- Amat, E.; Kauerauf, T.; Degraeve, R.; Rodriguez, R.; Nafria, M.; Aymerich, X.; Groeseneken, G. Competing Degradation Mechanisms in Short-Channel Transistors Under Channel Hot-Carrier Stress at Elevated Temperatures. IEEE Trans. Device Mater. Reliab. 2009, 9, 454–458. [Google Scholar] [CrossRef]
- Negre, L.; Roy, D.; Cacho, F.; Scheer, P.; Jan, S.; Boret, S.; Gloria, D.; Ghibaudo, G. Reliability Characterization and Modeling Solution to Predict Aging of 40-nm MOSFET DC and RF Performances Induced by RF Stresses. IEEE J. Solid-State Circuits 2012, 47, 1075–1083. [Google Scholar] [CrossRef]
- Boyer, A.; Dhia, S.B.; Li, B.; Berbel, N.; Fernandez-Garcia, R. Experimental Investigations into the Effects of Electrical Stress on Electromagnetic Emission from Integrated Circuits. IEEE Trans. Electromagn. Compat. 2014, 56, 44–50. [Google Scholar] [CrossRef]
- Aragones, X.; Barajas, E.; Crespo-Yepes, A.; Mateo, D.; Rodriguez, R.; Martin-Martinez, J.; Nafria, M. Aging in CMOS RF Linear Power Amplifiers: An Experimental Study. IEEE Trans. Microw. Theory Tech. 2021, 69, 1453–1463. [Google Scholar] [CrossRef]
- Presti, C.D.; Carrara, F.; Scuderi, A.; Lombardo, S.; Palmisano, G. Degradation Mechanisms in CMOS Power Amplifiers Subject to Radio-Frequency Stress and Comparison to the DC Case. In Proceedings of the 2007 45th Annual IEEE International Reliability Physics Symposium Proceedings, Phoenix, AZ, USA, 15–19 April 2007; pp. 86–92. [Google Scholar] [CrossRef]
- Yu, C.; Yuan, J.S. Electrical and Temperature Stress Effects on Class-AB Power Amplifier Performances. IEEE Trans. Electron Devices 2007, 54, 1346–1350. [Google Scholar] [CrossRef]
- Liu, C.H.; Wang, R.L.; Su, Y.K.; Tu, C.H.; Juang, Y.Z. DC and RF Degradation Induced by High RF Power Stresses in 0.18-μm nMOSFETs. IEEE Trans. Device Mater. Reliab. 2010, 10, 317–323. [Google Scholar] [CrossRef]
- Quemerais, T.; Moquillon, L.; Fournier, J.M.; Benech, P.; Huard, V. Design-in-Reliable Millimeter-Wave Power Amplifiers in a 65-nm CMOS Process. IEEE Trans. Microw. Theory Tech. 2012, 60, 1079–1085. [Google Scholar] [CrossRef]
- Ferreira, P.M.; Petit, H.; Naviner, J.F. A new synthesis methodology for reliable RF front-end Design. In Proceedings of the 2011 IEEE International Symposium of Circuits and Systems (ISCAS), Rio de Janeiro, Brazil, 15–19 May 2011; pp. 2926–2929. [Google Scholar] [CrossRef]
- Dierickx, B. Scaling below 90nm: Designing with unreliable components. In Proceedings of the IET and FSA International Semiconductor Forum, Paris, France, 14–15 May 2007. [Google Scholar]
- Gielen, G.G.E.; Maricau, E.; De Wit, P. Designing reliable analog circuits in an unreliable world. In Proceedings of the IEEE 2012 Custom Integrated Circuits Conference, San Jose, CA, USA, 9–12 September 2012; pp. 1–4. [Google Scholar] [CrossRef]
- Saneyoshi, E.; Nose, K.; Mizuno, M. A precise-tracking NBTI-degradation monitor independent of NBTI recovery effect. In Proceedings of the 2010 IEEE International Solid-State Circuits Conference—(ISSCC), San Francisco, CA, USA, 7–11 February 2010; pp. 192–193. [Google Scholar] [CrossRef]
- Keane, J.; Wang, X.; Persaud, D.; Kim, C.H. An All-In-One Silicon Odometer for Separately Monitoring HCI, BTI, and TDDB. IEEE J. Solid-State Circuits 2010, 45, 817–829. [Google Scholar] [CrossRef]
- Küflüoglu, H.; Chen, M.; Lu, S.; Rabindranath, A.; Kakoee, R.; Hu, S.H. Thermally-aware sensor allocation for real-time monitoring and mitigation of FEOL aging in System-on-Chip (SoC) applications. In Proceedings of the 2017 IEEE International Reliability Physics Symposium (IRPS), Monterey, CA, USA, 2–6 April 2017; pp. 4C-6.1–4C-6.5. [Google Scholar] [CrossRef]
- Liu, Y.; Yuan, J.S. CMOS RF Low-Noise Amplifier Design for Variability and Reliability. IEEE Trans. Device Mater. Reliab. 2011, 11, 450–457. [Google Scholar] [CrossRef]
- Liu, J.Y.C.; Tang, A.; Wang, N.Y.; Gu, Q.J.; Berenguer, R.; Hsieh, H.H.; Wu, P.Y.; Jou, C.; Chang, M.C.F. A V-band self-healing power amplifier with adaptive feedback bias control in 65 nm CMOS. In Proceedings of the 2011 IEEE Radio Frequency Integrated Circuits Symposium, Baltimore, MD, USA, 5–7 June 2011; pp. 1–4. [Google Scholar] [CrossRef]
- Serhan, A.; Lauga-Larroze, E.; Corrao, N.; Fournier, J.M. Fully-integrated bias control feed-back loop for efficiency enhancement of mmWave CMOS power amplifier. Analog. Integr. Circuits Signal Process. 2016, 89, 3–14. [Google Scholar] [CrossRef]
- Bowers, S.M.; Sengupta, K.; Dasgupta, K.; Parker, B.D.; Hajimiri, A. Integrated Self-Healing for mm-Wave Power Amplifiers. IEEE Trans. Microw. Theory Tech. 2013, 61, 1301–1315. [Google Scholar] [CrossRef]
- Perpiñà, X.; Reverter, F.; León, J.; Barajas, E.; Vellvehi, M.; Jordà, X.; Altet, J. Output Power and Gain Monitoring in RF CMOS Class A Power Amplifiers by Thermal Imaging. IEEE Trans. Instrum. Meas. 2019, 68, 2861–2870. [Google Scholar] [CrossRef]
- Altet, J.; Gomez, D.; Perpinyà, X.; Mateo, D.; González, J.L.; Vellvehi, M.; Jordà, X. Efficiency determination of RF linear power amplifiers by steady-state temperature monitoring using built-in sensors. Sens. Actuators A Phys. 2013, 192, 49–57. [Google Scholar] [CrossRef]
- Zheng, Z.; Sun, L.; Liu, J. A 60-GHz power amplifier design with on-chip tunable load-matching network and power detect in 90-nm CMOS. IEEJ Trans. Electr. Electron. Eng. 2017, 12, 140–146. [Google Scholar] [CrossRef]
- Altet, J.; Mateo, D.; Gómez, D.; Perpiñà, X.; Vellvehi, M.; Jordà, X. DC temperature measurements for power gain monitoring in RF power amplifiers. In Proceedings of the 2012 IEEE International Test Conference, Anaheim, CA, USA, 5–8 November 2012; pp. 1–8. [Google Scholar] [CrossRef]
- Gaggatur, J.S.; Raja, I.; Banerjee, G. On-Chip Non-intrusive Temperature Detection and Compensation of a Fully Integrated CMOS RF Power Amplifier. In Proceedings of the 2017 30th International Conference on VLSI Design and 2017 16th International Conference on Embedded Systems (VLSID), Hyderabad, India, 7–11 January 2017; pp. 21–26. [Google Scholar] [CrossRef]
- Barajas, E.; Aragones, X.; Mateo, D.; Altet, J. Differential Temperature Sensors: Review of Applications in the Test and Characterization of Circuits, Usage and Design Methodology. Sensors 2019, 19, 4815. [Google Scholar] [CrossRef] [PubMed]
- Aldrete-Vidrio, E.; Mateo, D.; Altet, J. Differential Temperature Sensors Fully Compatible with a 0.35-μm CMOS Process. IEEE Trans. Compon. Packag. Technol. 2007, 30, 618–626. [Google Scholar] [CrossRef]
- Mahato, S.; Gielen, G. Impact of transistor aging on RF low noise amplifier performance of 28nm technology: Reliability assessment. In Proceedings of the 2013 IEEE 20th International Conference on Electronics, Circuits, and Systems (ICECS), Abu Dhabi, United Arab Emirates, 8–11 December 2013; pp. 413–416. [Google Scholar] [CrossRef]
- Pazos, S.; Aguirre, F.; Palumbo, F.; Silveira, F. Reliability-Aware Design Space Exploration for Fully Integrated RF CMOS PA. IEEE Trans. Device Mater. Reliab. 2020, 20, 33–41. [Google Scholar] [CrossRef]
















Disclaimer/Publisher’s Note: The statements, opinions and data contained in all publications are solely those of the individual author(s) and contributor(s) and not of MDPI and/or the editor(s). MDPI and/or the editor(s) disclaim responsibility for any injury to people or property resulting from any ideas, methods, instructions or products referred to in the content. |
© 2023 by the authors. Licensee MDPI, Basel, Switzerland. This article is an open access article distributed under the terms and conditions of the Creative Commons Attribution (CC BY) license (https://creativecommons.org/licenses/by/4.0/).
Share and Cite
Altet, J.; Aragones, X.; Barajas, E.; Gisbert, X.; Martínez, S.; Mateo, D. Aging Compensation in a Class-A High-Frequency Amplifier with DC Temperature Measurements. Sensors 2023, 23, 7069. https://doi.org/10.3390/s23167069
Altet J, Aragones X, Barajas E, Gisbert X, Martínez S, Mateo D. Aging Compensation in a Class-A High-Frequency Amplifier with DC Temperature Measurements. Sensors. 2023; 23(16):7069. https://doi.org/10.3390/s23167069
Chicago/Turabian StyleAltet, Josep, Xavier Aragones, Enrique Barajas, Xavier Gisbert, Sergio Martínez, and Diego Mateo. 2023. "Aging Compensation in a Class-A High-Frequency Amplifier with DC Temperature Measurements" Sensors 23, no. 16: 7069. https://doi.org/10.3390/s23167069
APA StyleAltet, J., Aragones, X., Barajas, E., Gisbert, X., Martínez, S., & Mateo, D. (2023). Aging Compensation in a Class-A High-Frequency Amplifier with DC Temperature Measurements. Sensors, 23(16), 7069. https://doi.org/10.3390/s23167069

