Semiconductor Optical Amplifier (SOA)-Driven Reservoir Computing for Dense Wavelength-Division Multiplexing (DWDM) Signal Compensation
Abstract
1. Introduction
2. SOA-Based RC Scheme
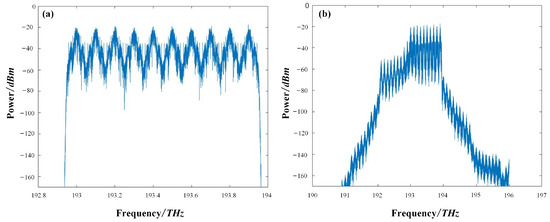
3. Nonlinear DWDM Channel for NRZ and QPSK
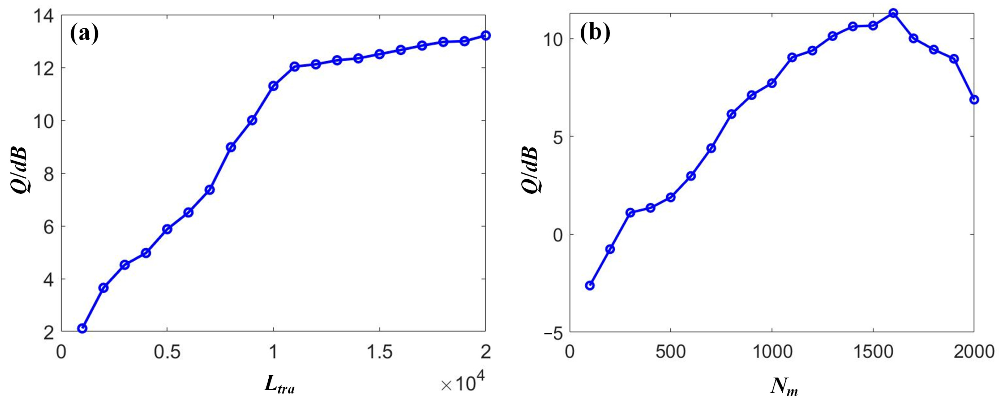
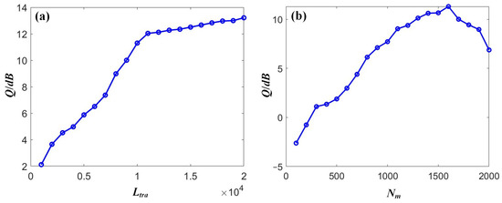
4. Compensation Results
4.1. OOK Compensation
4.2. DQPSK Compensation
5. Discussion
6. Conclusions
Author Contributions
Funding
Institutional Review Board Statement
Informed Consent Statement
Data Availability Statement
Acknowledgments
Conflicts of Interest
References
- Shevchenko, N.A.; Nallaperuma, S.; Savory, S.J. Maximizing the information throughput of ultra-wideband fiber-optic communication systems. Opt. Express 2022, 30, 19320–19331. [Google Scholar] [CrossRef]
- Mirza, J.; Imtiaz, W.A.; Aljohani, A.J.; Atieh, A.; Ghafoor, S. Design and analysis of a 32 × 5 Gbps passive optical network employing FSO based protection at the distribution level. Alex. Eng. J. 2020, 59, 4621–4631. [Google Scholar] [CrossRef]
- Hoshida, T.; Oda, S.; Tanaka, T.; Tanimura, T.; Oshima, C.; Li, L.; Tao, Z.; Rasmussen, J.C. BP-4-3 100Gbps Coherent Optical Transmission Technology. In Proceedings of the Society Conference of IEICE 2010, Wuhan, China, 25–27 June 2010; pp. SS-42–SS-43. [Google Scholar]
- Faruk, S.; Savory, S.J. Digital Signal Processing for Coherent Transceivers Employing Multilevel Formats. J. Light. Technol. 2017, 35, 1125–1141. [Google Scholar] [CrossRef]
- Xu, T. Digital Signal Processing for Optical Communications and Networks. In Optical Fiber and Wireless Communications; Roka, R., Ed.; InTech: Rijeka, Croatia, 2017; Chapter 15; ISBN 978-953-51-3276-9. [Google Scholar]
- Zhou, J.; Zhang, J.; Zhao, X.; Jin, T.; Hu, S.; Lin, H.; Zhenming, Y.; Zhang, Q.; Xu, B.; Qiu, K. Advanced Nonlinearity Equalizer with TC-NL-MLSE for Beyond 200-Gb/s PAM-8 Transmission in IM/DD System. Opt. Express 2022, 30, 37416. [Google Scholar] [CrossRef] [PubMed]
- Dong-Nhat, N.; Elsherif, M.A.; Le Minh, H.; Malekmohammadi, A. NRZ versus RZ over Absolute Added Correlative coding in optical metro-access networks. Opt. Commun. 2017, 387, 30–36. [Google Scholar] [CrossRef]
- Shin, B.; Jeong, J.; Yoon, W.-S.; Lee, J. 1550 nm VCSEL-based 10 Gb/s optical NRZ signal transmission over 20 km SMF using RSOA gain saturation. Opt. Fiber Technol. 2017, 36, 222–226. [Google Scholar] [CrossRef]
- Zhang, J.; Jiang, W.; Zhou, J.; Zhao, X.; Huang, X.; Yu, Z.; Yi, X.; Qiu, K. An iterative BP-CNN decoder for optical fiber communication systems. Opt. Lett. 2023, 48, 2289–2292. [Google Scholar] [CrossRef]
- Ron, D.A.; Freire, P.J.; Prilepsky, J.E.; Kamalian-Kopae, M.; Napoli, A.; Turitsyn, S.K. Experimental implementation of a neural network optical channel equalizer in restricted hardware using pruning and quantization. Sci. Rep. 2022, 12, 8713. [Google Scholar] [CrossRef] [PubMed]
- Lun, H.; Liu, X.; Cai, M.; Zhang, Y.; Gao, R.; Hu, W.; Yi, L.; Zhuge, Q. Machine-learning-based telemetry for monitoring long-haul optical transmission impairments: Methodologies and challenges. J. Opt. Commun. Netw. 2021, 13, E94–E108. [Google Scholar] [CrossRef]
- Zhang, X.; Fu, Y.; Kong, D.; Li, L.; Jia, S.; Wei, J.; Chen, C.; Zhang, C.; Qiu, K.; Hu, H. 224-Gbps single-photodiode PAM-4 transmission with extended transmitter bandwidth based on optical time-and-polarization interleaving. Opt. Express 2020, 28, 21155–21164. [Google Scholar] [CrossRef] [PubMed]
- Iqbal, S.; Raza, A.; Butt, M.F.U.; Mirza, J.; Iqbal, M.; Ghafoor, S.; El-Hajjar, M. Millimeter-wave enabled PAM-4 data transmission over hybrid FSO-MMPOF link for access networks. Opt. Rev. 2021, 28, 278–288. [Google Scholar] [CrossRef]
- Vandoorne, K.; Dierckx, W.; Schrauwen, B.; Verstraeten, D.; Baets, R.; Bienstman, P.; Van Campenhout, J. Toward optical signal processing using Photonic Reservoir Computing. Opt. Express 2008, 16, 11182–11192. [Google Scholar] [CrossRef] [PubMed]
- Appeltant, L.; Soriano, M.; Van der Sande, G.; Danckaert, J.; Massar, S.; Dambre, J.; Schrauwen, B.; Mirasso, C.; Fischer, I. Information processing using a single dynamical node as complex system. Nat. Commun. 2011, 2, 468. [Google Scholar] [CrossRef] [PubMed]
- Paquot, Y.; Duport, F.; Smerieri, A.; Dambre, J.; Schrauwen, B.; Haelterman, M.; Massar, S. Optoelectronic Reservoir Computing. Sci. Rep. 2012, 2, 287. [Google Scholar] [CrossRef]
- Duport, F.; Schneider, B.; Smerieri, A.; Haelterman, M.; Massar, S. All-optical reservoir computing. Opt. Express 2012, 20, 22783–22795. [Google Scholar] [CrossRef]
- Hicke, K.; Escalona-Morán, M.A.; Brunner, D.; Soriano, M.C.; Fischer, I.; Mirasso, C.R. Information Processing Using Transient Dynamics of Semiconductor Lasers Subject to Delayed Feedback. IEEE J. Sel. Top. Quantum Electron. 2013, 19, 1501610. [Google Scholar] [CrossRef]
- Larger, L.; Soriano, M.C.; Brunner, D.; Appeltant, L.; Gutiérrez, J.M.; Pesquera, L.; Mirasso, C.; Fischer, I. Photonic information processing beyond Turing: An optoelectronic implementation of reservoir computing. Opt. Express 2012, 20, 3241–3249. [Google Scholar] [CrossRef] [PubMed]
- Wang, S.; Fang, N.; Wang, L. Signal recovery based on optoelectronic reservoir computing for high speed optical fiber communication system. Opt. Commun. 2021, 495, 127082. [Google Scholar] [CrossRef]
- Allgower, E.L.; Georg, K. Piecewise linear methods for nonlinear equations and optimization. J. Comput. Appl. Math. 2000, 124, 245–261. [Google Scholar] [CrossRef]
- Wang, J.; Olesen, H.; Stubkjaer, K. Recombination, gain and bandwidth characteristics of 1.3-µm semiconductor laser amplifiers. J. Light. Technol. 1987, 5, 184–189. [Google Scholar] [CrossRef]
- Shi, Z.; Han, M. Ridge Regression Learning in ESN for Chaotic Time Series Prediction. Control. Decis. 2007, 22, 258–261. [Google Scholar] [CrossRef]
- Vanholsbeeck, F.; Coen, S.; Emplit, P.; Haelterman, M.; Sylvestre, T. Coupled-mode analysis of stimulated Raman scattering and four-wave mixing in wavelength-division multiplexed systems. Opt. Commun. 2005, 250, 191–201. [Google Scholar] [CrossRef]
- Yang, Y.; Wen, F.; Yang, F.; Wu, B.; Qiu, K. C+L-Band Dispersion Compensation through Optical Reservoir Scheme. In Proceedings of the 2022 IEEE Photonics Society Summer Topicals Meeting Series (SUM), Cabo San Lucas, Mexico, 11–13 July 2022; IEEE: Piscataway Township, NJ, USA; pp. 1–2. [Google Scholar]
- Sorokina, M.; Sergeyev, S.; Turitsyn, S. Fiber echo state network analogue for high-bandwidth dual-quadrature signal processing. Opt. Express 2019, 27, 2387–2395. [Google Scholar] [CrossRef] [PubMed]
- Yang, Y.; Wen, F.; Zhao, T.; Yang, F.; Wu, B.; Qiu, K. Mode-Coupling Crosstalk Compensation through Nonlinear-Optical Loop Mirror (NOLM)-Based Reservoir Computing. In Proceedings of the Photonics in Switching and Computing 2021, Online, 27–29 September 2021; Optica Publishing Group: Washington, DC, USA, 2021; p. Tu5C.6. [Google Scholar] [CrossRef]
- Yang, Y.; Wen, F.; Zhao, T.; Yang, F.; Wu, B.; Qiu, K. Optical Reservoir-Based Noise Compensation in a Space Division Multiplexing Transmission System. In Proceedings of the Asia Communications and Photonics Conference 2021, Shanghai, China, 24–27 October 2021; Optica Publishing Group: Shanghai, China, 2021; p. T4A.258. [Google Scholar]
- Yang, Y.; Wen, F.; Yang, F.; Qiu, K. Optical Dispersion Compensation through a Nonlinear-optical Loop Mirror (NOLM)-based Optical Reservoir. In Proceedings of the 2022 Photonics & Electromagnetics Research Symposium (PIERS), Hangzhou, China, 25 April 2022; IEEE: Piscataway Township, NJ, USA; pp. 557–562. [Google Scholar] [CrossRef]














| Simulation Parameters | Parameter Value |
|---|---|
| Modulation format | NRZ |
| Number of channels | 20 |
| Data rate per channel | 10 Gb/s |
| Transmission distance | 800 km |
| Length of SOA’s active region | 5.0 × 10−4 m |
| Width of SOA’s active region | 3.0 × 10−6 m |
| Height of SOA’s active region | 8.0 × 10−8 m |
| Bias current for SOA | 0.2 A |
| Simulation Parameters | Parameter Value |
|---|---|
| Modulation format | DQPSK |
| Number of channels | 10 |
| Data rate per channel | 80 Gb/s |
| Transmission distance | 800 km |
Disclaimer/Publisher’s Note: The statements, opinions and data contained in all publications are solely those of the individual author(s) and contributor(s) and not of MDPI and/or the editor(s). MDPI and/or the editor(s) disclaim responsibility for any injury to people or property resulting from any ideas, methods, instructions or products referred to in the content. |
© 2023 by the authors. Licensee MDPI, Basel, Switzerland. This article is an open access article distributed under the terms and conditions of the Creative Commons Attribution (CC BY) license (https://creativecommons.org/licenses/by/4.0/).
Share and Cite
Yang, Y.; Luo, H.; Zhang, R.; Yang, F.; Wu, B.; Qiu, K.; Wen, F. Semiconductor Optical Amplifier (SOA)-Driven Reservoir Computing for Dense Wavelength-Division Multiplexing (DWDM) Signal Compensation. Sensors 2023, 23, 5697. https://doi.org/10.3390/s23125697
Yang Y, Luo H, Zhang R, Yang F, Wu B, Qiu K, Wen F. Semiconductor Optical Amplifier (SOA)-Driven Reservoir Computing for Dense Wavelength-Division Multiplexing (DWDM) Signal Compensation. Sensors. 2023; 23(12):5697. https://doi.org/10.3390/s23125697
Chicago/Turabian StyleYang, Yinke, Huiwen Luo, Rui Zhang, Feng Yang, Baojian Wu, Kun Qiu, and Feng Wen. 2023. "Semiconductor Optical Amplifier (SOA)-Driven Reservoir Computing for Dense Wavelength-Division Multiplexing (DWDM) Signal Compensation" Sensors 23, no. 12: 5697. https://doi.org/10.3390/s23125697
APA StyleYang, Y., Luo, H., Zhang, R., Yang, F., Wu, B., Qiu, K., & Wen, F. (2023). Semiconductor Optical Amplifier (SOA)-Driven Reservoir Computing for Dense Wavelength-Division Multiplexing (DWDM) Signal Compensation. Sensors, 23(12), 5697. https://doi.org/10.3390/s23125697
