Influence of Antenna Element Position Deviation on Radiation Performance of Helical Antenna Array
Abstract
1. Introduction
2. Modeling of the Radiation Field
2.1. Modeling of Radiation Field of Helical Antenna Array Elements with Radiation Cups
2.2. Modeling the Radiation Field of Helical Antenna Array
2.3. Modeling the Radiation Field of Helical Antenna Array Considering the Position Deviation
3. Results and Discussion
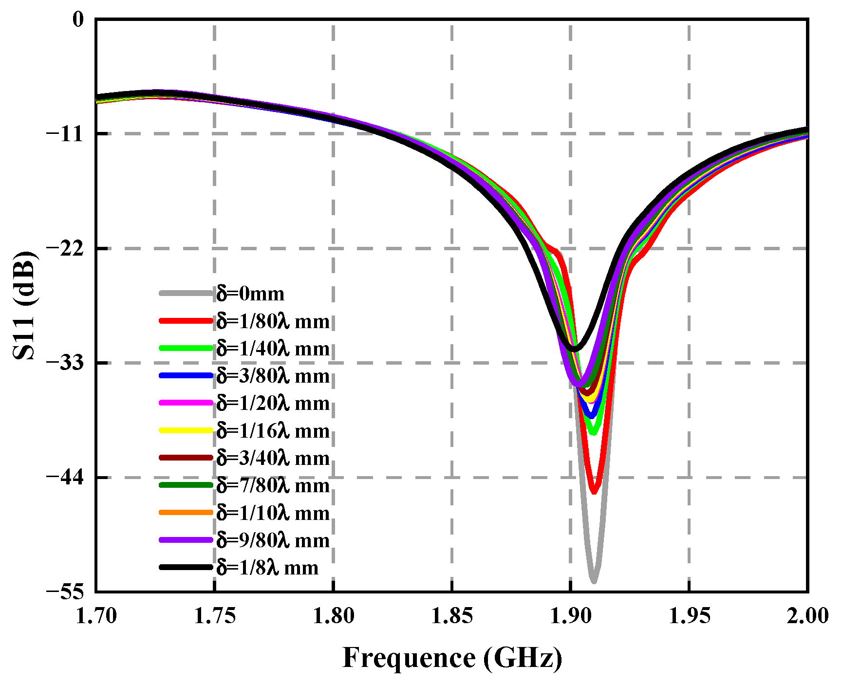
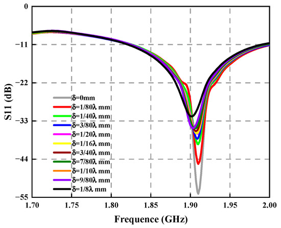
3.1. Design and Analysis of Helical Antenna Elements
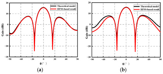
3.2. Model Verification
3.3. Rectangular Plane Array
3.4. Circular Array
4. Conclusions
Author Contributions
Funding
Institutional Review Board Statement
Informed Consent Statement
Data Availability Statement
Conflicts of Interest
References
- Zhu, H.; Zhao, L.; Jiang, Y.Z.; Ting, H.E. Overview of the application of geostationary satellites in water conservancy. South-North Water Transf. Water Sci. Technol. 2013, 11, 134–139. [Google Scholar]
- Sutinjo, A.T.; Hall, P.J. Antenna rotation error tolerance for a low-frequency aperture array polarimeter. IEEE Trans. Antennas Propag. 2014, 62, 3401–3406. [Google Scholar] [CrossRef]
- Rocca, P.; Manica, L.; Anselmi, N.; Massa, A. Analysis of the pattern tolerances in linear arrays with arbitrary amplitude errors. IEEE Antennas Wirel. Propag. Lett. 2013, 12, 639–642. [Google Scholar] [CrossRef]
- Takahashi, T.; Nakamoto, N.; Ohtsuka, M.; Aoki, T.; Konishi, Y.; Chiba, I.; Yajima, M. On-board calibration methods for mechanical distortions of satellite phased array antennas. IEEE Trans. Antennas Propag. 2012, 60, 1362–1372. [Google Scholar] [CrossRef]
- Wang, C.; Kang, M.; Wang, Y.; Wang, W.; Du, J. Coupled structural-electromagnetic modeling and analysis of hexagonal active phased array antennas with random errors. AEU Int. J. Electron. Commun. 2016, 70, 592–598. [Google Scholar] [CrossRef]
- Rocca, P.; Anselmi, N.; Massa, A. Interval arithmetic for pattern tolerance analysis of parabolic reflectors. IEEE Trans. Antennas Propag. 2014, 62, 4952–4960. [Google Scholar] [CrossRef]
- Poli, L.; Rocca, P.; Anselmi, N.; Massa, A. Dealing with uncertainties on phase weighting of linear antenna arrays by means of interval-based tolerance analysis. IEEE Trans. Antennas Propag. 2015, 63, 3229–3234. [Google Scholar] [CrossRef]
- Zhou, Z.Z.; Liu, H.L.; Gu, R.J.; Hou, S.L. Research on the exposure area of phased array radar with module unit failure. Mod. Def. Technol. 2012, 40, 140–144, 160. [Google Scholar]
- Farahani, H.S.; Veysi, M.; Kamyab, M.; Tadjalli, A. Mutual coupling reduction in patch antenna arrays using a UC-EBG superstrate. IEEE Antennas Wirel. Propag. Lett. 2010, 9, 57–59. [Google Scholar] [CrossRef]
- Li, Z.; Du, Z.; Takahashi, M.; Saito, K.; Ito, K. Reducing mutual coupling of MIMO antennas with parasitic elements for mobile terminals. IEEE Trans. Antennas Propag. 2011, 60, 473–481. [Google Scholar] [CrossRef]
- Schmid, C.M.; Schuster, S.; Feger, R.; Stelzer, A. On the effects of calibration errors and mutual coupling on the beam pattern of an antenna array. IEEE Trans. Antennas Propag. 2013, 61, 4063–4072. [Google Scholar] [CrossRef]
- You, B.; Zhang, H.; Wang, P.; Zhang, J. Satellite antenna dynamics and control with thermal effect. Aircr. Eng. Aerosp. Technol. Int. J. 2015, 87, 274–283. [Google Scholar] [CrossRef]
- Hayashi, I.; Higuchi, R.; Yokozeki, T.; Aoki, T. Analytical study on the thermal deformation of ultralight phased array antenna. Acta Astronaut. 2021, 188, 531–544. [Google Scholar] [CrossRef]
- Kurnia, J.C.; Sasmito, A.P.; Mujumdar, A.S. Numerical investigation of laminar heat transfer performance of various cooling channel designs. Appl. Therm. Eng. 2011, 31, 1293–1304. [Google Scholar] [CrossRef]
- Yang, C.; Hou, X.; Chang, S. A synchronous placement and size-based multi-objective optimization method for heat dissipation design on antenna module of space solar power satellite. Sustain. Energy Technol. Assess. 2021, 45, 101183. [Google Scholar] [CrossRef]
- Park, J.; Choi, D.; Hong, W. Millimeter-wave phased-array antenna-in-package (AiP) using stamped metal process for enhanced heat dissipation. IEEE Antennas Wirel. Propag. Lett. 2019, 18, 2355–2359. [Google Scholar] [CrossRef]
- Zhou, L.; Tang, M.; Qian, J.; Zhang, Y.P.; Mao, J. Vivaldi antenna array with heat dissipation enhancement for millimeter-wave applications. IEEE Trans. Antennas Propag. 2021, 70, 288–295. [Google Scholar] [CrossRef]
- Lanne, M. Design aspects and pattern prediction for phased arrays with subarray position errors. In Proceedings of the 4th IEEE International Symposium on Phased Array Systems and Technology (ISPAST 2010), Waltham, MA, USA, 12–15 October 2010; pp. 440–446. [Google Scholar]
- Wang, H.S.C. Performance of phased-array antennas with mechanical errors. IEEE Trans. Aerosp. Electron. Syst. 1992, 28, 535–545. [Google Scholar] [CrossRef]
- Wang, C.; Wang, Y.; Yang, X.; Gao, W.; Jiang, C.; Wang, L.; Zhang, Y.; Wang, M. Effect of randomness in element position on performance of communication array antennas in Internet of Things. Wirel. Commun. Mob. Comput. 2018, 2018, 649214. [Google Scholar] [CrossRef]
- Anselmi, N.; Manica, L.; Rocca, P.; Massa, A. Tolerance analysis of antenna arrays through interval arithmetic. IEEE Trans. Antennas Propag. 2013, 61, 5496–5507. [Google Scholar] [CrossRef]
- Anselmi, N.; Salucci, M.; Rocca, P.; Massa, A. Power pattern sensitivity to calibration errors and mutual coupling in linear arrays through circular interval arithmetics. Sensors 2016, 16, 791. [Google Scholar] [CrossRef] [PubMed]
- Kraus, J.D.; Williamson, J.C. Characteristics of helical antennas radiating in the axial mode. J. Appl. Phys. 1948, 19, 87–96. [Google Scholar] [CrossRef]
- Kornhauser, E.T. Radiation field of helical antennas with sinusoidal current. J. Appl. Phys. 1951, 22, 887–891. [Google Scholar] [CrossRef]
- Jaafar, A.N.; Ja’afar, H.; Pasya, I.; Yamada, Y.; Abdullah, R.; Aris, M.A.; Redzwan, F.N.M. Analysis of Helical Antenna for Wireless Application at 2.4 GHz. In Proceedings of the IEEE Asia-Pacific Conference on Applied Electromagnetics (APACE 2019), Melacca, Malaysia, 25–27 November 2019; pp. 1–5. [Google Scholar]
- Xia, D.; Zhang, H.; Zhang, Q.; Wang, C. Three coaxial-feed axial mode spherical helical antennas. In Proceedings of the 2006 4th Asia-Pacific Conference on Environmental Electromagnetics (APCEE 2006), Dalian, China, 1–4 August 2006; pp. 468–471. [Google Scholar]
























| Model Parameter | Symbol | |
|---|---|---|
| Diameter | D | 63.61 mm |
| Circumference | C | |
| Spacing (center to center) between any two adjacent turns | S | 44.32 mm |
| One turn of the screw length | L | |
| Diameter of the ground plane | ||
| Diameter of the helix conductor | 11.28 mm | |
| Number of turns | N | 3.341 |
Disclaimer/Publisher’s Note: The statements, opinions and data contained in all publications are solely those of the individual author(s) and contributor(s) and not of MDPI and/or the editor(s). MDPI and/or the editor(s) disclaim responsibility for any injury to people or property resulting from any ideas, methods, instructions or products referred to in the content. |
© 2023 by the authors. Licensee MDPI, Basel, Switzerland. This article is an open access article distributed under the terms and conditions of the Creative Commons Attribution (CC BY) license (https://creativecommons.org/licenses/by/4.0/).
Share and Cite
Zeng, L.; Wang, C.; Liu, H.; Liu, N.; Wang, J.; Zhou, L.; Wang, Y.; Wang, Y. Influence of Antenna Element Position Deviation on Radiation Performance of Helical Antenna Array. Sensors 2023, 23, 4827. https://doi.org/10.3390/s23104827
Zeng L, Wang C, Liu H, Liu N, Wang J, Zhou L, Wang Y, Wang Y. Influence of Antenna Element Position Deviation on Radiation Performance of Helical Antenna Array. Sensors. 2023; 23(10):4827. https://doi.org/10.3390/s23104827
Chicago/Turabian StyleZeng, Lingqi, Chengxin Wang, Haibo Liu, Ning Liu, Jinxin Wang, Lanlan Zhou, Yong Wang, and Yongqing Wang. 2023. "Influence of Antenna Element Position Deviation on Radiation Performance of Helical Antenna Array" Sensors 23, no. 10: 4827. https://doi.org/10.3390/s23104827
APA StyleZeng, L., Wang, C., Liu, H., Liu, N., Wang, J., Zhou, L., Wang, Y., & Wang, Y. (2023). Influence of Antenna Element Position Deviation on Radiation Performance of Helical Antenna Array. Sensors, 23(10), 4827. https://doi.org/10.3390/s23104827

