Mutual Coupling Reduction of a Multiple-Input Multiple-Output Antenna Using an Absorber Wall and a Combline Filter for V2X Communication
Abstract
1. Introduction
2. Configuration
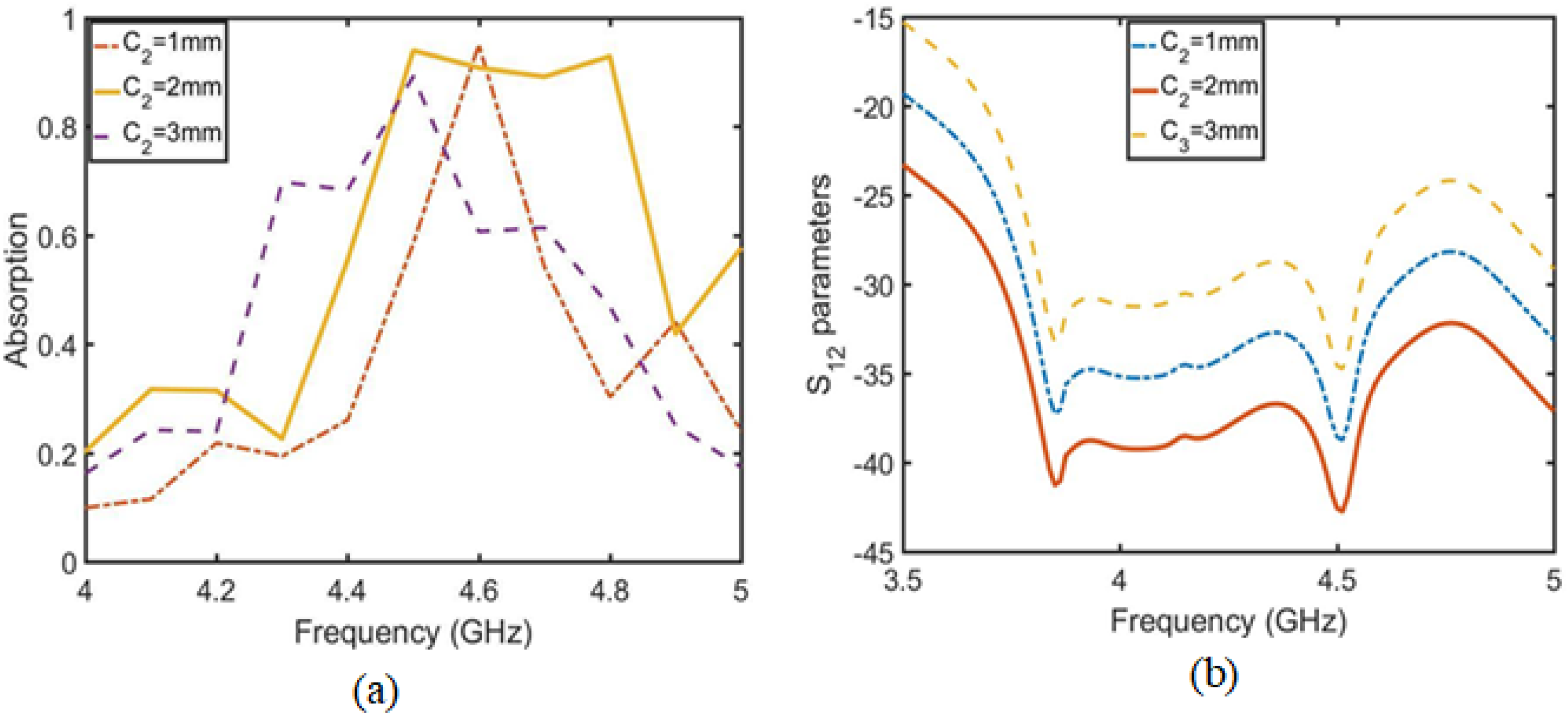
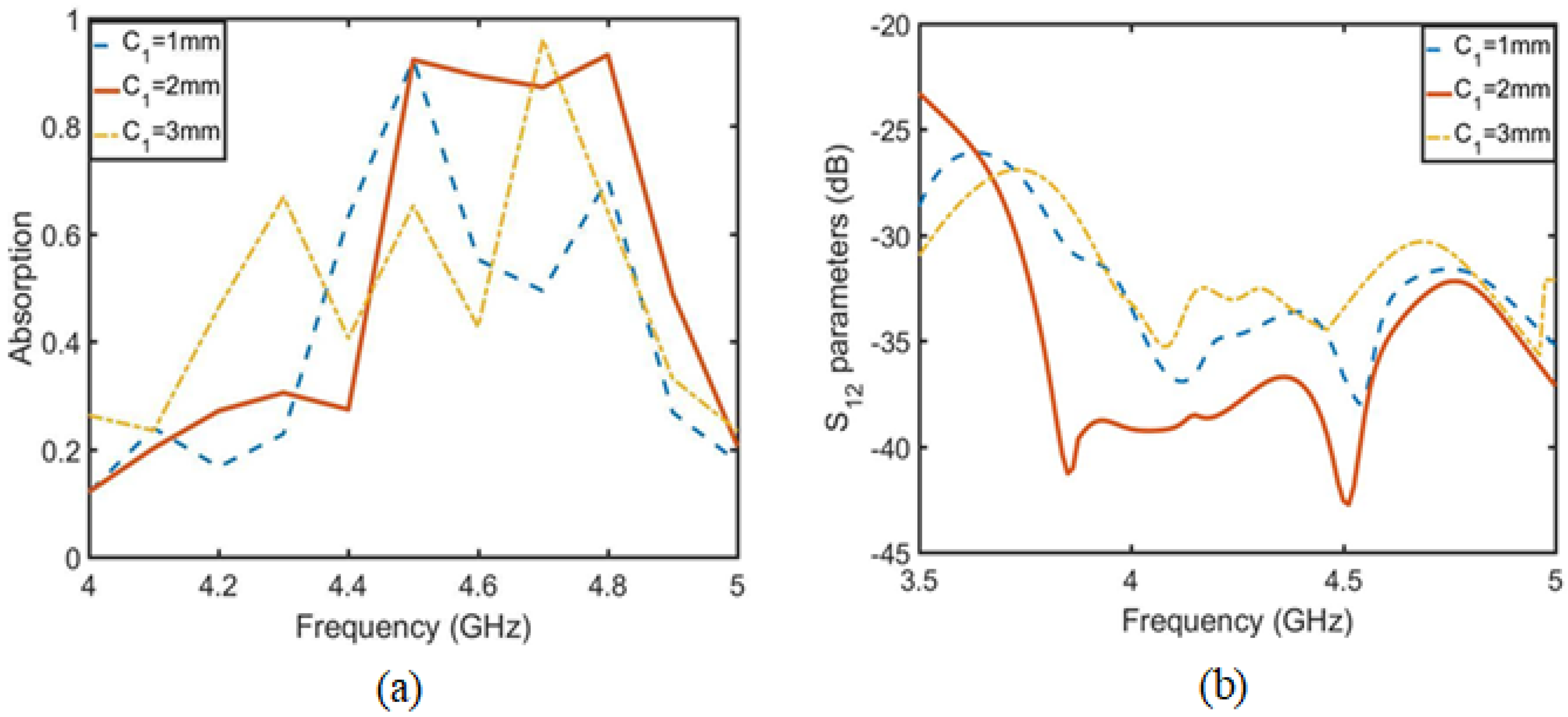
3. Ground Adopts a Combline Filter to Reduce Antenna Element Coupling
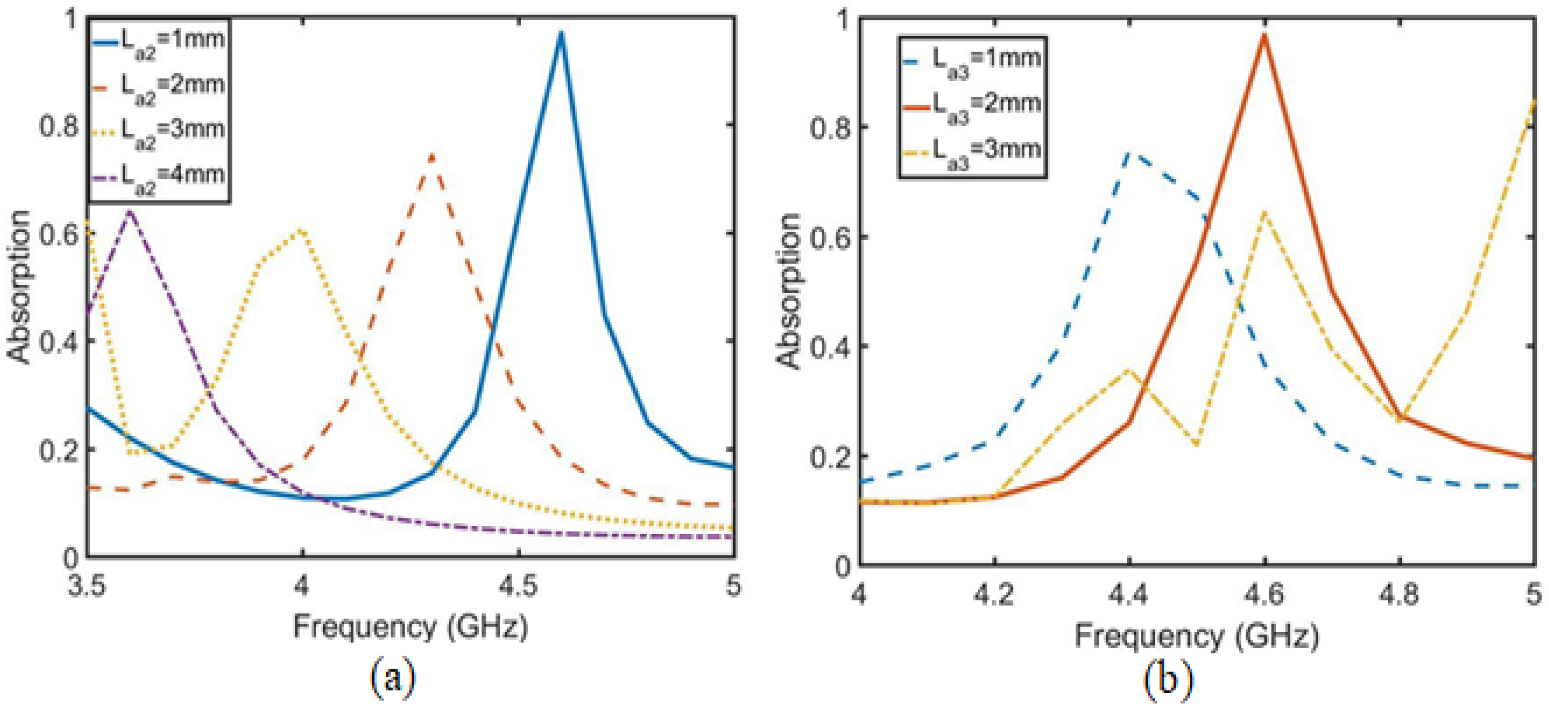
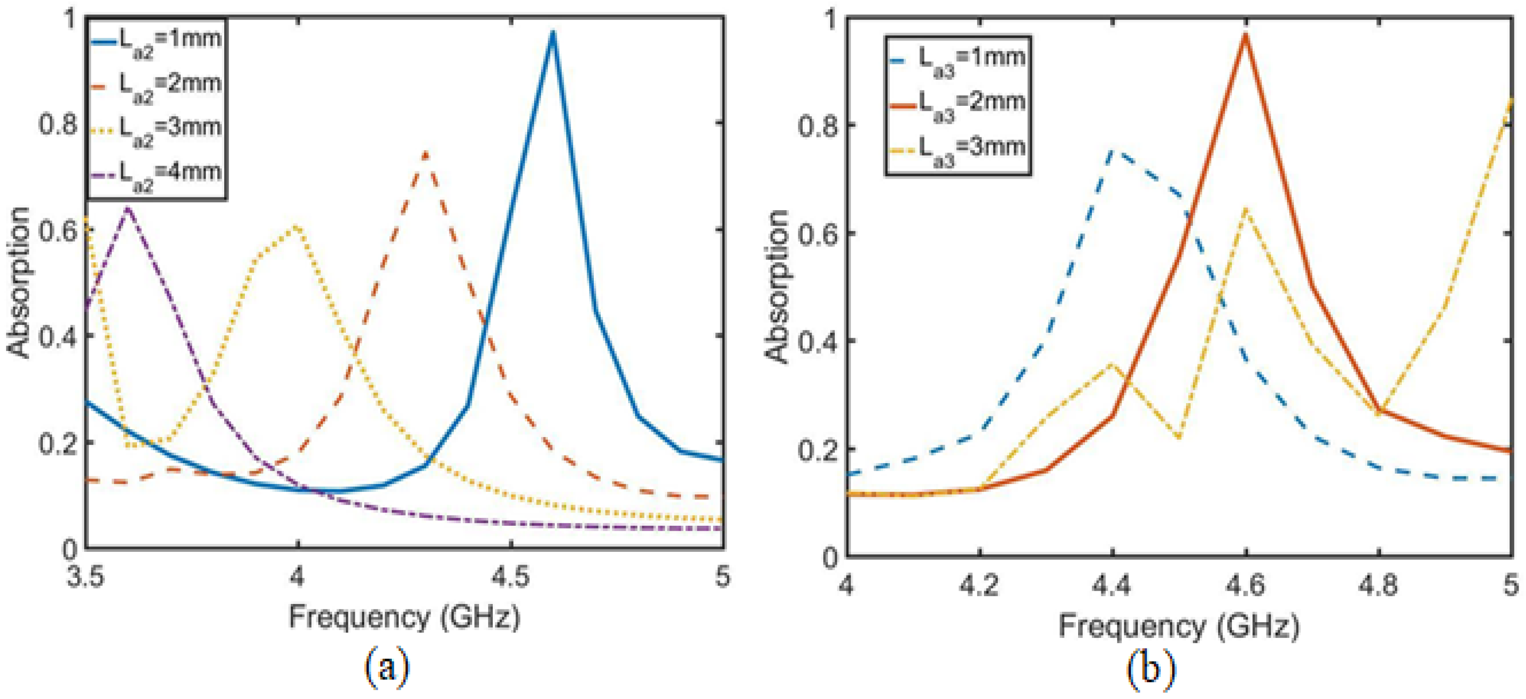
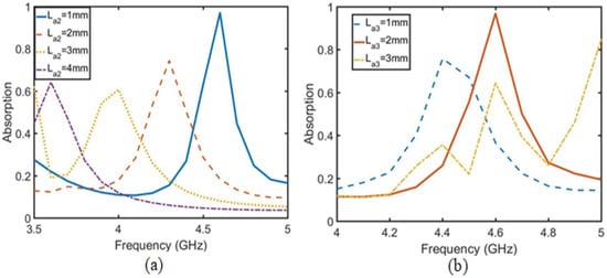
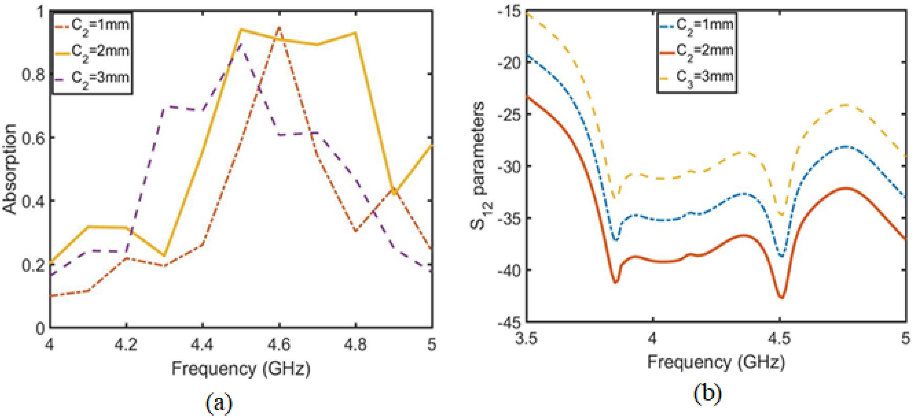
4. The Absorber Wall Is Used to Reduce the Radiation Coupling of Antenna Elements
5. Measured and Simulated Results
5.1. S-Parameter Analysis
5.2. Antenna Radiation Analysis
5.3. Diversity Performance Analysis
6. Conclusions
Author Contributions
Funding
Institutional Review Board Statement
Informed Consent Statement
Data Availability Statement
Conflicts of Interest
References
- Sanchana, S.; Manjari, A.P.; Jyothi, B.N. Application Development for Real-Time Location Tracking for Underwater Vehicles Using Low-Cost GPS with GSM. In Proceedings of the 2021 Sixth International Conference on Wireless Communications, Signal Processing and Networking (WiSPNET), Chennai, India, 25–27 March 2021; pp. 108–112. [Google Scholar]
- Zhang, Q.; Chen, X.; Zhang, S.; Jin, Z. Design and Implementation of Remote Upgrade System for Vehicle Terminal Based on GPRS. In Proceedings of the 2021 IEEE Asia-Pacific Conference on Image Processing, Electronics and Computers (IPEC), Dalian, China, 14–16 April 2021; pp. 636–640. [Google Scholar]
- Bilgic, M.M.; Yegin, K. Modified Annular Ring Antenna for GPS and SDARS Automotive Applications. IEEE Antennas Wirel. Propag. Lett. 2016, 15, 1442–1445. [Google Scholar] [CrossRef]
- Kammerer, J.; Lindenmeier, S. Invisible antenna combination embedded in the roof of a car with high efficiency for reception of SDARS - and GPS - signals. In Proceedings of the 2013 IEEE Antennas and Propagation Society International Symposium (APSURSI), Orlando, FL, USA, 7–13 July 2013; pp. 2075–2076. [Google Scholar]
- Wu, Q.; Nie, S.; Fan, P.; Liu, H.; Qiang, F.; Li, Z. A Swarming Approach to Optimize the One-hop Delay in Smart Driving Inter-platoon Communications. Sensors 2018, 18, 3307. [Google Scholar] [CrossRef] [PubMed]
- Wu, Q.; Zheng, J. Performance modeling and analysis of the ADHOC MAC protocol for VANETs. In Proceedings of the 2015 IEEE International Conference on Communications (ICC), London, UK, 8–12 June 2015; pp. 3646–3652. [Google Scholar]
- Wu, Q.; Zheng, J. Performance Modeling and Analysis of the ADHOC MAC Protocol for Vehicular Networks. Wirel. Netw. 2016, 22, 799–812. [Google Scholar] [CrossRef]
- Sehla, K.; Nguyen, T.M.T.; Pujolle, G.; Velloso, P.B. Resource Allocation Modes in C-V2X: From LTE-V2X to 5G-V2X. IEEE Internet Things J. 2022, 9, 8291–8314. [Google Scholar] [CrossRef]
- Maglogiannis, V.; Naudts, D.; Hadiwardoyo, S.; van den Akker, D.; Marquez-Barja, J.; Moerman, I. Experimental V2X Evaluation for C-V2X and ITS-G5 Technologies in a Real-Life Highway Environment. IEEE Trans. Netw. Serv. Manag. 2022, 19, 1521–1538. [Google Scholar] [CrossRef]
- Che, J.K.; Chen, C.C.; Locke, J.F. A Compact 4-Channel MIMO 5G Sub-6 GHz/LTE/WLAN/V2X Antenna Design for Modern Vehicles. IEEE Trans. Antennas Propag. 2021, 69, 7290–7297. [Google Scholar] [CrossRef]
- Liu, Q.; Zhu, L. A Low-Profile Dual-Band Filtering Hybrid Antenna with Broadside Radiation Based on Patch and SIW Resonators. IEEE Open J. Antennas Propag. 2021, 2, 1132–1142. [Google Scholar] [CrossRef]
- Ishfaq, M.K.; Babale, S.A.; Chattha, H.T.; Himdi, M.; Raza, A.; Younas, M.; Rahman, T.A.; Rahim, S.K.A.; Khawaja, B.A. Compact Wide-Angle Scanning Multibeam Antenna Array for V2X Communications. IEEE Antennas Wirel. Propag. Lett. 2021, 20, 2141–2145. [Google Scholar] [CrossRef]
- Zhou, Z.; Ge, Y.; Yuan, J.; Xu, Z.; Chen, Z.D. Wideband MIMO Antennas With Enhanced Isolation Using Coupled CPW Transmission Lines. IEEE Trans. Antennas Propag. 2023, 71, 1414–1423. [Google Scholar] [CrossRef]
- Sandi, E.; Diamah, A.; Permata Putri, R.A. Combination of EBG and DGS to Improve MIMO Antenna Isolation. In Proceedings of the 2022 IEEE International Conference on Aerospace Electronics and Remote Sensing Technology (ICARES), Yogyakarta, Indonesia, 24–25 November 2022; pp. 1–6. [Google Scholar]
- Sokunbi, O.; Attia, H.; Hamza, A.; Shamim, A.; Yu, Y.; Kishk, A.A. New Self-Isolated Wideband MIMO Antenna System for 5G mm-Wave Applications Using Slot Characteristics. IEEE Open J. Antennas Propag. 2023, 4, 156–158. [Google Scholar] [CrossRef]
- Ismail, M.F.; Rahim, M.K.A.; Samsuri, N.A.; Murad, N.A.; Pramudita, A.A. High Isolation MIMO Antenna using Electromagnetic Band Gap—EBG Structure. In Proceedings of the 2021 International Symposium on Antennas and Propagation (ISAP), Taipei, Taiwan, 19–22 October 2021; pp. 1–2. [Google Scholar]
- Feng, B.; Chung, K.L.; Lai, J.; Zeng, Q. A Conformal Magneto-Electric Dipole Antenna With Wide H-Plane and Band-Notch Radiation Characteristics for Sub-6-GHz 5G Base-Station. IEEE Access 2021, 7, 17469–17479. [Google Scholar] [CrossRef]
- Lau, C.Y.; Cheng, K.K.M. Pattern-Reconfigurable 2-element MIMO Antenna Design by using Novel Switchable Decoupling and Matching Network. In Proceedings of the 2021 IEEE Asia-Pacific Microwave Conference (APMC), Brisbane, Australia, 28 November–1 December 2021; pp. 247–249. [Google Scholar]
- Zhou, W.; Li, Y. A Taichi-Bagua-like Metamaterial Covering High Isolation MIMO for 5G Application. In Proceedings of the 2021 IEEE 4th International Conference on Electronic Information and Communication Technology (ICEICT), Xi’an, China, 18–20 August 2021; pp. 948–949. [Google Scholar]
- Supreeyatitikul, N.; Phungasem, A.; Aeimopas, P. Design of Wideband Sub-6 GHz 5G MIMO Antenna with Isolation Enhancement Using an MTM-Inspired Resonators. In Proceedings of the 2021 Joint International Conference on Digital Arts, Media and Technology with ECTI Northern Section Conference on Electrical, Electronics, Computer and Telecommunication Engineering, Cha-am, Thailand, 3–6 March 2021; pp. 206–209. [Google Scholar]
- Sharma, M.K.; Tripathi, K.; Sharma, A.; Jha, M. Orthogonal Elements CSRR-based UWB-MIMO Antenna with Improved Isolation and Multiple Band Rejection Function. In Proceedings of the 2021 7th International Conference on Advanced Computing and Communication Systems (ICACCS), Coimbatore, India, 19–20 March 2021; pp. 84–89. [Google Scholar]
- Garg, P.; Jain, P. Isolation Improvement of MIMO Antenna Using a Novel Flower Shaped Metamaterial Absorber at 5.5 GHz WiMAX Band. IEEE Trans. Circuits Syst. II Express Briefs 2020, 67, 675–679. [Google Scholar] [CrossRef]
- Kaur, M.; Singh, H.S. Isolation Improvement of the MIMO PIFA using Metamaterial Absorber Array. In Proceedings of the 2020 International Symposium on Antennas & Propagation (APSYM), Cochin, India, 14–16 December 2020; pp. 29–31. [Google Scholar]
- Deng, S.; Zhang, X.; Chen, C.; Ding, J.; Zhang, H.; Chen, W. Mutual Coupling Reduction of Dual-band MIMO Antenna Array Using Near-Perfect Metamaterial Absorber Wall. In Proceedings of the 2022 IEEE International Symposium on Antennas and Propagation and USNC-URSI Radio Science Meeting (AP-S/URSI), Denver, CO, USA, 10–15 July 2022; pp. 1782–1783. [Google Scholar]
- Hoang, D.H.T.; Nguyen, V.X.T.; Do, T.T.; Nguyen, D.N.; Vu, T.A.; Tran, Q.N. Mutual Coupling Reduction of Mimo Antenna Using Metamaterial Absorber for 5G Base Stations. In Proceedings of the 2022 Asia-Pacific Microwave Conference (APMC), Yokohama, Japan, 29 November–2 December 2022; pp. 767–769. [Google Scholar]
- Kim, Y.-B.; Kim, J.-W.; Lee, H.L. Low Profile Multi-Slot Loaded Antenna With Enhanced Gain-to-Volume Ratio and Efficiency. IEEE Access 2020, 8, 225407–225415. [Google Scholar] [CrossRef]
- Zhang, N.; Li, N.; Yang, R.-Q. Design and implementation of comb line filter based on strip line. Magn. Mater. Devices 2021, 1, 38–41. [Google Scholar]
- Wu, C.-H.; Lin, Y.-S.; Wang, C.-H.; Chen, C.H. Novel microstrip coupled-line bandpass filters with shortened coupled sections for stopband extension. IEEE Trans. Microw. Theory Tech. 2006, 54, 540–546. [Google Scholar]
- Zhang, K.; Jiang, Z.H.; Zhou, W.L.; Peng, P.; Hong, W. A Compact, Band-Notched Ultra-Wideband Fully-Recessed Antenna with Pattern Diversity for V2X Communications. IEEE Open J. Antennas Propag. 2022, 3, 1302–1312. [Google Scholar] [CrossRef]




















| Parameter | Value (mm) | Parameter | Value (mm) |
|---|---|---|---|
| S | 4 | W | 2 |
| S | 0.24 | W | 1 |
| S | 0.5 | W | 0.75 |
| S | 0.5 | W | 3.6 |
| Parameter | Value (mm) | Parameter | Value (mm) |
|---|---|---|---|
| L | 13 | L | 2 |
| L | 11 | L | 1 |
| L | 9 | L | 2 |
| L | 7 | C | 2 |
| W | 20 | C | 2 |
| Reference | × × h (mm2) | Operating Frequency (GHz) | Maximum Bandwidth (%) | Peak Gain (dBi) | Average Efficiency (%) | Isolation (dB) | ECC | Number of Decoupling Methods |
|---|---|---|---|---|---|---|---|---|
| [16] | 0.32 × 0.32 × 0.1 | 2.2–2.5 | 2.3 | 3.71 | 70 | >−30 | <0.05 | 1 |
| [17] | 1.2 × 1.2 × 0.15 | 2.4, 3.4 | 54 | 6.5 | 70 | >−25 | <0.07 | 1 |
| [18] | 0.5 × 0.5 × 1 | 1.8–2.2 | 10 | 3.8 | 77 | >−20 | <0.1 | 1 |
| [19] | 1.5 × 1.5 × 0.2 | 4.7–5.2 | 10 | 4 | 75 | >−30 | <0.025 | 1 |
| [20] | 2.0 × 2.0 × 0.5 | 3.6–5.2 | 20 | 4 | 70 | >−25 | <0.02 | 1 |
| [21] | 2.1 × 2.4 × 0.7 | 3.8, 5.2 | 10 | 4.5 | 70 | >−20 | <0.02 | 1 |
| [22] | 2.4 × 2.4 × 0.5 | 5.2–5.8 | 12 | 7 | 80 | >−25 | <0.04 | 2 |
| [23] | 0.5 × 0.5 × 0.2 | 5.5–5.8 | 6 | 3.8 | 72 | >−25 | <0.03 | 1 |
| [24] | 2.4 × 2.0 × 0.8 | 3.5, 5.2 | 6 | 5.2 | 68 | >−35 | <0.05 | 2 |
| [25] | 0.5 × 0.5 × 1.2 | 2.2–2.8 | 15 | 6 | 78 | >−25 | <0.05 | 1 |
| This work | 1.1 × 1.2 × 0.3 | 3.8–4.8 | 25 | 7.8 | 78 | >−37 | <0.005 | 2 |
Disclaimer/Publisher’s Note: The statements, opinions and data contained in all publications are solely those of the individual author(s) and contributor(s) and not of MDPI and/or the editor(s). MDPI and/or the editor(s) disclaim responsibility for any injury to people or property resulting from any ideas, methods, instructions or products referred to in the content. |
© 2023 by the authors. Licensee MDPI, Basel, Switzerland. This article is an open access article distributed under the terms and conditions of the Creative Commons Attribution (CC BY) license (https://creativecommons.org/licenses/by/4.0/).
Share and Cite
Fu, Y.; Shen, T.; Dou, J. Mutual Coupling Reduction of a Multiple-Input Multiple-Output Antenna Using an Absorber Wall and a Combline Filter for V2X Communication. Sensors 2023, 23, 6355. https://doi.org/10.3390/s23146355
Fu Y, Shen T, Dou J. Mutual Coupling Reduction of a Multiple-Input Multiple-Output Antenna Using an Absorber Wall and a Combline Filter for V2X Communication. Sensors. 2023; 23(14):6355. https://doi.org/10.3390/s23146355
Chicago/Turabian StyleFu, Yuanxu, Tao Shen, and Jiangling Dou. 2023. "Mutual Coupling Reduction of a Multiple-Input Multiple-Output Antenna Using an Absorber Wall and a Combline Filter for V2X Communication" Sensors 23, no. 14: 6355. https://doi.org/10.3390/s23146355
APA StyleFu, Y., Shen, T., & Dou, J. (2023). Mutual Coupling Reduction of a Multiple-Input Multiple-Output Antenna Using an Absorber Wall and a Combline Filter for V2X Communication. Sensors, 23(14), 6355. https://doi.org/10.3390/s23146355

