Sign in to use this feature.

Years

Between: -

Subjects

remove_circle_outline
remove_circle_outline
remove_circle_outline
remove_circle_outline
remove_circle_outline
remove_circle_outline
remove_circle_outline
remove_circle_outline
remove_circle_outline

Journals

remove_circle_outline
remove_circle_outline
remove_circle_outline
remove_circle_outline
remove_circle_outline
remove_circle_outline
remove_circle_outline
remove_circle_outline
remove_circle_outline
remove_circle_outline
remove_circle_outline

Article Types

Countries / Regions

remove_circle_outline
remove_circle_outline
remove_circle_outline
remove_circle_outline
remove_circle_outline

Search Results (1,582)

Search Parameters:
Keywords = optical signal processing

Order results
Result details
Results per page
Select all
Export citation of selected articles as:
31 pages, 42010 KB  
Article
SMS Fiber-Optic Sensing System for Real-Time Train Detection and Railway Monitoring
by Waleska Feitoza de Oliveira, Luana Samara Paulino Maia, João Isaac Silva Miranda, Alan Robson da Silva, Aedo Braga Silveira, Dayse Gonçalves Correia Bandeira, Antonio Sergio Bezerra Sombra and Glendo de Freitas Guimarães
Photonics 2026, 13(3), 308; https://doi.org/10.3390/photonics13030308 - 23 Mar 2026
Abstract
Railway traffic monitoring requires robust detection technologies capable of operating reliably under real-world vibration and environmental conditions. In this work, we present the design and validation of an optical vibration sensor based on a Single-mode–Multimode–Single-mode (SMS) fiber structure for Light Rail Vehicle (LRV) [...] Read more.
Railway traffic monitoring requires robust detection technologies capable of operating reliably under real-world vibration and environmental conditions. In this work, we present the design and validation of an optical vibration sensor based on a Single-mode–Multimode–Single-mode (SMS) fiber structure for Light Rail Vehicle (LRV) detection. The sensing mechanism relies on multimodal interference in the multimode fiber (MMF), where rail-induced vibrations modify the guided mode distribution and, consequently, the transmitted optical intensity. The optical signal is converted to voltage and processed through an embedded acquisition system. Additionally, we conducted tests with freight trains and maintenance trains in order to evaluate the applicability of the sensor in other types of trains besides the LRV. We conducted laboratory experiments to assess mechanical stability, sensibility, and packaging strategies, followed by supervised field tests on an operational LRV line. The recorded time-domain signal exhibited clear modulation during train passage, and first-derivative and sliding-window variance analyses were applied to reliably identify vibration events, even in the presence of slow baseline drift. In addition, frequency-domain analysis was performed by applying the Fast Fourier Transform (FFT) to the measured signal, enabling the identification of characteristic low-frequency spectral components induced by train passage. A quantitative sensitivity assessment was further carried out by correlating the integrated spectral energy (0–12 Hz) with vehicle weight, yielding a linear response with a sensitivity of 0.0017 a.u./t and coefficient of determination R2=0.933. The proposed solution demonstrated stable operation using commercially available low-cost components, confirming the feasibility of SMS-based optical sensing for railway monitoring. These results indicate strong potential for future deployment in traffic safety systems and distributed sensing networks. Full article
(This article belongs to the Special Issue Advances in Optical Fiber Sensing Technology: 2nd Edition)
Show Figures

Figure 1

21 pages, 1787 KB  
Review
Integrating Multifunctional Hydrogen-Bonded Organic Frameworks into Intelligent Packaging: Mechanisms, Design and Challenges
by Yabo Fu, Yubing Zhang, Congyao Wang, Jingmei Guan, Jiazi Shi, Hui Liu and Bo Lu
Materials 2026, 19(6), 1254; https://doi.org/10.3390/ma19061254 - 22 Mar 2026
Abstract
The transition from passive containment to active, responsive management is defining the next generation of intelligent packaging. This evolution creates a critical demand for materials that can be precisely engineered to monitor, regulate, and protect. Hydrogen-bonded organic frameworks (HOFs) have emerged as a [...] Read more.
The transition from passive containment to active, responsive management is defining the next generation of intelligent packaging. This evolution creates a critical demand for materials that can be precisely engineered to monitor, regulate, and protect. Hydrogen-bonded organic frameworks (HOFs) have emerged as a uniquely versatile platform in this regard, owing to their synthetically tunable porosity, inherent biocompatibility, and exceptional solution processability derived from reversible supramolecular assembly. This review moves beyond cataloging applications to dissect the fundamental mechanisms by which HOFs enable smart packaging functions, including the following: (i) selective gas capture and atmosphere tailoring via molecular recognition within designed pores; (ii) high-sensitivity optical and electrochemical sensing for real-time quality and safety signaling; and (iii) stimuli-responsive release of active agents (e.g., antimicrobials). We further explore the frontier of integrating HOFs as functional fillers or coatings within polymeric matrices, a key step toward practical devices. Despite challenges such as structural stability and maintaining permanent porosity due to relatively weak hydrogen bonds, this work aims to provide a design blueprint for advancing HOFs from laboratory curiosities to core components of sustainable, multifunctional packaging systems. Full article
(This article belongs to the Section Green Materials)
Show Figures

Figure 1

25 pages, 649 KB  
Article
A Multimodal Biomedical Sensing Approach for Muscle Activation Onset Detection
by Qiang Chen, Haofei Li, Zhe Xiang, Moxian Lin, Yinfei Yi, Haoran Tang and Yan Zhan
Sensors 2026, 26(6), 1907; https://doi.org/10.3390/s26061907 - 18 Mar 2026
Viewed by 50
Abstract
Muscle onset detection is a fundamental problem in electromyography signal analysis, human–machine interaction, and rehabilitation assessment. In medical and biomedical applications, slow muscle activation onset processes are widely encountered in scenarios such as rehabilitation training, postural regulation, and fine motor control. Such processes [...] Read more.
Muscle onset detection is a fundamental problem in electromyography signal analysis, human–machine interaction, and rehabilitation assessment. In medical and biomedical applications, slow muscle activation onset processes are widely encountered in scenarios such as rehabilitation training, postural regulation, and fine motor control. Such processes are typically characterized by slowly varying amplitudes, long temporal durations, and high susceptibility to noise interference, which poses significant challenges for accurate identification of onset timing. To address these issues, a lightweight temporal attention method for slow muscle activation onset detection is proposed and systematically validated under multimodal experimental settings. The proposed method takes surface electromyography signals as the primary input, while synchronously acquired optical motion image data are incorporated into the experimental design and result analysis, thereby aligning with the common joint use of optical imaging and physiological signals in medical and biomedical research. From a methodological perspective, the proposed framework is composed of lightweight temporal feature encoding, a slow activation-aware temporal attention mechanism, and noise suppression with stable decision strategies. Under the constraint of low computational complexity, the ability to model progressive activation signals is effectively enhanced. Experiments are conducted on a dataset containing multiple types of slow activation movements, and model performance is evaluated using five-fold cross-validation. The results demonstrate that under regular signal-to-noise ratio conditions, the proposed method significantly outperforms traditional threshold-based approaches, classical machine learning models, and several deep learning baselines in terms of onset detection accuracy, recall, and precision. Specifically, onset detection accuracy reaches approximately 92%, recall is around 90%, and precision is approximately 93%. Meanwhile, the average onset detection error and detection delay are reduced to about 41ms and 28ms, respectively, with the false positive rate controlled at approximately 2.2%. Stable performance is further maintained under different noise levels and cross-subject settings, indicating strong robustness and generalization capability. Full article
(This article belongs to the Special Issue Application of Optical Imaging in Medical and Biomedical Research)
Show Figures

Figure 1

27 pages, 4763 KB  
Article
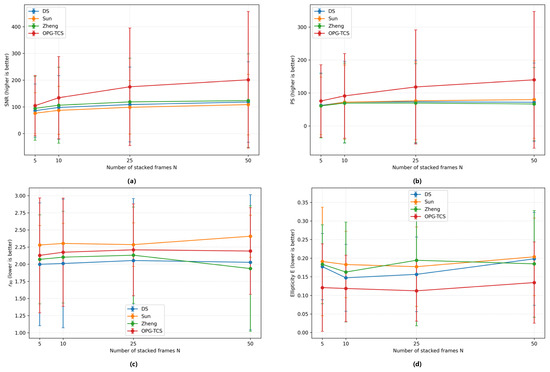
Orbit-Prior-Guided Target-Centered Stacking for Space Surveillance and Tracking Under Dynamic-Platform Optical Observations
by Lanze Qu, Junchi Liu, Hongwen Li, Zhiyong Wu, Jianli Wang and Kainan Yao
Aerospace 2026, 13(3), 279; https://doi.org/10.3390/aerospace13030279 - 17 Mar 2026
Viewed by 150
Abstract
In visible-light optical observations for Space Surveillance and Tracking (SST) from ground-based dynamic platforms, attitude disturbances and field-of-view discontinuities frequently undermine interframe geometric consistency, leading to energy diffusion and unstable gain in multi-frame stacking for faint space objects. We propose orbit-prior- guided target-centered [...] Read more.
In visible-light optical observations for Space Surveillance and Tracking (SST) from ground-based dynamic platforms, attitude disturbances and field-of-view discontinuities frequently undermine interframe geometric consistency, leading to energy diffusion and unstable gain in multi-frame stacking for faint space objects. We propose orbit-prior- guided target-centered stacking (OPG-TCS), a tracking-oriented post-processing method designed to stabilize target energy accumulation and improve enhancement reliability under dynamic observation conditions. OPG-TCS performs frame-wise astrometric calibration using star fields (WCS) and leverages projected orbit priors to predict target pixel locations, enabling local cropping and target-centered alignment/stacking without relying on full-frame geometric consistency. We evaluate OPG-TCS on multiple real-world dynamic-platform sequences and compare it with direct stacking and representative robust baselines. Signal-to-noise ratio (SNR) is used as the primary metric, while auxiliary indicators of peak prominence, energy concentration, and shape consistency are employed to assess robustness across varying stacking depths. The results show that OPG-TCS provides stable enhancement over different frame counts; in representative 50-frame fusions, its relative SNR surpasses direct stacking by 33.7–97.8%. These findings suggest that OPG-TCS offers a practical and robust enhancement strategy for SST-oriented observation of faint space objects, supporting more reliable detection and subsequent tracking analysis. Full article
(This article belongs to the Special Issue Advances in Space Surveillance and Tracking)
Show Figures

Figure 1

19 pages, 11161 KB  
Article
Marine Fiber-Optic Distributed Acoustic Sensing (DAS) for Monitoring Natural CO2 Emissions: A Case Study from Panarea (Aeolian Islands, Italy)
by Cinzia Bellezza, Fabio Meneghini, Andrea Travan, Michele Deponte, Luca Baradello and Andrea Schleifer
Appl. Sci. 2026, 16(6), 2863; https://doi.org/10.3390/app16062863 - 16 Mar 2026
Viewed by 127
Abstract
Submarine gas emissions represent a key expression of fluid migration processes in volcanic and hydrothermal marine environments and provide valuable analogues for monitoring strategies relevant to sub-seabed carbon storage. This study investigates the feasibility of using marine Distributed Acoustic Sensing (DAS) to detect [...] Read more.
Submarine gas emissions represent a key expression of fluid migration processes in volcanic and hydrothermal marine environments and provide valuable analogues for monitoring strategies relevant to sub-seabed carbon storage. This study investigates the feasibility of using marine Distributed Acoustic Sensing (DAS) to detect natural CO2 bubble emissions in a shallow-water setting offshore Panarea (Aeolian Islands, Italy). A 1.1 km armored fiber-optic cable was deployed on the seabed and interrogated using two different DAS systems to acquire continuous passive acoustic data. The DAS recordings were complemented by controlled gas releases from scuba tanks to provide reference signals, as well as by independent high-resolution boomer seismic survey and side-scan sonar imaging to characterize the shallow subsurface and seabed morphology. The results show that DAS is sensitive to acoustic signals associated with both artificial and natural bubble emissions, despite the complex acoustic conditions typical of shallow marine environments. The integration of passive DAS monitoring with independent geophysical observations provides a robust framework for interpreting gas-related signals and seabed processes. These findings demonstrate that marine DAS represents a promising geophysical tool for monitoring of submarine volcanic–hydrothermal systems and offers important insights for the development of sub-seabed CO2 leakage detection in offshore CCS contexts. Full article
(This article belongs to the Section Earth Sciences)
Show Figures

Graphical abstract

21 pages, 8692 KB  
Article
Occupant Behavior Sensing and Environmental Safety Monitoring in Age-Friendly Residential Buildings Using Distributed Optical Fiber Sensing
by Yueheng Tong, Yi Lei, Yaolong Wang, Rong Chen and Tiantian Huang
Buildings 2026, 16(6), 1145; https://doi.org/10.3390/buildings16061145 - 13 Mar 2026
Viewed by 147
Abstract
Under the global trend of population aging, providing a safe and reliable living environment for the elderly who live at home has become a major social issue. This study reports a monitoring technology for elderly-friendly residential buildings based on distributed acoustic sensing (DAS) [...] Read more.
Under the global trend of population aging, providing a safe and reliable living environment for the elderly who live at home has become a major social issue. This study reports a monitoring technology for elderly-friendly residential buildings based on distributed acoustic sensing (DAS) and distributed temperature sensing (DTS), which is used to monitor and identify the physical behaviors of residents and temperature changes at different locations in the space. The results show that the distributed acoustic sensing (DAS) system can initially identify typical behavioral states such as walking, squatting, and falling. The fiber DTS technology can not only monitor the temperature distribution at different locations indoors, but also be used for the monitoring and early warning of local fires in different areas of the room. The sensing probes of the monitoring system proposed in this paper are linear optical cables, which have the advantages of easy installation, strong anti-interference ability, intrinsic explosion-proof, less likely to leak residents’ privacy, all-weather operation, precise event location, and low cost for large-scale distributed measurement systems. By integrating the sensing optical cables, fiber signal processing systems, and application software introduced in this paper, an intelligent management and early warning platform for elderly-friendly residential buildings can be established, providing a new solution for remote supervision of the living safety of the elderly. Full article
(This article belongs to the Section Building Energy, Physics, Environment, and Systems)
Show Figures

Figure 1

18 pages, 4228 KB  
Article
Design Space Exploration on Blind Equalization Algorithms: Numerical Representation Analysis for SoC-FPGA
by David Marquez-Viloria, L. J. Morantes-Guzman, Neil Guerrero-Gonzalez and Marin B. Marinov
Appl. Sci. 2026, 16(6), 2777; https://doi.org/10.3390/app16062777 - 13 Mar 2026
Viewed by 170
Abstract
Field-Programmable Gate Arrays (FPGAs) have become an important platform for accelerating real-time communication systems, and System-on-Chip (SoC) devices provide the flexibility to design and optimize architectures that support high data rates, different modulation formats, and channel equalization schemes. Selecting the appropriate architecture can [...] Read more.
Field-Programmable Gate Arrays (FPGAs) have become an important platform for accelerating real-time communication systems, and System-on-Chip (SoC) devices provide the flexibility to design and optimize architectures that support high data rates, different modulation formats, and channel equalization schemes. Selecting the appropriate architecture can be guided through Design Space Exploration (DSE) using high-level synthesis tools, which enables the identification of numerical representations that balance performance with reduced hardware resource consumption. Despite their relevance, recent developments in communication systems often overlook the impact of numerical precision in Digital Signal Processing algorithms, particularly the trade-offs between floating- and fixed-point arithmetic when targeting hardware implementations. In this work, two widely used blind equalization algorithms, the Constant Modulus Algorithm (CMA) and the Multi-Modulus Algorithm (MMA), were implemented on a low-cost Ultra96 SoC-FPGA to analyze the effect of a fixed-point representation. A multi-objective Design Space Exploration methodology was applied to minimize hardware utilization while maintaining reliable transmission performance. Resource consumption, latency, and throughput were measured across different binary formats using the Minimum Mean Square Error (MMSE) criterion. Parallelization techniques were incorporated to improve throughput. The DSE generated comprehensive performance surfaces quantifying latency, MMSE convergence, and FPGA resource utilization (DSP48E/FF/LUT/BRAM) across fixed-point formats, achieving optimal 4 MS/s throughput configurations. Although this throughput is naturally lower than the Gigabit speeds required in backbone optical networks, the results demonstrate the effectiveness of numerical representation optimization in resource-constrained SoC-FPGA devices, offering a practical approach for real-time Edge and IoT implementations where cost and hardware limitations are critical. Full article
Show Figures

Figure 1

34 pages, 7227 KB  
Article
Real-Time Sand Transport Detection in an Offshore Hydrocarbon Well Using Distributed Acoustic Sensing-Based VSP Technology: Field Data Analysis and Operational Insights
by Dejen Teklu Asfha, Abdul Halim Abdul Latiff, Hassan Soleimani, Abdul Rahim Md Arshad, Alidu Rashid, Ida Bagus Suananda Yogi, Daniel Asante Otchere, Ahmed Mousa and Rifqi Roid Dhiaulhaq
Technologies 2026, 14(3), 175; https://doi.org/10.3390/technologies14030175 - 13 Mar 2026
Viewed by 348
Abstract
Sand production in an offshore hydrocarbon wells poses significant operational and integrity challenges, particularly in deviated wells, where complex flow geometries intensify particle transport and erosion risks. The traditional sand-monitoring method utilizes stationary acoustic sensors attached to the production flowline at the surface. [...] Read more.
Sand production in an offshore hydrocarbon wells poses significant operational and integrity challenges, particularly in deviated wells, where complex flow geometries intensify particle transport and erosion risks. The traditional sand-monitoring method utilizes stationary acoustic sensors attached to the production flowline at the surface. However, these sensors provide limited spatial coverage and intermittent measurements, restricting their ability to detect early sanding onset or precisely localize sanding intervals. By combining with vertical seismic profiling (VSP), Distributed Acoustic Sensing (DAS) delivers continuous, high-density data along the entire length of the wellbore and is increasingly recognized as a powerful diagnostic tool for real-time downhole monitoring. This study presents a field application of DAS-VSP for detecting and characterizing sand transport in a deviated offshore production well equipped with 350 distributed fiber-optic channels spanning 0–1983 m true vertical depth (TVD) at 8 m spacing. A multistage workflow was developed, including SEGY ingestion and shot merging, channel and time window selection, trace normalization, and low-pass filtering below 20 Hz. Multi-domain signal analysis, such as RMS energy, spike-based time-domain attributes, FFT, PSD spectral characterization, and time–frequency decomposition, were used to isolate the characteristic im-pulsive low-frequency (<20 Hz) signatures associated with sand impact. An adaptive thresholding and event-clustering scheme was then applied to discriminate sanding bursts from background noise and integrate their acoustic energy over depth. The processed DAS section revealed distinct, depth-localized sand ingress zones within the production interval (1136–1909 m TVD). The derived sand log provided a quantitative measure of sand intensity variations along the deviated wellbore, with normalized RMS amplitudes ranging from 0.039 to 1.000 a.u., a mean value of 0.235 a.u., and 137 analyzed channels within the production interval. These results indicate that sand production is highly clustered within discrete depth intervals, offering new insights into sand–fluid interactions during steady-state flow. Overall, the findings confirm that DAS-VSP enables continuous real-time monitoring of the sanding behavior with a far greater depth resolution than conventional tools. This approach supports proactive sand management strategies, enhances well-integrity decision-making, and underscores the potential of DAS to evolve into a standard surveillance technology for hydrocarbon production wells. Full article
Show Figures

Graphical abstract

15 pages, 3599 KB  
Article
Real-Time Probing of Molecular Affinity Using Optical Tweezers
by Joana Teixeira, José A. Ribeiro, Marcus Monteiro, Nuno A. Silva and Pedro A. S. Jorge
Sensors 2026, 26(6), 1814; https://doi.org/10.3390/s26061814 - 13 Mar 2026
Viewed by 157
Abstract
The ability to assess molecular binding kinetics in real time is critical for advancing our understanding of molecular interactions in biochemical and biotechnological systems. This work presents a novel optical tweezer (OT)-based method to monitor molecular affinity in real time, focusing on the [...] Read more.
The ability to assess molecular binding kinetics in real time is critical for advancing our understanding of molecular interactions in biochemical and biotechnological systems. This work presents a novel optical tweezer (OT)-based method to monitor molecular affinity in real time, focusing on the high-affinity streptavidin–biotin system as a model. Transparent poly(methyl methacrylate) (PMMA) microparticles functionalized with streptavidin were trapped before, during, and after binding with biotinylated bovine serum albumin (biotin–BSA), enabling the analysis of forward-scattered signals to detect nanoscale changes in particle size. By applying the Power Spectral Density method, the friction coefficient of individual particles was calculated, allowing for real-time tracking of binding dynamics and the estimation of the association rate constant (kon106M1s1). These results are consistent with literature values and demonstrate the potential of this OT-based approach for non-invasive, label-free detection of molecular interactions. Compared to existing techniques, such as atomic force microscopy and cantilever-based sensors, this method offers significant advantages, including real-time monitoring, adaptability to different bioaffinity systems, and compatibility with miniaturized setups. This work establishes a foundation for using OT-based tools to monitor high-affinity molecular interactions in real time. While demonstrated here using biotinylated BSA as a model ligand, future studies will explore the method’s applicability to smaller ligands and more subtle surface modifications. Full article
(This article belongs to the Special Issue Optical Tweezers in Sensing Technologies)
Show Figures

Figure 1

24 pages, 1742 KB  
Review
Quantum Encryption in Phase Space
by Randy Kuang
Atoms 2026, 14(3), 23; https://doi.org/10.3390/atoms14030023 - 11 Mar 2026
Viewed by 218
Abstract
Quantum Encryption in Phase Space (QEPS) is a physical-layer encryption framework that harnesses the quantum-mechanical properties of coherent states to secure optical communications against both classical and quantum computational threats. By applying randomized phase shifts, displacements, or their dynamic combinations—implemented as unitary transformations [...] Read more.
Quantum Encryption in Phase Space (QEPS) is a physical-layer encryption framework that harnesses the quantum-mechanical properties of coherent states to secure optical communications against both classical and quantum computational threats. By applying randomized phase shifts, displacements, or their dynamic combinations—implemented as unitary transformations in phase space—QEPS disrupts the phase reference essential for coherent detection, establishing aphase synchronization barrier. This review synthesizes the theoretical foundations, security mechanisms, and experimental progress of the QEPS framework, encompassing its three principal variants: the round-trip Quantum Public Key Envelope (QPKE) protocol—a public-key-like scheme built upon phase randomization (QEPS-p), the symmetric phase-only QEPS-p, and the displacement-based QEPS-d. Experimental validations demonstrate that authorized users achieve bit-error rates (BERs) below the forward-error-correction threshold, whereas eavesdroppers are confined to BERs near 50%, equivalent to random guessing—all while utilizing standard coherent optical transceivers at data rates up to 200 Gb/s over 80 km of fiber. We further examine QEPS’s robustness to channel impairments, its seamless compatibility with existing digital signal processing (DSP) pipelines, and its distinctive position within the post-quantum cryptography landscape. Finally, we outline key challenges and future research directions toward deploying QEPS as a practical, quantum-resistant security layer for next-generation optical networks. Full article
(This article belongs to the Special Issue Quantum Optics and Quantum Information)
Show Figures

Figure 1

41 pages, 8829 KB  
Review
Mechanisms, Sensors, and Signals for Defect Formation and In Situ Monitoring in Metal Additive Manufacturing
by Sanae Tajalli Nobari, Fabian Hanning, Yongcui Mi and Joerg Volpp
Eng 2026, 7(3), 129; https://doi.org/10.3390/eng7030129 - 11 Mar 2026
Viewed by 351
Abstract
Metal additive manufacturing (AM) facilitates the production of geometrically complex components, yet its broader industrial use remains limited by the risk of defect formation and uncertainties in their detection, originating from the highly dynamic and high-temperature process environment. To make additive manufacturing more [...] Read more.
Metal additive manufacturing (AM) facilitates the production of geometrically complex components, yet its broader industrial use remains limited by the risk of defect formation and uncertainties in their detection, originating from the highly dynamic and high-temperature process environment. To make additive manufacturing more reliable and establish high-quality parts, it is important to understand how these defects form and how their characteristics appear during the process. This review explains the main causes of common defects, such as cracking, porosity, lack of fusion, and inclusions in metal AM processes, including Powder Bed Fusion and Directed Energy Deposition. It also connects main defect formation mechanisms to the optical, thermal, acoustic, and spectroscopic signals that can be measured during the process. Moreover, it is described how commonly used in situ monitoring systems work and how their signals correspond to melt pool dynamics, vapor plume, particle movement, and the solidification process for each kind of defect. An overview is provided of how data from these systems are analyzed, including the extraction of features from images, the evaluation of temperature fields, and the use of time and frequency domain techniques for various signals. By linking the physics of defect formation to measurable process signals, the interpretation of sensor data is enabled, and potential strategies for monitoring specific problems are outlined. Finally, recent developments are examined, including the integration of multiple sensors, advanced feature-representation approaches, and real-time data interpretation coupled with adaptive control. Together, these directions represent promising advances towards more intelligent and reliable monitoring systems for the future of metal AM. Full article
(This article belongs to the Section Materials Engineering)
Show Figures

Figure 1

58 pages, 1400 KB  
Review
Biosensors of Wine Fermentation for Monitoring Chemical and Biochemical Interactions, Process Indicators and Migration of Compounds and Metabolites, Between Wine and Fermentation Vessels—A Critical Review
by Vasileios D. Prokopiou, Aikaterini Karampatea, Zoi S. Metaxa and Alexandros V. Tsoupras
Biosensors 2026, 16(3), 153; https://doi.org/10.3390/bios16030153 - 10 Mar 2026
Viewed by 433
Abstract
Wine alcoholic fermentation occurs in a dynamic biochemical environment where interactions between the vessel and the product can cause inorganic and organic species to migrate into the fermenting must or wine. At low pH and with rising ethanol levels, fermentation tanks made of [...] Read more.
Wine alcoholic fermentation occurs in a dynamic biochemical environment where interactions between the vessel and the product can cause inorganic and organic species to migrate into the fermenting must or wine. At low pH and with rising ethanol levels, fermentation tanks made of stainless steel, concrete or cementitious materials, ceramics, or polymers exhibit material-specific behaviors that may promote the release of toxic trace elements or alter technologically important ions. These changes can affect yeast physiology, fermentation kinetics, and matrix stability, directly impacting wine safety and quality. They may also influence the evolution of key fermentation metabolites and phenolic constituents, thereby affecting process performance, color development, oxidative stability, and other quality-related attributes. This review synthesizes current evidence on migration mechanisms and examines how vessel composition shapes the chemical and microbiological profile of fermentation. It also critically evaluates biosensor technologies—covering both biorecognition elements and signal-transduction strategies—and assesses the transition from laboratory prototypes to in situ or at-line implementations capable of detecting both migration-related events and process-relevant compositional changes with operational value for HACCP-based control. Electrochemical, optical, bienzymatic, and nanozyme-enabled platforms are discussed in terms of selectivity, matrix compatibility, and long-term functional stability under polyphenol and protein interference, CO2 variability, fouling and biofouling, and calibration drift. Particular attention is given to analytes associated with vessel-derived migrants and to biosensor targets related to fermentation metabolites and phenolic indicators, which support dynamic process monitoring and quality-focused decision making. Considering regulatory compliance requirements across the EU, US, and Asia, we propose a practical pathway for integrating biosensors into HACCP monitoring by treating vessel–product interactions as critical control points, while laboratory reference methods remain essential for verification and compliance documentation. Full article
(This article belongs to the Special Issue Advanced Biosensors for Food and Agriculture Safety)
Show Figures

Figure 1

20 pages, 7242 KB  
Article
Inversion and Interpretability Analysis of Bottom-Water Dissolved Oxygen in the Bohai Sea Using Multi-Source Remote Sensing Data
by Tao Li, Jie Guo, Shanwei Liu, Yong Jin, Diansheng Ji, Chawei Hou and Haitian Tang
Remote Sens. 2026, 18(5), 838; https://doi.org/10.3390/rs18050838 - 9 Mar 2026
Viewed by 242
Abstract
Seasonal hypoxia in bottom waters of the Bohai Sea poses an escalating threat to marine ecosystems, yet monitoring it via satellite remote sensing continues to be challenging due to the inaccessibility of bottom layers. However, surface bio-optical signals do not instantaneously reflect variation [...] Read more.
Seasonal hypoxia in bottom waters of the Bohai Sea poses an escalating threat to marine ecosystems, yet monitoring it via satellite remote sensing continues to be challenging due to the inaccessibility of bottom layers. However, surface bio-optical signals do not instantaneously reflect variation in bottom-water dissolved oxygen (DO); instead, a distinct temporal lag exists between surface biological activity and its influence on bottom DO. Leveraging this insight, an inversion framework was established, integrating multi-source remote sensing data with decision tree-based machine learning models to estimate bottom-water DO concentration. We evaluated multiple lag intervals for satellite-derived bio-optical variables and adopted a 14-day lag as representative of the delayed impact of surface processes on bottom DO. An optimized feature set selected via a genetic algorithm (GA) was used to train the XGBoost model, which achieved high predictive performance (R2 = 0.86, RMSE = 0.79 mg/L, MAPE = 8.89%). Interpretability analysis identified the sea surface temperature as the dominant driver of bottom-water DO variation in the Bohai Sea. The framework successfully reproduced the spatiotemporal variability in bottom DO from 2022 to 2024 in the Bohai Sea and captured the locations of summer hypoxic zones. Further analysis demonstrated that incorporating physically based bottom-layer variables substantially enhances model accuracy (R2 = 0.89, RMSE = 0.68 mg/L, MAPE = 7.85%), underscoring their critical role in regulating bottom-water DO concentrations. Building on the established inversion framework and integrating extended in situ and satellite observations, we reconstruct the long-term temporal distribution of bottom DO in the Bohai Sea from 2014 to 2025, revealing the considerable potential of satellite data for monitoring bottom-water DO conditions in coastal seas. Full article
Show Figures

Figure 1

16 pages, 1786 KB  
Article
Integrating High-Capacity Self-Homodyne Transmission and High-Sensitivity Dual-Pulse ϕ-OTDR with an EO Comb over a 7-Core Fiber
by Xu Liu, Chenbo Zhang, Yi Zou, Zhangyuan Chen, Weiwei Hu, Xiangge He and Xiaopeng Xie
Photonics 2026, 13(3), 261; https://doi.org/10.3390/photonics13030261 - 9 Mar 2026
Viewed by 281
Abstract
Beyond supporting ultra-high-capacity data transmission, metropolitan and access networks are expected to enable real-time infrastructure monitoring, driving the emergence of integrated sensing and communication (ISAC). Distributed acoustic sensing (DAS) has proven to be well-suited to urban sensing application requirements, yet its seamless integration [...] Read more.
Beyond supporting ultra-high-capacity data transmission, metropolitan and access networks are expected to enable real-time infrastructure monitoring, driving the emergence of integrated sensing and communication (ISAC). Distributed acoustic sensing (DAS) has proven to be well-suited to urban sensing application requirements, yet its seamless integration into ISAC remains challenging—conventional high-peak-power sensing pulses in DAS induce nonlinear crosstalk in communication channels. DAS inherently suffers from interference fading due to single-frequency laser sources, which limits sensitivity. Here, we propose an ISAC architecture based on an electro-optic (EO) comb and a 7-core fiber, achieving nonlinearity-suppressed self-homodyne transmission and fading-suppressed DAS. Unmodulated comb lines and sensing pulses are polarization-multiplexed into orthogonal polarization states within the central core to minimize nonlinear crosstalk while delivering local oscillators (LOs) for wavelength division multiplexing (WDM) coherent transmission within six outer cores—achieving 10.56 Tbit/s capacity. In addition to supporting WDM transmission, the EO comb’s wavelength diversity is also exploited to enhance DAS performance. Specifically, a dual-pulse probe loaded onto four comb lines yields a 6 dB signal-to-noise ratio gain and a 64% reduction in fading occurrences, achieving a sensitivity of 1.72 pε/Hz with 8 m spatial resolution. Moreover, our system supports simultaneous multi-wavelength backscatter detection in sensing and simplified digital signal processing in self-homodyne communication, reducing receiver complexity and cost. Our work presents a scalable, energy-efficient ISAC framework that unifies high-capacity communication with high-sensitivity sensing, providing a blueprint for future intelligent optical networks. Full article
(This article belongs to the Special Issue Next-Generation Optical Networks Communication)
Show Figures

Figure 1

31 pages, 11837 KB  
Article
Inversion of ϕ-OTDR Spatial Windowing Effects Using Wiener Deconvolution for Improved Acoustic Wavefield Reconstruction
by Shangming Du, Tianwei Chen, Yuxing Duan, Ke Jiang, Song Wu, Can Guo and Lei Liang
Sensors 2026, 26(5), 1706; https://doi.org/10.3390/s26051706 - 8 Mar 2026
Viewed by 254
Abstract
The spatial response of rectangular pulse heterodyne phase-sensitive optical time-domain reflectometry (ϕ-OTDR) to an acoustic event is characterized by a windowing function rather than a point-like sensitivity. This effect degrades the system’s spatial resolution and introduces systematic errors in array signal [...] Read more.
The spatial response of rectangular pulse heterodyne phase-sensitive optical time-domain reflectometry (ϕ-OTDR) to an acoustic event is characterized by a windowing function rather than a point-like sensitivity. This effect degrades the system’s spatial resolution and introduces systematic errors in array signal processing. This work presents modeling analysis and a mitigation strategy for this fundamental limitation. The spatial windowing effect is modeled as a point spread function (PSF) derived from physical mechanisms and system parameters, including the pulse width, gauge length, and intra-pulse intensity dynamics. The PSF model is validated against measurements under near-ideal conditions using a fiber-coupled tuning fork. A Wiener filter-based deconvolution method is utilized to invert the windowed spatial response towards a point-like response. The effectiveness of this inversion is demonstrated through enhanced spatial resolution and accurate reconstruction of two-dimensional wavefront geometry. Furthermore, the impact of this effect on array signal processing is quantitatively evaluated. The results demonstrate that the proposed method effectively suppresses systematic errors in wavefield analysis, and specifically enhances the accuracy and confidence of steered response power—phase transform (SRP-PHAT) spatial spectrum estimation. This study provides a systematic framework for understanding, quantifying, and inverting the spatial response in ϕ-OTDR, enabling accurate and interpretable acoustic field sensing. Full article
(This article belongs to the Special Issue Distributed Sensors: Development and Applications)
Show Figures

Figure 1

Back to TopTop