Calibration and Uncertainty Quantification for Single-Ended Raman-Based Distributed Temperature Sensing: Case Study in a 800 m Deep Coaxial Borehole Heat Exchanger
Abstract
1. Introduction
2. Materials and Methods
2.1. Measurement Principle
2.2. In-Situ DTS Configuration
2.3. Correction of Temperature Drifts
2.4. Calibration
2.5. Uncertainty Evaluation
2.5.1. Propagation of Error
2.5.2. Deviations in Bath and Bottom Conditions
2.5.3. Temperature Averaging
2.5.4. Overall Uncertainty, Degrees of Freedom and Extended Uncertainty
3. Results
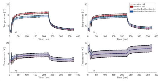
3.1. Correction of Temperature Drifts and Calibration
Verification of the Calibration
3.2. Uncertainty Evaluation
4. Discussion
5. Conclusions
Author Contributions
Funding
Institutional Review Board Statement
Informed Consent Statement
Data Availability Statement
Acknowledgments
Conflicts of Interest
Appendix A. Derivation of the Correction Based on Linear Regression
References
- Bolognini, G.; Hartog, A. Raman-based fibre sensors: Trends and applications. Opt. Fiber Technol. 2013, 19, 678–688. [Google Scholar] [CrossRef]
- Hurtig, E.; Großwig, S.; Jobmann, M.; Kühn, K.; Marschall, P. Fibre-optic temperature measurements in shallow boreholes: Experimental application for fluid logging. Geothermics 1994, 23, 355–364. [Google Scholar] [CrossRef]
- Selker, J.S.; Thévenaz, L.; Huwald, H.; Mallet, A.; Luxemburg, W.; Giesen, N.v.d.; Stejskal, M.; Zeman, J.; Westhoff, M.; Parlange, M.B. Distributed fiber-optic temperature sensing for hydrologic systems. Water Resour. Res. 2006, 42, W12202. [Google Scholar] [CrossRef]
- Ukil, A.; Braendle, H.; Krippner, P. Distributed Temperature Sensing: Review of Technology and Applications. IEEE Sens. J. 2012, 12, 885–892. [Google Scholar] [CrossRef]
- Liu, Z.; Kim, A.K. Review of Recent Developments in Fire Detection Technologies. J. Fire Prot. Eng. 2003, 13, 129–151. [Google Scholar] [CrossRef]
- Toccafondo, I.; Nannipieri, T.; Signorini, A.; Guillermain, E.; Kuhnhenn, J.; Brugger, M.; Pasquale, F.D. Raman Distributed Temperature Sensing at CERN. IEEE Photonics Technol. Lett. 2015, 27, 2182–2185. [Google Scholar] [CrossRef]
- Curtis, A.; Kyle, P. Geothermal point sources identified in a fumarolic ice cave on Erebus volcano, Antarctica using fiber optic distributed temperature sensing. Geophys. Res. Lett. 2011, 38. [Google Scholar] [CrossRef]
- Somma, R.; Troise, C.; Zeni, L.; Minardo, A.; Fedele, A.; Mirabile, M.; De Natale, G. Long-Term Monitoring with Fiber Optics Distributed Temperature Sensing at Campi Flegrei: The Campi Flegrei Deep Drilling Project. Sensors 2019, 19, 1009. [Google Scholar] [CrossRef] [PubMed]
- Williams, G.R.; Brown, G.; Hawthorne, W.; Hartog, A.H.; Waite, P.C. Distributed temperature sensing (DTS) to characterize the performance of producing oil wells. In Proceedings of the Industrial Sensing Systems, International Society for Optics and Photonics, Boston, MA, USA, 29 December 2000; Volume 4202, pp. 39–54. [Google Scholar] [CrossRef]
- Freifeld, B.M.; Finsterle, S.; Onstott, T.C.; Toole, P.; Pratt, L.M. Ground surface temperature reconstructions: Using in situ estimates for thermal conductivity acquired with a fiber-optic distributed thermal perturbation sensor. Geophys. Res. Lett. 2008, 35, L14309. [Google Scholar] [CrossRef]
- Rath, V.; Sundberg, J.; Näslund, J.O.; Liljedahl, L.C. Paleoclimatic Inversion of Temperature Profiles from Deep Boreholes at Forsmark and Laxemar; Technical Report TR-18-06; Swedish Nuclear Fuel and Waste Management: Forsmark, Sweden, 2019. [Google Scholar]
- Pickler, C.; Gurza Fausto, E.; Beltrami, H.; Mareschal, J.C.; Suárez, F.; Chacon-Oecklers, A.; Blin, N.; Cortés Calderón, M.T.; Montenegro, A.; Harris, R.; et al. Recent climate variations in Chile: Constraints from borehole temperature profiles. Clim. Past 2018, 14, 559–575. [Google Scholar] [CrossRef]
- Khan, A.A.; Vrabie, V.; Beck, Y.L.; Mars, J.I.; D’Urso, G. Monitoring and early detection of internal erosion: Distributed sensing and processing. Struct. Health Monit. 2014, 13, 562–576. [Google Scholar] [CrossRef]
- Coleman, T.I.; Parker, B.L.; Maldaner, C.H.; Mondanos, M.J. Groundwater flow characterization in a fractured bedrock aquifer using active DTS tests in sealed boreholes. J. Hydrol. 2015, 528, 449–462. [Google Scholar] [CrossRef]
- Read, T.; Bour, O.; Bense, V.; Borgne, T.L.; Goderniaux, P.; Klepikova, M.V.; Hochreutener, R.; Lavenant, N.; Boschero, V. Characterizing groundwater flow and heat transport in fractured rock using fiber-optic distributed temperature sensing. Geophys. Res. Lett. 2013, 40, 2055–2059. [Google Scholar] [CrossRef]
- Zeller, M.L.; Huss, J.M.; Pfister, L.; Lapo, K.E.; Littmann, D.; Schneider, J.; Schulz, A.; Thomas, C.K. The NY-Ålesund TurbulencE Fiber Optic eXperiment (NYTEFOX): Investigating the Arctic boundary layer, Svalbard. Earth Syst. Sci. Data 2021, 13, 3439–3452. [Google Scholar] [CrossRef]
- Clifford, S.M.; Yoshikawa, K.; Byrne, S.; Durham, W.; Fisher, D.; Forget, F.; Hecht, M.; Smith, P.; Tamppari, L.; Titus, T.; et al. Introduction to the fifth Mars Polar Science special issue: Key questions, needed observations, and recommended investigations. Icarus 2013, 225, 864–868. [Google Scholar] [CrossRef]
- Hurtig, E.; Schrötter, J.; Großwig, S.; Kühn, K.; Orrell, P.; Harjes, B. Borehole temperature measurements using distributed fibre optic sensing. Sci. Drill. 1992, 3, 283–286. [Google Scholar]
- Sharma, W.S.K.; Seki, A.; Angel, S.M.; Garvis, D.G. Field testing of an optical fiber temperature sensor in a geothermal. Geothermics 1990, 19, 285–294. [Google Scholar] [CrossRef]
- Acuña, J.; Mogensen, P.; Palm, B. Distributed thermal response tests on a multi-pipe coaxial borehole heat exchanger. HVAC&R Res. 2011, 17, 1012–1029. [Google Scholar] [CrossRef]
- Acuña, J.; Palm, B. Distributed thermal response tests on pipe-in-pipe borehole heat exchangers. Appl. Energy 2013, 109, 312–320. [Google Scholar] [CrossRef]
- Fujii, H.; Okubo, H.; Itoi, R. Thermal response tests using optical fiber thermometers. Energy Resour. Eng. 2006, 30, 545–551. [Google Scholar]
- Fujii, H.; Okubo, H.; Nishi, K.; Itoi, R.; Ohyama, K.; Shibata, K. An improved thermal response test for U-tube ground heat exchanger based on optical fiber thermometers. Geothermics 2009, 38, 399–406. [Google Scholar] [CrossRef]
- Galgaro, A.; Pasquier, P.; Schenato, L.; Cultrera, M.; Dalla Santa, G. Soil thermal conductivity from early TRT logs using an active hybrid optic fibre system. In Proceedings of the IGSHPA Research Track 2018, Stockholm, Sweden, 18–20 September 2018. [Google Scholar] [CrossRef]
- Radioti, G.; Delvoie, S.; Charlier, R.; Dumont, G.; Nguyen, F. Heterogeneous bedrock investigation for a closed-loop geothermal system: A case study. Geothermics 2016, 62, 79–92. [Google Scholar] [CrossRef]
- Rolando, D.; Acuna, J.; Fossa, M. Heat extraction distributed thermal response test: A methodological approach and in-situ experiment. In Proceedings of the IGSHPA Research Track 2017, Denver, CO, USA, 14–16 March 2017. [Google Scholar] [CrossRef]
- Sakata, Y.; Katsura, T.; Nagano, K. Multilayer-concept thermal response test: Measurement and analysis methodologies with a case study. Geothermics 2018, 71, 178–186. [Google Scholar] [CrossRef]
- Aranzabal, N.; Martos, J.; Stokuca, M.; Mazzotti Pallard, W.; Acuña, J.; Soret, J.; Blum, P. Novel instruments and methods to estimate depth-specific thermal properties in borehole heat exchangers. Geothermics 2020, 86, 101813. [Google Scholar] [CrossRef]
- Ma, Y.; Zhang, Y.; Cheng, Y.; Zhang, Y.; Gao, X.; Shan, K. A Case Study of Field Thermal Response Test and Laboratory Test Based on Distributed Optical Fiber Temperature Sensor. Energies 2022, 15, 8101. [Google Scholar] [CrossRef]
- Hakala, P.; Vallin, S.; Arola, T.; Martinkauppi, I. Novel use of the enhanced thermal response test in crystalline bedrock. Renew. Energy 2021, 182, 467–482. [Google Scholar] [CrossRef]
- Sakata, Y.; Katsura, T.; Serageldin, A.A.; Nagano, K.; Ooe, M. Evaluating Variability of Ground Thermal Conductivity within a Steep Site by History Matching Underground Distributed Temperatures from Thermal Response Tests. Energies 2021, 14, 1872. [Google Scholar] [CrossRef]
- Ma, Y.; Zhang, Y.; Cheng, Y.; Zhang, Y.; Gao, X.; Deng, H.; Zhang, X. Influence of Different Heat Loads and Durations on the Field Thermal Response Test. Energies 2022, 15, 8759. [Google Scholar] [CrossRef]
- Abuasbeh, M.; Acuna, J. Ates system monitoring project, first measurement and performance evaluation: Case study in Sweden. In Proceedings of the IGSHPA Research Track 2018, Stockholm, Sweden, 18–20 September 2018. [Google Scholar] [CrossRef]
- Korhonen, K.; Leppaharju, N.; Hakala, P.; Arola, T. Simulated temperature evolution of large BTES—Case study from Finland. In Proceedings of the IGSHPA Research Track 2018, Stockholm, Sweden, 18–20 September 2018. [Google Scholar] [CrossRef]
- McDaniel, A.; Fratta, D.; Tinjum, J.M.; Hart, D.J. Long-term district-scale geothermal exchange borefield monitoring with fiber optic distributed temperature sensing. Geothermics 2018, 72, 193–204. [Google Scholar] [CrossRef]
- Monzó, P.; Lazzarotto, A.; Acuña, J. First Measurements of a Monitoring Project on a Btes System. Geothermics 2017, 72, 193–204. [Google Scholar] [CrossRef][Green Version]
- Sommer, W.T.; Doornenbal, P.J.; Drijver, B.C.; van Gaans, P.F.M.; Leusbrock, I.; Grotenhuis, J.T.C.; Rijnaarts, H.H.M. Thermal performance and heat transport in aquifer thermal energy storage. Hydrogeol. J. 2014, 22, 263–279. [Google Scholar] [CrossRef]
- Ramstad, R.K.; Justo Alonso, M.; Acuña, J.; Andersson, O.; Stokuca, M.; Håkansson, N.; Midttømme, K.; Rydell, L. The borehole thermal energy storage at Emmaboda, Sweden: First distributed temperature measurements. Sci. Technol. Built Environ. 2023, 29, 146–162. [Google Scholar] [CrossRef]
- Xue, T.; Jokisalo, J.; Kosonen, R.; Vuolle, M.; Marongiu, F.; Vallin, S.; Leppäharju, N.; Arola, T. Experimental evaluation of IDA ICE and COMSOL models for an asymmetric borehole thermal energy storage field in Nordic climate. Appl. Therm. Eng. 2022, 217, 119261. [Google Scholar] [CrossRef]
- Baek, J.Y.; Oh, H.R.; Ha, S.W.; Lee, S.S.; Lee, K.K. Case study on high-resolution monitoring network of groundwater heat pump system. In Proceedings of the IGSHPA Research Track 2022, Las Vegas, NA, USA, 6–8 December 2022; International Ground Source Heat Pump Association: Springfield, IL, USA, 2022. [Google Scholar] [CrossRef]
- Malmberg, M.; Raymond, J.; Perozzi, L.; Gloaguen, E.; Mellqvist, C.; Schwarz, G.; Acuna, J. Development of a thermal conductivity map of Stockholm. In Proceedings of the IGSHPA Research Track 2018, Stockholm, Sweden, 18–20 September 2018. [Google Scholar] [CrossRef]
- Radioti, G.; Sartor, K.; Charlier, R.; Dewallef, P.; Nguyen, F. Effect of undisturbed ground temperature on the design of closed-loop geothermal systems: A case study in a semi-urban environment. Appl. Energy 2017, 200, 89–105. [Google Scholar] [CrossRef]
- Aranzabal, N.; Martos, J.; Steger, H.; Blum, P.; Soret, J. Temperature measurements along a vertical borehole heat exchanger: A method comparison. Renew. Energy 2019, 143, 1247–1258. [Google Scholar] [CrossRef]
- Schüppler, S.; Zorn, R.; Steger, H.; Blum, P. Uncertainty analysis of wireless temperature measurement (WTM) in borehole heat exchangers. Geothermics 2021, 90, 102019. [Google Scholar] [CrossRef]
- Acuña, J. Distributed Thermal Response Tests: New Insights on U-Pipe and Coaxial Heat Exchangers in Groundwater-Filled Boreholes. Ph.D. Thesis, KTH Royal Institute of Technology, Stockholm, Sweden, 2013. OCLC: 940250501. [Google Scholar]
- Hausner, M.B.; Suárez, F.; Glander, K.E.; Giesen, N.v.d.; Selker, J.S.; Tyler, S.W. Calibrating Single-Ended Fiber-Optic Raman Spectra Distributed Temperature Sensing Data. Sensors 2011, 11, 10859–10879. [Google Scholar] [CrossRef] [PubMed]
- Tyler, S.W.; Selker, J.S.; Hausner, M.B.; Hatch, C.E.; Torgersen, T.; Thodal, C.E.; Schladow, S.G. Environmental temperature sensing using Raman spectra DTS fiber-optic methods. Water Resour. Res. 2009, 45, 1–11. [Google Scholar] [CrossRef]
- Vieira, A.; Maranha, J.; Christodoulides, P.; Alberdi-Pagola, M.; Loveridge, F.; Nguyen, F.; Florides, G.; Radioti, G.; Cecinato, F.; Prodan, I.; et al. Characterisation of Ground Thermal and Thermo-Mechanical Behaviour for Shallow Geothermal Energy Applications. Energies 2017, 10, 2044. [Google Scholar] [CrossRef]
- van de Giesen, N.; Steele-Dunne, S.C.; Jansen, J.; Hoes, O.; Hausner, M.B.; Tyler, S.; Selker, J. Double-Ended Calibration of Fiber-Optic Raman Spectra Distributed Temperature Sensing Data. Sensors 2012, 12, 5471–5485. [Google Scholar] [CrossRef]
- Hausner, M.B.; Kobs, S. Identifying and Correcting Step Losses in Single-Ended Fiber-Optic Distributed Temperature Sensing Data. J. Sens. 2016, 2016, 7073619. [Google Scholar] [CrossRef]
- McDaniel, A.; Tinjum, J.M.; Hart, D.J.; Fratta, D. Dynamic Calibration for Permanent Distributed Temperature Sensing Networks. IEEE Sens. J. 2018, 18, 2342–2352. [Google Scholar] [CrossRef]
- des Tombe, B.; Schilperoort, B.; Bakker, M. Estimation of Temperature and Associated Uncertainty from Fiber-Optic Raman-Spectrum Distributed Temperature Sensing. Sensors 2020, 20, 2235. [Google Scholar] [CrossRef]
- Ghafoori, Y.; Vidmar, A.; Kryžanowski, A. A Dynamic Calibration of Optical Fiber DTS Measurements Using PEST and Reference Thermometers. Sensors 2022, 22, 3890. [Google Scholar] [CrossRef] [PubMed]
- Lillo, M.; Suárez, F.; Hausner, M.B.; Yáñez, G.; Veloso, E.A. Extension of Duplexed Single-Ended Distributed Temperature Sensing Calibration Algorithms and Their Application in Geothermal Systems. Sensors 2022, 22, 3319. [Google Scholar] [CrossRef]
- Wilke, S.; Menberg, K.; Steger, H.; Blum, P. Advanced thermal response tests: A review. Renew. Sustain. Energy Rev. 2020, 119, 109575. [Google Scholar] [CrossRef]
- Silva, L.C.B.; Segatto, M.E.V.; Castellani, C.E.S. Raman scattering-based distributed temperature sensors: A comprehensive literature review over the past 37 years and towards new avenues. Opt. Fiber Technol. 2022, 74, 103091. [Google Scholar] [CrossRef]
- FIDES cost action 299. In Guideline for Use of Fibre Optic Sensors; Technical Report; COST 299 Management Committee: Wroclaw, Poland, 2009.
- Joint Committee for Guides in Metrology. Evaluation of Measurement Data—Guide to the Expression of Uncertainty in Measurement; Guide 100; BIPM: Paris, France; IEC: London, UK; IFCC: Milano, Italy; ISO: London, UK; IUPAC: Zürich, Switzerland; IUPAP: Research Triangle Park, NC, USA; OIML: Paris, France; ILAC: Silverwater, Australia, 2008. [Google Scholar]
- Simon, N.; Bour, O.; Lavenant, N.; Porel, G.; Nauleau, B.; Pouladi, B.; Longuevergne, L. A Comparison of Different Methods to Estimate the Effective Spatial Resolution of FO-DTS Measurements Achieved during Sandbox Experiments. Sensors 2020, 20, 570. [Google Scholar] [CrossRef]
- Radioti, G.; Cerfontaine, B.; Charlier, R.; Nguyen, F. Experimental and numerical investigation of a long-duration Thermal Response Test: Borehole Heat Exchanger behaviour and thermal plume in the heterogeneous rock mass. Geothermics 2018, 71, 245–258. [Google Scholar] [CrossRef]
- Monzó, P. Modelling and Monitoring Thermal Response of the Ground in Borehole Fields. Ph.D. Thesis, KTH Royal Institute of Technology, Stockholm, Sweden, 2018. [Google Scholar]
- Parra-Murillo, C.A.; Santos, M.F.; Monken, C.H.; Jorio, A. Stokes-anti-Stokes correlation in the inelastic scattering of light by matter and generalization of the Bose-Einstein population function. Phys. Rev. B 2016, 93, 125141. [Google Scholar] [CrossRef]
- Velez, S.T.; Seibold, K.; Kipfer, N.; Anderson, M.D.; Sudhir, V.; Galland, C. Preparation and Decay of a Single Quantum of Vibration at Ambient Conditions. Phys. Rev. X 2019, 9, 041007. [Google Scholar] [CrossRef]
- Geng, J.; Jin, R.; Xu, J.; Li, X.; Li, Y.; Guo, C.; Wei, G.; Zhang, H. An improved model for the fully distributed temperature single-mode fibre optic sensor based on Raman optical frequency-domain reflectometry. J. Opt. A Pure Appl. Opt. 2004, 6, 932–936. [Google Scholar] [CrossRef]
- Farahani, M.A.; Gogolla, T. Spontaneous Raman scattering in optical fibers with modulated probe light for distributed temperature Raman remote sensing. J. Light. Technol. 1999, 17, 1379–1391. [Google Scholar] [CrossRef]
- Willem, M.; José, A.; Alberto, L.; Björn, P. Deep Boreholes for Ground-Source Heat Pump: Final Report; KTH Royal Institute of Technology: Stockholm, Sweden, 2018. [Google Scholar]
- Beier, R.A.; Smith, M.D.; Spitler, J.D. Reference data sets for vertical borehole ground heat exchanger models and thermal response test analysis. Geothermics 2011, 40, 79–85. [Google Scholar] [CrossRef]
- Mazzotti, W.; Firmansyah, H.; Acuña, J.; Stokuca, M.; Palm, B. Newton-Raphson method applied to the time-superposed ILS for parameter estimation in Thermal Response Tests. In Proceedings of the IGSHPA Research Track 2018, Stockholm, Sweden, 18–20 September 2018. [Google Scholar] [CrossRef]
- Sensornet. Halo DTS datasheet v3. Available online: https://www.sensornet.co.uk/wp-content/uploads/2020/07/Halo-DTS-data-sheet-v3.pdf (accessed on 30 September 2022).
- Mazzotti Pallard, W.; Lazzarotto, A.; Acuña Sequera, J.; Palm, B. Design methodology for laboratory scale borehole storage: An approach based on analytically-derived invariance requirements and numerical simulations. Geothermics 2020, 87, 101856. [Google Scholar] [CrossRef]
- Holmberg, H.; Acuña, J.; Næss, E.; Sønju, O.K. Thermal evaluation of coaxial deep borehole heat exchangers. Renew. Energy 2016, 97, 65–76. [Google Scholar] [CrossRef]
- Morchio, S.; Fossa, M. Thermal modeling of deep borehole heat exchangers for geothermal applications in densely populated urban areas. Therm. Sci. Eng. Prog. 2019, 13, 100363. [Google Scholar] [CrossRef]
- Luo, Y.; Guo, H.; Meggers, F.; Zhang, L. Deep coaxial borehole heat exchanger: Analytical modeling and thermal analysis. Energy 2019, 185, 1298–1313. [Google Scholar] [CrossRef]
- Claesson, J. Markvärme: En Handbok om Termiska Analyser. D. 3; Statens råd för Byggnadsforskning; Svensk byggtjänst: Lund, Sweden, 1985; OCLC: 185671287. [Google Scholar]









| [m] | [-] | [m] | [-] | |
|---|---|---|---|---|
| Raw data (default) | - | - | ||
| On-site calibration | −0.0106 | −0.0106 | ||
| Segregated calibration | −0.0165 | −0.0092 | ||
| Combined calibration | −0.0121 | −0.0137 | ||
| Independent combined calibration (one-year interval) | −0.0104 | −0.0172 |
| [K] | [-] | [m] | [m] | [K] | [K] |
|---|---|---|---|---|---|
| 516.4 | −0.0015 | 50 |
| Depth/Length [m] | 0 | 10 | 20 | 100 | 200 | 300 | 400 | 500 | 600 | 700 | 800 |
|---|---|---|---|---|---|---|---|---|---|---|---|
| Channel 1 [K] | 0.379 | 0.358 | 0.383 | 0.445 | 0.588 | 0.742 | 0.907 | 1.08 | 1.27 | 1.46 | 1.66 |
| Channel 2 [K] | 0.553 | 0.395 | 0.400 | 0.450 | 0.581 | 0.735 | 0.903 | 1.08 | 1.27 | 1.46 | 1.65 |
| Manufacturer’s “resolution” [69] [K] | 0.025 | 0.025 | 0.025 | 0.025 | 0.027 | 0.028 | 0.029 | 0.030 | 0.030 | 0.032 | 0.033 |
Disclaimer/Publisher’s Note: The statements, opinions and data contained in all publications are solely those of the individual author(s) and contributor(s) and not of MDPI and/or the editor(s). MDPI and/or the editor(s) disclaim responsibility for any injury to people or property resulting from any ideas, methods, instructions or products referred to in the content. |
© 2023 by the authors. Licensee MDPI, Basel, Switzerland. This article is an open access article distributed under the terms and conditions of the Creative Commons Attribution (CC BY) license (https://creativecommons.org/licenses/by/4.0/).
Share and Cite
Mazzotti Pallard, W.; Lazzarotto, A.; Acuña, J.; Palm, B. Calibration and Uncertainty Quantification for Single-Ended Raman-Based Distributed Temperature Sensing: Case Study in a 800 m Deep Coaxial Borehole Heat Exchanger. Sensors 2023, 23, 5498. https://doi.org/10.3390/s23125498
Mazzotti Pallard W, Lazzarotto A, Acuña J, Palm B. Calibration and Uncertainty Quantification for Single-Ended Raman-Based Distributed Temperature Sensing: Case Study in a 800 m Deep Coaxial Borehole Heat Exchanger. Sensors. 2023; 23(12):5498. https://doi.org/10.3390/s23125498
Chicago/Turabian StyleMazzotti Pallard, Willem, Alberto Lazzarotto, José Acuña, and Björn Palm. 2023. "Calibration and Uncertainty Quantification for Single-Ended Raman-Based Distributed Temperature Sensing: Case Study in a 800 m Deep Coaxial Borehole Heat Exchanger" Sensors 23, no. 12: 5498. https://doi.org/10.3390/s23125498
APA StyleMazzotti Pallard, W., Lazzarotto, A., Acuña, J., & Palm, B. (2023). Calibration and Uncertainty Quantification for Single-Ended Raman-Based Distributed Temperature Sensing: Case Study in a 800 m Deep Coaxial Borehole Heat Exchanger. Sensors, 23(12), 5498. https://doi.org/10.3390/s23125498

