Improved the Impact of SST for HY-2A Scatterometer Measurements by Using Neural Network Model
Abstract
1. Introduction
2. Datasets and Methods
2.1. Datasets
2.1.1. HY-2A Data
2.1.2. WindSat Data
2.1.3. ECMWF Data
2.1.4. Collocations
2.1.5. Preprocessing
2.2. Methods
2.2.1. Neural Network Modeling
2.2.2. Wind Vector Retrieval Algorithm
2.2.3. SST Impact Assessment
3. Results
3.1. Comparative Analysis of Backscatter Coefficient
3.2. Analysis of Retrieved Wind Velocities
3.2.1. Comparison with WindSat Wind
3.2.2. Validation Using ECMWF Data
4. Discussion
5. Conclusions
- (1)
- The SST has a certain influence on the wind measurement accuracy of the HY-2A scatterometer and this influence is related to the polarization. In this study, we found that the temperature sensitivity of VV polarization reached a maximum of 1.17, which is more sensitive to the change of SST than HH polarization. In addition, the effect of SST is also related to the wind speed. When the wind speed is 4 m/s, the temperature sensitivity of the backscatter coefficient to the change of SST is 0.5, while the amount of change in the backscatter coefficient with the change in SST increases as the wind speed increases, and the temperature sensitivity of the backscatter coefficient of VV polarization even exceeds 1 when the wind speed is 14 m/s.
- (2)
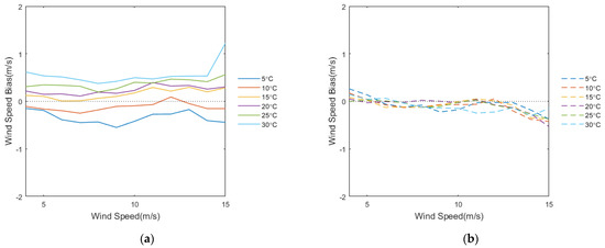
- The effect of SST on the HY-2A scatterometer is more obvious in the mean wind speed bias and the maximum value of mean wind speed bias between HY-2A and WindSat can reach 1.2 m/s, while the wind field inverted by the TNNW-corrected backscatter coefficient basically improves the wind speed bias so that the maximum value of mean wind speed bias does not exceed 0.5 m/s. At the same time, the RMSE of the retrieved wind field of the TNNW-improved backscatter coefficient is similar to that of the HY-2A wind field, indicating that no other deviations are introduced during the improvement process.
- (3)
- A method was proposed to remove the influence of sea surface temperature on HY-2A scatterometer wind measurements using a neural network model—TNNW. Although this method is more suitable for satellite-borne scatterometers in operation than theoretical analysis methods that require the construction of complex models—and can improve the accuracy of HY-2A scatterometer wind measurements to some extent without rebuilding the GMF—the limitations of the neural network itself prevent us from analyzing more deeply how sea surface temperature affects the scatterometer wind measurements. A focus of our future work is to develop a more accurate model for improved scatterometer wind measurements based on an understanding of the mechanism by which sea surface temperature affects the backscatter coefficient and to apply this technique to the newer HY-series scatterometers.
Author Contributions
Funding
Institutional Review Board Statement
Informed Consent Statement
Data Availability Statement
Acknowledgments
Conflicts of Interest
References
- Liu, W.T. Progress in Scatterometer Application. J. Oceanogr. 2002, 58, 121–136. [Google Scholar] [CrossRef]
- Stoffelen, A.; Kumar, R.; Zou, J.; Karaev, V.; Chang, P.S.; Rodriguez, E. Ocean Surface Vector Wind Observations. In Remote Sensing of the Asian Seas; Barale, V., Gade, M., Eds.; Springer: Cham, Switzerland, 2019; pp. 429–447. [Google Scholar] [CrossRef]
- Atlas, R.; Bloom, S.C.; Ardizzone, J.; Brin, E.; Terry, J. Impact of seawinds scatterometer data on ocean surface analysis and weather prediction. In Proceedings of the Oceans 2003. Celebrating the Past… Teaming Toward the Future (IEEE Cat. No.03CH37492), San Diego, CA, USA, 22–26 September 2003; pp. 1598–1601. [Google Scholar] [CrossRef]
- Singh, R.; Kumar, P.; Pal, P.K. Assimilation of Oceansat-2-Scatterometer-Derived Surface Winds in the Weather Research and Forecasting Model. IEEE Trans. Geosci. Remote Sens. 2012, 50, 1015–1021. [Google Scholar] [CrossRef]
- Elyouncha, A.; Eriksson, L.E.B.; Romeiser, R.; Ulander, L.M.H. Empirical Relationship between the Doppler Centroid Derived From X-Band Spaceborne InSAR Data and Wind Vectors. IEEE Trans. Geosci. Remote Sens. 2022, 60, 4201120. [Google Scholar] [CrossRef]
- Mouche, A.A.; Hauser, D.; Kudryavtsev, V. Radar scattering of the ocean surface and sea-roughness properties: A combined analysis from dual-polarizations airborne radar observations and models in C band. J. Geophys. Res. 2006, 111, C09004. [Google Scholar] [CrossRef]
- Wentz, F.J.; Smith, D.K. A model function for the ocean-normalized radar cross section at 14 GHz derived from NSCAT observations. J. Geophys. Res 1999, 104, 11499–11514. [Google Scholar] [CrossRef]
- Voronovich, A.G. Small-slope approximation for electromagnetic wave scattering at a rough interface of two dielectric half-spaces. Waves Random Media 1994, 4, 337–368. [Google Scholar] [CrossRef]
- Voronovich, A.G.; Zavorotny, V.U. Theoretical model for scattering of radar signals in Ku-and C-bands from a rough sea surface with breaking waves. Waves Random Media 2001, 11, 247–269. [Google Scholar] [CrossRef]
- Fois, F.; Hoogeboom, P.; Chevalier, F.; Stoffelen, A. An investigation on sea surface wave spectra and approximate scattering theories. In Proceedings of the 2014 IEEE Geoscience and Remote Sensing Symposium, Quebec, QC, Canada, 13–18 July 2014; pp. 4366–4369. [Google Scholar]
- Portabella, M. Wind Field Retrieval from Satellite Radar Systems. Ph.D. Thesis, University of Barcelona, Barcelona, Spain, 2002. [Google Scholar]
- Yueh, S.H.; Stiles, B.W.; Tsai, W.Y. QuikSCAT geophysical model function and imaging of tropical cyclone winds. In Proceedings of the IEEE 2000 International Geoscience and Remote Sensing Symposium, Honolulu, HI, USA, 24–28 July 2000. [Google Scholar] [CrossRef]
- Brown, R.A. On satellite scatterometer model functions. J. Geophys. Res. 2000, 105, 29195–29205. [Google Scholar] [CrossRef]
- Stoffelen, A.; Verspeek, J.; Vogelzang, J.; Verhoef, A. The CMOD7 geophysical model function for ASCAT and ERS wind retrievals. IEEE J. Sel. Top. Appl. Earth Obs. Remote Sens. 2017, 10, 2123–2134. [Google Scholar] [CrossRef]
- Lin, W.; Portabella, M.; Stoffelen, A.; Verhoef, A.; Wang, Z. Validation of the NSCAT-5 Geophysical Model Function for Scatsat-1 Wind Scatterometer. In Proceedings of the IEEE International Geoscience and Remote Sensing Symposium, Valencia, Spain, 22–27 July 2018; pp. 3196–3199. [Google Scholar] [CrossRef]
- Du, Y.; Yang, X.; Yang, J.; Li, X. A Numerical Study of SST Effects on Ocean Radar Backscattering. In Proceedings of the 2020 IEEE International Geoscience and Remote Sensing Symposium, Waikoloa, HI, USA, 26 September–2 October 2020. [Google Scholar] [CrossRef]
- Wang, Z.; Stoffelen, A.; Fois, F.; Verhoef, A.; Zhao, C.; Lin, M.; Chen, G. SST Dependence of Ku- and C-Band Backscatter Measurements. IEEE J. Sel. Top. Appl. Earth Obs. Remote Sens. 2017, 10, 2135–2146. [Google Scholar] [CrossRef]
- Bentamy, A.; Grodsky, S.A.; Carton, J.A.; Croizé-Fillon, D.; Chapron, B. Matching ASCAT and QuikSCAT winds. J. Geophys. Res. 2012, 117, C02011. [Google Scholar] [CrossRef]
- Liu, W.T. The Effects of the Variations in Sea Surface Temperature and Atmospheric Stability in the Estimation of Average Wind Speed by SEASAT-SASS. J. Phys. Oceanogr 1984, 14, 392–401. [Google Scholar] [CrossRef]
- Lindzen, R.S.; Nigam, S. On the Role of Sea Surface Temperature Gradients in Forcing Low-Level Winds and Convergence in the Tropics. J. Atmos. Sci. 1987, 44, 2418–2436. [Google Scholar] [CrossRef]
- Mantua, N.J.; Hare, S.R.; Zhang, Y.; Wallace, J.M.; Francis, R. A Pacific Interdecadal Climate Oscillation with Impacts on Salmon Production. Bull. Am. Meteorol. Soc. 1997, 78, 1069–1079. [Google Scholar] [CrossRef]
- Okumura, Y.; Xie, S.P.; Numaguti, A.; Tanimoto, Y. Tropical Atlantic air-sea interaction and its influence on the NAO. Geophys. Res. Lett. 2001, 28, 10. [Google Scholar] [CrossRef]
- Xie, S.P. Satellite Observations of Cool Ocean Atmosphere Interaction. Bull. Am. Meteorol. Soc. 2004, 85, 195–208. [Google Scholar] [CrossRef]
- Small, R.J.; Xie, S.; Wang, Y. Numerical Simulation of Atmospheric Response to Pacific Tropical Instability Waves. J. Clim. 2003, 16, 3723–3741. [Google Scholar] [CrossRef]
- O’Neill, L.W.; Chelton, D.B.; Esbensen, S.K. The Effects of SST-Induced Surface Wind Speed and Direction Gradients on Midlatitude Surface Vorticity and Divergence. J. Clim. 2010, 23, 255–281. [Google Scholar] [CrossRef]
- Wang, Z.; Stoffelen, A.; Zhang, B.; He, Y.; Lin, W.; Li, X. Inconsistencies in scatterometer wind products based on ASCAT and OSCAT-2 collocations. Remote Sens. Environ. 2019, 225, 207–216. [Google Scholar] [CrossRef]
- Nghiem, S.V.; Li, F.K.; Walsh, E.J.; Lou, S.H. Radar backscatter across the Gulf Stream sea surface temperature front. IEEE Trans. Geosci. Remote Sens. 2000, 38, 926–941. [Google Scholar] [CrossRef]
- Wang, Z.; Stoffelen, A.; Zhao, C.; Vogelzang, J.; Verhoef, A.; Verspeek, J.; Lin, M.; Chen, G. An SST-dependent Ku-band geophysical model function for RapidScat. J. Geophys. Res. Ocean. 2017, 122, 3461–3480. [Google Scholar] [CrossRef]
- Xie, X.; Tian, D.; Chen, K.; Wu, Z.; Tan, S. A SST-Dependent Geophysical Model Function for HY-2A Microwave Scatterometer. In Proceedings of the 2019 IEEE International Geoscience and Remote Sensing Symposium, Yokohama, Japan, 28 July–2 August 2019. [Google Scholar] [CrossRef]
- Grodsky, S.A.; Kudryavtsev, V.N.; Bentamy, A.; Carton, J.A.; Chapron, B. Does direct impact of SST on short wind waves matter for scatterometry? Geophys. Res. Lett. 2012, 39, L12602. [Google Scholar] [CrossRef]
- Du, Y.; Yang, X.; Yang, J.; Tan, S.; Li, X. Effects of temperature on sea surface radar backscattering under neutral and nonneutral atmospheric conditions for wind retrieval applications: A numerical study. IEEE Trans. Geosci. Remote Sens. 2021, 59, 2727–2743. [Google Scholar] [CrossRef]
- Xu, X.; Stoffelen, A.D. Support vector machine tropical wind speed retrieval in the presence of rain for Ku-band wind scatterometry. Atmos. Meas. Tech. 2021, 14, 7435–7451. [Google Scholar] [CrossRef]
- Stiles, B.; Dunbar, R. A neural network technique for improving the accuracy of scatterometer winds in rainy conditions. IEEE Trans. Geosci. Remote Sens. 2010, 48, 3114–3122. [Google Scholar] [CrossRef]
- Xie, X.; Wang, J.; Lin, M. A Neural Network-Based Rain Effect Correction Method for HY-2A Scatterometer Backscatter Measurements. Remote Sens. 2020, 12, 1648. [Google Scholar] [CrossRef]
- Gaiser, P.W.; Germain, K.; Twarog, E.M.; Poe, G.A.; Chang, P.S. The WindSat spaceborne polarimetric microwave radiometer: Sensor description and early orbit performance. IEEE Trans. Geosci. Remote Sens. 2004, 42, 2347–2361. [Google Scholar] [CrossRef]
- Manaster, A.; Ricciardulli, L.; Meissner, T. Validation of High Ocean Surface Winds from Satellites Using Oil Platform Anemometers. J. Atmos. Ocean. Technol. 2019, 36, 803–818. [Google Scholar] [CrossRef]
- Hersbach, H.; Bell, B.; Berrisford, P.; Biavati, G.; Horányi, A.; Muñoz Sabater, J.; Nicolas, J.; Peubey, C.; Radu, R.; Rozum, I.; et al. ERA5 Hourly Data on Single Levels from 1940 to Present. Copernicus Climate Change Service (C3S) Climate Data Store (CDS) 2023. Available online: https://cds.climate.copernicus.eu/cdsapp#!/dataset/reanalysis-era5-single-levels?tab=overview (accessed on 28 April 2023).
- Zuo, H.; Balmaseda, M.A.; Tietsche, S.; Mogensen, K.; Mayer, M. The ECMWF operational ensemble reanalysis-analysis system for ocean and sea ice: A description of the system and assessment. Ocean. Sci. 2019, 15, 779–808. [Google Scholar] [CrossRef]
- Fois, F. Enhanced Ocean Scatterometry. Ph.D. Thesis, Delft University of Technology, Delft, The Netherlands, 2015. [Google Scholar]
- Stoffelen, A.D.; Anderson, D. Scatterometer Data Interpretation: Measurement Space and Inversion. J. Atmos. Ocean. Technol. 1997, 14, 1298–1313. [Google Scholar] [CrossRef]
- Cornford, D.; Csató, L.; Evans, D.J.; Opper, M. Bayesian analysis of the scatterometer wind retrieval inverse problem: Some new approaches. J. R. Stat. Soc. Series B Stat. Methodol. 2004, 66, 609–626. [Google Scholar] [CrossRef]
- Stoffelen, A.; Portabella, M. On Bayesian scatterometer wind inversion. IEEE Trans. Geosci. Remote Sens. 2006, 44, 1523–1533. [Google Scholar] [CrossRef]
- Schultz, H. A circular median filter approach for resolving directional ambiguities in wind fields retrieved from spaceborne scatterometer data. J. Geophys. Res. 1990, 95, 5291–5303. [Google Scholar] [CrossRef]
- Askari, F.; Geernaeft, G.L.; Keller, W.C.; Raman, S. Radar imaging of thermal fronts. Int. J. Remote Sens. 1993, 14, 275–294. [Google Scholar] [CrossRef]
- Vidyunmala, V.; Nanjundiah, R.; Srinivasan, J. The effect of variation in sea-surface temperature and its meridional gradient on the equatorial and off-equatorial ITCZ in an Aquaplanet General Circulation model. Meteorol. Atmos. Phys. 2007, 95, 239–253. [Google Scholar] [CrossRef]
- Geernaert, G.L.; Keller, W.C. On the wind power law and atmospheric stability effects in ocean scatterometry. ISPRS J. Photogramm. Remote Sens. 1992, 47, 369–386. [Google Scholar] [CrossRef]












| WindSat Wind Speed | VV-Pol | HH-Pol |
|---|---|---|
| 4 m/s | 0.4240 | 0.6256 |
| 5 m/s | 0.4809 | 0.5543 |
| 6 m/s | 0.5370 | 0.7308 |
| 7 m/s | 0.6253 | 0.8221 |
| 8 m/s | 0.8477 | 0.9191 |
| 9 m/s | 0.8993 | 0.8843 |
| 10 m/s | 0.8383 | 0.8850 |
| 11 m/s | 0.8165 | 0.9564 |
| 12 m/s | 0.8264 | 0.9090 |
| 13 m/s | 0.9332 | 0.9486 |
| 14 m/s | 0.9017 | 0.9302 |
Disclaimer/Publisher’s Note: The statements, opinions and data contained in all publications are solely those of the individual author(s) and contributor(s) and not of MDPI and/or the editor(s). MDPI and/or the editor(s) disclaim responsibility for any injury to people or property resulting from any ideas, methods, instructions or products referred to in the content. |
© 2023 by the authors. Licensee MDPI, Basel, Switzerland. This article is an open access article distributed under the terms and conditions of the Creative Commons Attribution (CC BY) license (https://creativecommons.org/licenses/by/4.0/).
Share and Cite
Wang, J.; Xie, X.; Deng, R.; Li, J.; Tang, Y.; Liang, Y.; Guo, Y. Improved the Impact of SST for HY-2A Scatterometer Measurements by Using Neural Network Model. Sensors 2023, 23, 4825. https://doi.org/10.3390/s23104825
Wang J, Xie X, Deng R, Li J, Tang Y, Liang Y, Guo Y. Improved the Impact of SST for HY-2A Scatterometer Measurements by Using Neural Network Model. Sensors. 2023; 23(10):4825. https://doi.org/10.3390/s23104825
Chicago/Turabian StyleWang, Jing, Xuetong Xie, Ruru Deng, Jiayi Li, Yuming Tang, Yeheng Liang, and Yu Guo. 2023. "Improved the Impact of SST for HY-2A Scatterometer Measurements by Using Neural Network Model" Sensors 23, no. 10: 4825. https://doi.org/10.3390/s23104825
APA StyleWang, J., Xie, X., Deng, R., Li, J., Tang, Y., Liang, Y., & Guo, Y. (2023). Improved the Impact of SST for HY-2A Scatterometer Measurements by Using Neural Network Model. Sensors, 23(10), 4825. https://doi.org/10.3390/s23104825

