Abstract
Piezoelectric ceramics have good electromechanical coupling characteristics and a high sensitivity to load. One typical engineering application of piezoelectric ceramic is its use as a signal source for Weigh-In-Motion (WIM) systems in road traffic monitoring. However, piezoelectric ceramics are also sensitive to temperature, which affects their measurement accuracy. In this study, a new piezoelectric ceramic WIM sensor was developed. The output signals of sensors under different loads and temperatures were obtained. The results were corrected using polynomial regression and a Genetic Algorithm Back Propagation (GA-BP) neural network algorithm, respectively. The results show that the GA-BP neural network algorithm had a better effect on sensor temperature compensation. Before and after GA-BP compensation, the maximum relative error decreased from about 30% to less than 4%. The sensitivity coefficient of the sensor reduced from 1.0192 × 10−2/°C to 1.896 × 10−4/°C. The results show that the GA-BP algorithm greatly reduced the influence of temperature on the piezoelectric ceramic sensor and improved its temperature stability and accuracy, which helped improve the efficiency of clean-energy harvesting and conversion.
1. Introduction
In order to control vehicle overload, monitor and evaluate traffic volume, and ensure the safety and efficiency of vehicle transportation, the highway Weigh-In-Motion (WIM) system was produced [1,2]. The WIM system automatically obtains and detects the vehicle load information by embedding load cells on the driving road without affecting the normal driving of the vehicle, so as to fulfill its purpose of overload control [3,4]. The core component of the vehicle WIM system is the weighing sensor. At present, the products on the market have low measurement speed and low detection accuracy, with an average error of ±5–±30% [5,6,7]. While the American Society for testing and materials’ (ASTM) specification standard (ASTME1318) stipulates that the total weight error of the high-speed weighing system (Class III) is 6%, and the total weight error of the European WIM system is uniformly specified as 5%, China’s current road dynamic weighing standards are generally consistent with ASTM and European standards, and the total weight error of vehicles in the high- and low-speed-control weighing system is 5% [8]. It can be seen that the accuracy of WIM sensors needs to be improved in a large range. In addition, vehicle monitoring of some key expressways, bridges and culverts in China generally introduces foreign products [6], which cannot be widely used in China’s highway network because of their high price. There is a variety of WIM equipment on the market. Piezoelectric ceramic sensors have gradually shown their potential in WIM systems [9] because of their good dynamic characteristics, simpler installation process, small volume, low cost, high reliability and good structural compatibility [10,11,12]. When a piezoelectric ceramic sensor is used as WIM equipment to monitor vehicle overload, ensuring the measurement accuracy of the vehicle WIM system, improving the dynamic measurement range and reducing costs are the main problems it faces [13]. However, piezoelectric ceramic itself has temperature-sensitive characteristics, and the sensor, made of piezoelectric ceramic material, has temperature drift [14,15,16]. This drift will make the performance of the sensor unstable in the environment’s changing temperature, and then affect the detection accuracy [17]. Therefore, research on an effective temperature compensation method is of great significance to improve the detection accuracy of piezoelectric ceramic sensors. Haider et al. [18] studied the impact of a WIM system monitoring error changes on rigid and flexible pavement, and concluded that a positive deviation of 10% will lead to an overestimation of pavement life of about 5%; contrarily, a negative deviation of 10% will lead to an overestimation of pavement life of about 30% to 40%. Prozi and Hong [19] reached similar conclusions in their work, which further confirmed the importance of WIM data accuracy. Burnos and Gajda [20] analyzed, in detail, the thermal characteristics of sensors installed on the road, and also confirmed that temperature is an important factor affecting the accuracy of weighing results.
In order to compensate for the influence of temperature on piezoelectric sensors and improve their detection accuracy and sensitivity, we carried out temperature-compensation experimental research on a self-designed piezoelectric ceramic sensor. The data were processed by establishing a mathematical model of the temperature characteristics of the piezoelectric ceramic sensor, and using a Genetic Algorithm Back Propagation (GA-BP) neural network model. The experimental results show that the GA-BP neural network temperature compensation model can better improve the measurement accuracy and sensitivity of the piezoelectric ceramic sensor.
In practical engineering, temperature drift has become the biggest problem in the practical application of pressure sensors [9]. Research on temperature compensation has always been a hot topic for civil engineers [21,22,23,24]. Software compensation is often used in temperature compensation algorithms [25], and has the advantages of high precision, low cost and good universality. Software compensation methods can be divided into two categories: one is a numerical analysis method, and the other is a machine learning method [26]. For the former, the commonly used temperature compensation algorithms include the least square method, multi terminal broken line approximation method and multiple regression analysis method. For the latter, neural network is the most commonly used temperature method based on artificial intelligence [27]. Neural network has been widely considered and studied in the field of temperature compensation because of its strong generalization ability, good fault tolerance and strong nonlinear mapping ability. In this paper, a polynomial regression algorithm and BP neural network are proposed to realize the temperature compensation of the pressure sensor; however, the BP neural network has some shortcomings, such as a slow learning rate and susceptibility to falling into the local minimum [28,29]. Therefore, a genetic algorithm (GA) can be used to optimize the shortcomings of the BP neural network before the BP network training parameters [30,31,32,33]. Zhang et al. [22] used the improved BP neural network model to correct the temperature of an EME sensor. The results showed that the maximum relative error of internal force measurement was within 0.9% in the range of 10 °C to 60 °C. Wang et al. [23] corrected the temperature of a MEMS sensor in the temperature range of −10 to 80 °C using a neural network optimized by a genetic algorithm. The results showed that the maximum error of this method was 0.017%.
2. Design and Fabrication of Piezoelectric Ceramic Sensor
Based on previous research [34,35,36,37], this paper developed and designed a new piezoelectric ceramic sensor with the advantages of excellent environmental adaptability, high sensitivity and low cost. It can be used as Weigh-In-Motion sensor for road traffic monitoring. The piezoelectric material used in the sensor was lead zirconate titanate (PZT). The model of piezoelectric ceramics was PZT-4 (Hongsheng Acoustic Electronic Equipment Co., Ltd., Baoding, China). The packaging material was glass fiber nylon (PA66+30% GF) (Xingdeli Technology Co., Ltd., Shenzhen, China). The two-component epoxy resin was Kafuter K-9741(Xiaoka e-commerce Co., Ltd., Changzhou, China). The parameters of the material were provided by the supplier and are shown in Table 1, Table 2 and Table 3.
Table 1.
Properties of PZT-4.
Table 2.
Properties of glass-fiber-reinforced nylon (PA66+30%GF).
Table 3.
Epoxy resin material parameters.
As shown in Figure 1, the piezoelectric sensor packaging slot adopted a band-type encapsulation structure. The overall size of the sensor was 150 mm × 45 mm × 28 mm (L × W × H). There was a reserved groove with a diameter φ of 25 mm for the PZT patch position in the middle of the protective structure. The size of the PZT patch was φ 20 mm × 2 mm. A stainless-steel gasket was added between the piezoelectric ceramic and the groove bottom in order to make the piezoelectric ceramic stress evenly. The size of the stainless-steel gasket was φ 25 mm × 2 mm.
Figure 1.
Sensor structure diagram: (a) internal structure; (b) internal layout plan; (c) internal real layout.
Based on the above design, the manufacturing process of the sensor was as follows: Firstly, we placed the stainless-steel gasket in the reserved groove and bonded the piezoelectric ceramic sheet to the stainless-steel gasket with quick-drying glue. Secondly, the signal wires were connected with the positive and negative pole of the piezo sheet and fixed into the groove wall. The remaining wires were drawn from the groove. Thirdly, the flexible electronic silica gel was poured into the gap between the groove wall and the piezoelectric ceramic, which could effectively prevent the piezoelectric material and electrode from being affected by water or steam. Finally, after the flexible electronic gel solidified, the two-component epoxy resin was filled and the air tightness and flatness were met. Using the same production process, two sets of sensors were packaged as SP-1 and SP-2, as shown in Figure 2.
Figure 2.
Prepared sensor samples SP-1 and SP-2.
3. Temperature Characteristics Study of Piezoelectric Ceramics
3.1. Temperature Characteristics of Piezoelectric Ceramics
PZT-4 has the advantage of a high piezoelectric coefficient, and is an ideal force-sensing material. The performance parameters of piezoelectric ceramics are also different at different temperatures, which will result in changes in the piezoelectric sensor output and affect the accuracy of the sensor. This section tested the performance parameters of piezoelectric ceramics at different temperatures. Through the mechanical test, the sensor output signals under different temperature loads were obtained as the data basis for subsequent temperature correction.
First of all, the variation in electrical parameters with temperature were measured. Five PZT-4 piezoelectric ceramic sheets of the same size (φ 20 mm × 1.5 mm) were randomly selected. Temperature-adjustable refrigerators provided sub-zero temperatures with a temperature range of −40–0 °C, and the vacuum drying oven provided above zero temperatures in the range of 0–250 °C. In this test, the temperature was controlled at −25–80 °C, at an interval of 15 °C. The temperature was kept for 1h after the equipment reached the set temperature. Then, the specimens were taken out and measured in 1 min. The average values of the measured data of five samples were taken. Then, the data were used to analyze the changes in the piezoelectric coefficient and the capacitance of the piezoelectric ceramics with the change in temperature. The piezoelectric constant d33 was measured using a quasi-static piezoelectric coefficient measuring instrument ZJ-6A, and the capacitance was measured using a UT603 capacitance inductance meter. The test equipment is shown in Figure 3, and the measurement results are shown Figure 4.
Figure 3.
Schematic diagram of the performance measurement of piezoelectric materials: (a) Refrigerator; (b) Vacuum-drying oven; (c) PZT-4 Patchs; (d) ZJ-6A d33/d31 measuring instrument; (e) UT603 capacitance inductance meter.
Figure 4.
Effects of temperature on the key parameters of Piezoelectric ceramic PZT-4: (a) the piezoelectric coefficient d33; (b) the capacity Cp.
From Figure 4, it can be seen that the environmental temperature has a great influence on the electrical properties of PZT. In the temperature range of −25 °C to 80 °C, the piezoelectric coefficient and the capacity of the PZT-4 increased with the temperature, but the relationship between them is obviously not linear.
3.2. Test Design of Temperature Compensation
There is a linear relationship between the ideal pressure sensor output charge and the measured pressure when the temperature is constant. However, in practical application, there is a nonlinear relationship between the pressure sensor output u and the input force F. Therefore, within the working temperature range of the pressure sensor, different temperatures can be selected to calibrate the compensated pressure sensor. In order to better test the influence of experimental temperature on the PZT sensor, the experimental control temperature was −25 °C to 80 °C, which covers most road conditions. The test temperature was successively set to −25 °C, −10 °C, 5 °C, 20 °C, 35 °C, 50 °C, 65 °C and 80 °C. According to the standard axle load and the load range of the machine specified in the code for the design of the highway asphalt pavement (JTG D50-2017), the loading force range was 5–25 kN. The load increment interval was 2 kN. At each temperature level, the temperature lasted for one hour to ensure a uniform temperature inside the sensor, and then the data were recorded. The test loading equipment adopted the electro-hydraulic servo fatigue testing machine from the Walter+Bai test equipment company in Switzerland, with a load range of ±100 kN and a temperature-control-box range of −150 °C to 350 °C. The loading test scheme is shown in Figure 5a. The loading device and the data acquisition equipment are shown in Figure 5 b and c. The load was sinusoidal, with amplitudes ranging from 5 to 25 kN, corresponding to an vehicle axle load range of 20–125 kN. The loading frequency was 5 Hz, which corresponded to a vehicle speed of 20–30 km/h. The output signal of the sensors was charge, which was converted into a voltage signal through a charge amplifier and amplified to an appropriate multiple. Finally, the data were collected by oscilloscope.
Figure 5.
Sensor load test: (a) test schematic; (b) loading and temperature control device; (c) data acquisition equipment.
The digital oscilloscope type was a DPO2024 from Tektronix and the charge amplifier adopted an LZ1105-16. The main parameters are shown in Table 4.
Table 4.
Main parameters of charge amplifier.
The charge amplifier used in this research can select seven gain factors which can be set by the four bits, as shown in Figure 6. In this paper, the gain factor was 1 as the sensitivity was 100 Pc/mV.
Figure 6.
Gain adjustment of charge amplifier.
3.3. Data Acquisition
This experiment collected the voltage signal of the piezoelectric sensor converted by the charge amplifier. A total of 88 groups of data were collected. The original output data of the piezoelectric sensor are shown in Table 5 and Table 6. Load F is the original input pressure, and U is the output voltage of piezoelectric ceramic sensor at different temperatures. The diagram in Figure 7 is the curve of two piezoelectric sensors before compensation. Based on the output results of a 20 °C room temperature, the relative measurement error δ percentage of the sensors at different temperatures was calculated, according to Equation (1), as shown in Figure 8, which shows that the measurement accuracy of the sensor is greatly affected by temperature. Without any compensation, the maximum error of SP-1 was more than 35% in the temperature range of −25–80 °C, and the maximum error of SP-2 was as high as 50%. According to Equation (1):
where:
Table 5.
SP-1 raw output data.
Table 6.
SP-2 raw output data.
Figure 7.
Sensor output temperature characteristics. (a) SP-1; (b) SP-2.
Figure 8.
Relative error percentage of measurement at different temperatures: (a) SP-1; (b) SP-2.
- is the is the absolute error;
- is the true value.
4. Temperature Compensation Data Processing
4.1. Mathematical Model of Temperature Characteristics of PZT Sensor
Based on the existing experimental research, this paper established the mathematical model of temperature characteristics of a piezoelectric sensor. When the sensor size and material parameters were determined and the environment temperature was constant, the output signal had a linear relationship with the force, which can be simplified by the following equations:
where:
- is the sensitivity coefficient of the sensors, in V/N;
- is the force applied on the sensor, in N.
was determined by the electrical parameters of the piezoelectric materials and load ratio of the piezoelectric ceramic sheets, which were affected by temperature and difficult to calculate using a mechanical formula. If considering the temperature effect, the output voltage of the PZT sensor was not linear with the force.
It was assumed that the sensor sensitivity changed linearly with temperature from −25 °C to 85 °C.
where:
- is the PZT sensor sensitivity temperature coefficient;
- is the temperature;
- is the sensitivity of PZT sensor at 0 °C.
Therefore, the temperature characteristic mathematical model of piezoelectric sensor is:
4.2. BP Neural Network of Temperature Compensation
The temperature compensation principle using a BP neural network is shown as follows: the voltage collected after temperature control of piezoelectric ceramic sensor was taken as the output value. At this time, the voltage was affected by temperature, and the voltage and temperature were taken as the input of the BP neural network. After the training of the BP neural network, the corrected pressure value was obtained. At this time, the three-layer BP neural network [29,38] was used as the training model, including the input layer, hidden layer and output layer, as shown in Figure 9.
Figure 9.
Neural network structure algorithm.
The training of GA-BP neural networks in this study mainly included the following steps:
- (1)
- Preparation of the dataset: In this paper, 88 groups of data, obtained from SP-1 in the above experiment, were used for model construction. All of the samples were randomly divided into two sets, of which 77 groups of data were used as the training set and 11 groups of data were used as the verification set. All the data were normalized to unify their values between [–1,1];
- (2)
- Number of implied layers: The number of hidden layer nodes and the number of iterations in the training process had a great impact on the accuracy and efficiency of network training. Empirical formulas were used to calculate the hidden layer nodes;
- is the input of the layer number;
- is the number of the output layer;
- is generally taken as an integer between 1 and 10.
- (3)
- Determination of the training parameters: The essence of the training process is to iteratively reduce the error between the predicted value and the target (actual) value. The learning rate may affect the training accuracy and training speed of the network. With the decrease in learning rate, the training accuracy is improved at the cost of increasing training time. However, too high a learning rate will lead to network instability and lead to failure to converge. The learning rate is usually set between 0.001 and 1. This time, the learning rate was set to 0.01. The target training error was set to 0.00001 and the number of iterations was set to 1000;
- (4)
- Genetic algorithm solution: A population size of 30 was established by a genetic algorithm; the number of iterations was 50, the mutation probability was 0.2 and the crossover probability was 0.8.
5. Temperature Compensation Data Processing
5.1. Compensation Results of the Polynomial Regression Algorithm
The simplified equation of the temperature characteristics of the piezoelectric ceramic sensor established in this paper is shown in Equation (3), and the actual fitting process is carried out in Equation (6).
In this paper, the experimental results of the sensor output temperature characteristics were fitted by MATLAB. The X-axis is the temperature variable, the Y-axis is the pressure variable, and the Z-axis is the corresponding output of the sensor. The fitting results are shown in Figure 10. The black spot is the measured value of the sensor test, and the surface is the fitting result. The fitting results of the two groups of sensors are shown in Table 7.
Figure 10.
Temperature-fitting surface: (a) SP-1 fitting surface; (b) SP-2 fitting surface.
Table 7.
Polynomial regression algorithm fitting the results.
5.2. GA-BP Neural Network Compensation Results
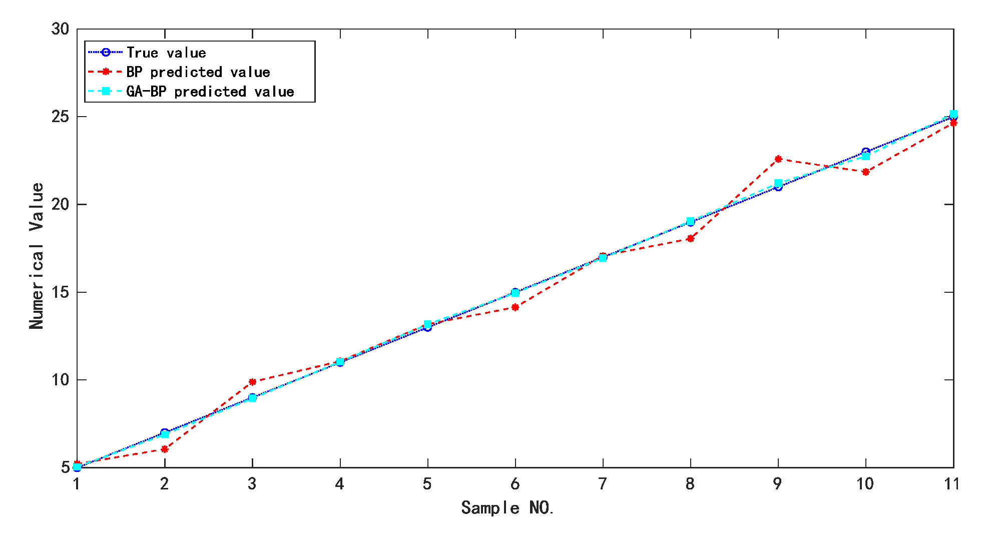
The neural network structure after GA-BP training is shown in Figure 11. There were 11 samples in the training set. The data outputs of BP and GA-BP neural network for training samples are shown in Table 8. The error and predicted results of BP and GA-BP neural network are shown in Figure 12 and Figure 13. The mean square error (MSE) of BP neural network is 0.66604 and the root mean square error (RMSE) is 0.81611; the MSE of the optimized neural network is 0.017518; and the RMSE is 0.13236. It can be seen that the prediction accuracy of the GA-BP neural network is much higher than BP neural network on training set.
Figure 11.
Structural diagram of the neural network.
Table 8.
Output Data of SP-1 before and after neural network optimization.
Figure 12.
Comparison of predicted value and real value for the training samples.
Figure 13.
Comparison of relative errors of prediction results for the training samples.
In order to calculate the accuracy and sensitivity measurement of the compensated piezoelectric ceramic sensor, all the data were taken into the trained model. Figure 14 shows that the genetic algorithm reached the optimal individual fitness at the 10th time with a value of 0.02811. Figure 15 shows the comparison of between the predicted value and the real value. Figure 16 shows the relative error of the two neural networks of all the samples. GA-BP neural network is much better than the BP neural network on the whole.
Figure 14.
Curve of optimum fitness.
Figure 15.
Comparison of predicted values and real values for all samples.
Figure 16.
Comparison of relative errors of prediction results for all samples.
5.3. Comparison of Compensation Results and Error Analysis
The SP-2 data were compensated by the same algorithm, and the results of the two compensation algorithms are shown in Table 9. The evaluation index of the algorithm adopted the determination coefficient R2 and RMSE. R2 is an important statistic reflecting the goodness of fit of the model. It is the ratio of the sum of regression squares to the sum of total squares. Its value reflects the relative degree of regression contribution. R2 is the most commonly used index to evaluate the goodness of fit of the regression model. The greater R2 (close to 1), the better the fitted regression equation. RMSE is a measure of the deviation between the observed value and the real value. It is often used as a standard to measure the prediction results of machine learning models. To a certain extent, it can determine whether the predicted value has achieved the expected effect. The higher the RMSE value, the stronger the model’s ability to interpret information for data samples, and closer it is to the real situation. It can be seen from the table that the compensation effect of the GA-BP neural network is much better than that of polynomial linear fitting from the analysis of R2 and RMSE. It can be seen that the strong nonlinear mapping ability of the neural network can be widely used in the field of temperature compensation.
Table 9.
Comparison of the results of the compensation algorithm.
The calculated load F’ of the two groups of sensors compensated by the GA-BP neural network is shown in Table 10 and Table 11. The compensated data are shown in Figure 17. It can be seen that the measurement results at different temperatures after compensation are basically unchanged. The relative error of the compensated data was calculated, as shown in Figure 18. The maximum measurement relative error of SP-1 decreased from 35.17% to 5.18%, and the maximum measurement relative error of SP-2 decreased from 50.00% to 5.71%.
Table 10.
SP-1 GA-BP neural network output after training.
Table 11.
SP-2 GA-BP neural network output after training.
Figure 17.
Temperature characteristics after compensation: (a) SP-1 output after compensation; (b) SP-2 output after compensation.
Figure 18.
Error percentage at different temperatures after compensation: (a) SP-1; (b) SP-2.
In order to measure the performance index of the sensor after compensation, the relative errors of measurement accuracy, temperature sensitivity coefficient, and full scale were calculated, respectively. The relative errors of measurement accuracy before and after compensation are shown in Figure 8 and Figure 18, respectively.
The relative error percentage before and after compensation was averaged to obtain the relative error percentage of the sensors at different temperatures. The maximum average relative error of the two groups of sensors was reduced to within 2% after correction. As shown in Figure 19, the relative error of the piezoelectric ceramic sensor decreases after GA-BP compensation, and the average relative error of the sensor basically remains unchanged with the increase in temperature.
Figure 19.
Average relative error before and after compensation.
Then, the temperature sensitivity coefficient and the relative error were calculated. The sensitivity coefficient αs is shown in Equation (7), and the relative error ο at full scale is shown in Equation (8):
where:
- is the maximum values of different temperatures under the same calibration pressure;
- is the minimum value.
Among them, e the maximum value, T2 represents the upper value, T1 represent the lower value.
Using the above equations, the sensitivity coefficient before and after compensation and the relative error at full scale were calculated, respectively. The calculation results are shown in Table 12.
Table 12.
The sensitivity coefficient and the relative error calculation results at the full range.
6. Conclusions
When the PZT sensor is used as a dynamic-weighing monitoring device, the improvement in detection accuracy and sensitivity is greatly limited due to the influence of temperature on the polarization intensity of the piezoelectric materials. In this paper, a PZT sensor suitable for a road traffic environment was designed, its temperature characteristics were studied, and the influence of the law of temperature on the performance of the sensor was analyzed according to the experimental results. After analyzing the results of the two compensation algorithms, the following conclusions can be drawn:
- (1)
- In this study, a piezoelectric sensor for a road Weigh-In-Motion (WIM) system was designed with piezoelectric ceramic as the core material. The sensor had the advantages of small volume, high reliability and easy construction;
- (2)
- In this paper, polynomial fitting and a GA-BP neural network were used to compensate for the output results. Compared with R2 and RMSE, the compensation effect of the GA-BP neural network was far better than that of polynomial linear fitting compensation, and the temperature compensation effect was obvious; this shows that the GA-BP temperature compensation model can better weaken the influence of temperature on sensor output;
- (3)
- In order to measure the performance index of the sensor after compensation, the temperature sensitivity drift of SP-1 was reduced from 1.0192 × 10−2 °C−1 to 1.896 × 10−4 °C−1, and the relative error at full scale was reduced from 30.5% to 1.42%, which was greatly improved. SP-2 also achieved the same effect. The measurement accuracy and sensitivity of piezoelectric ceramic sensor were improved.
At present, research on the temperature characteristics of piezoelectric sensors and temperature compensation methods for piezoelectric sensors are still in their initial stages. Compared with the commonly used temperature compensation methods, this paper used a genetic algorithm to optimize a BP neural network, in order to improve the accuracy and sensitivity of temperature compensation. When the new piezoelectric ceramic sensor with temperature compensation is used as the dynamic weighing device, its detection accuracy can be effectively improved.
Author Contributions
Conceptualization, H.Y.; data curation, Y.Y., Y.M.; formal analysis, H.Y., Y.Y.; funding acquisition, Y.L., P.L. and L.W.; project administration, H.Y.; resources, Y.M.; supervision, L.W.; writing—original draft, Y.Y. and P.L.; writing—review and editing, H.Y. and Y.H. All authors have read and agreed to the published version of the manuscript.
Funding
This work was supported by The National Key R&D Program of China (No. 2019YFE0117600); the Fundamental Research Funds for the Central Universities, China (No. FRF-TP-18-048A1); and the Deutsche Forschungsgemeinschaft (DFG, German Research Foundation)— SFB/TRR 339, Project-ID 453596084.
Institutional Review Board Statement
Not applicable.
Informed Consent Statement
Not applicable.
Data Availability Statement
Acknowledgments
The authors would like to thank all those who offered their help in the experiments and in the creation of the paper, especially Guanyi Zhao and Peng Liu.
Conflicts of Interest
The authors declare no conflict of interest.
References
- Vaziri, S.H.; Haas, C.T.; Rothenburg, L.; Haas, R.C. Investigation of the Effect of Weight Factor on Performance of Piezoelectric Weigh-in-Motion Sensors. J. Transp. Eng. 2013, 139, 913–922. [Google Scholar] [CrossRef]
- Sujon, M.; Dai, F. Application of weigh-in-motion technologies for pavement and bridge response monitoring: State-of-the-art review. Autom. Constr. 2021, 130, 103844. [Google Scholar] [CrossRef]
- Xu, W.; Feng, X.Y.; Xing, H.Y. Modeling and Analysis of Adaptive Temperature Compensation for Humidity Sensors. Electronics 2019, 8, 425. [Google Scholar] [CrossRef] [Green Version]
- Otto, G.G.; Simonin, J.M.; Piau, J.M.; Cottineau, L.M.; Chupin, O.; Momm, L.; Valente, A.M. Weigh-in-motion (WIM) sensor response model using pavement stress and deflection. Constr. Build. Mater. 2017, 156, 83–90. [Google Scholar] [CrossRef] [Green Version]
- Liu, X.F.; Feng, Z.M.; Chen, Y.H.; Li, H.W. Multiple optimized support vector regression for multi-sensor data fusion of weigh-in-motion system. Proc. Inst. Mech. Eng. Part D J. Automob. Eng. 2020, 234, 2807–2821. [Google Scholar] [CrossRef]
- Cao, Y.; Sha, A.; Liu, Z.; Li, J.; Jiang, W. Energy output of piezoelectric transducers and pavements under simulated traffic load. J. Clean. Prod. 2021, 279, 123508. [Google Scholar] [CrossRef]
- Znidaric, A.; Kalin, J.; Kreslin, M. Improved accuracy and robustness of bridge weigh-in-motion systems. Struct. Infrastruct. Eng. 2018, 14, 412–424. [Google Scholar] [CrossRef]
- Wang, L.; Yin, Y.; Zhou, W.; Wang, X.C. Study on Dynamic Weighing System of High Precision Array Piezoelectric Quartz. China J. Highw. Transp. 2016, 29, 137–143. [Google Scholar]
- Burnos, P.; Gajda, J.; Sroka, R.; Wasilewska, M.; Dolega, C. High Accuracy Weigh-In-Motion Systems for Direct Enforcement. Sensors 2021, 21, 8046. [Google Scholar] [CrossRef]
- Burnos, P.; Gajda, J. Optimised Autocalibration Algorithm of Weigh-In-Motion Systems for Direct Mass Enforcement. Sensors 2020, 20, 3049. [Google Scholar] [CrossRef] [PubMed]
- Zhang, Z.H.; Kan, J.W.; Yu, X.C.; Wang, S.Y.; Ma, J.J.; Cao, Z.X. Sensitivity enhancement of piezoelectric force sensors by using multiple piezoelectric effects. Aip Adv. 2016, 6, 075320. [Google Scholar] [CrossRef] [Green Version]
- Jiao, P.C.; Egbe, K.J.I.; Xie, Y.W.; Nazar, A.M.; Alavi, A.H. Piezoelectric Sensing Techniques in Structural Health Monitoring: A State-of-the-Art Review. Sensors 2020, 20, 3730. [Google Scholar] [CrossRef] [PubMed]
- Xiong, H.C.; Zhang, Y.N. Feasibility Study for Using Piezoelectric-Based Weigh-In-Motion (WIM) System on Public Roadway. Appl. Sci. 2019, 9, 3098. [Google Scholar] [CrossRef] [Green Version]
- Hou, Y.; Li, Q.H.; Zhang, C.; Lu, G.Y.; Ye, Z.J.; Chen, Y.H.; Wang, L.B.; Cao, D.D. The State-of-the-Art Review on Applications of Intrusive Sensing, Image Processing Techniques, and Machine Learning Methods in Pavement Monitoring and Analysis. Engineering 2021, 7, 845–856. [Google Scholar] [CrossRef]
- Zhao, Y.; Wang, L.; Liao, Q.; Xie, S.; Kang, B.; Cao, H. Temperature characteristics testing and modifying of piezoelectric composites. Microelectron. Eng. 2021, 242, 111533. [Google Scholar] [CrossRef]
- Surbhi, S.; Sukesha, J.J. Response of piezoelectric materials to the external temperature, electric field and humidity. Mater. Today: Proc. 2020, 28, 1951–1954. [Google Scholar] [CrossRef]
- Ovechkina, E.; Dianov, S.; Glushkova, V. Improving the Measurement Accuracy of a Piezoelectric Pressure Sensor. In Proceedings of the 2019 Ural Symposium on Biomedical Engineering, Radioelectronics and Information Technology (USBEREIT), Yekaterinburg, Russia, 25–26 April 2019; pp. 455–457. [Google Scholar]
- Haider, S.W.; Harichandran, R.S.; Dwaikat, M.B. Impact of Systematic Axle Load Measurement Error on Pavement Design Using Mechanistic-Empirical Pavement Design Guide. J. Transp. Eng. Asce 2012, 138, 381–386. [Google Scholar] [CrossRef]
- Prozzi, J.A.; Hong, F. Effect of weigh-in-motion system measurement errors on load-pavement impact estimation. J. Transp. Eng. 2007, 133, 1–10. [Google Scholar] [CrossRef]
- Burnos, P.; Gajda, J. Thermal Property Analysis of Axle Load Sensors for Weighing Vehicles in Weigh-in-Motion System. Sensors 2016, 16, 2143. [Google Scholar] [CrossRef]
- Mo, S.; Wei, R.; Zeng, Z.; He, M. A multiple-sensitivity Hall sensor featuring a low-cost temperature compensation circuit. Microelectron. J. 2021, 113, 105067. [Google Scholar] [CrossRef]
- Zhang, R.; Duan, Y.; Zhao, Y.; He, X. Temperature Compensation of Elasto-Magneto-Electric (EME) Sensors in Cable Force Monitoring Using BP Neural Network. Sensors 2018, 18, 2176. [Google Scholar] [CrossRef] [PubMed] [Green Version]
- Wang, S.; Zhu, W.; Shen, Y.; Ren, J.; Gu, H.; Wei, X. Temperature compensation for MEMS resonant accelerometer based on genetic algorithm optimized backpropagation neural network. Sens. Actuators A Phys. 2020, 316, 112393. [Google Scholar] [CrossRef]
- Liu, Y.S.; Miao, E.M.; Liu, H.; Chen, Y.Y. Robust machine tool thermal error compensation modelling based on temperature-sensitive interval segmentation modelling technology. Int. J. Adv. Manuf. Technol. 2020, 106, 655–669. [Google Scholar] [CrossRef]
- Gianesini, B.M.; Cortez, N.E.; Antunes, R.A.; Vieira, J. Method for removing temperature effect in impedance-based structural health monitoring systems using polynomial regression. Struct. Health Monit. Int. J. 2021, 20, 202–218. [Google Scholar] [CrossRef]
- Pieniazek, J.; Ciecinski, P. Temperature and Nonlinearity Compensation of Pressure Sensor With Common Sensors Response. Ieee Trans. Instrum. Meas. 2020, 69, 1284–1293. [Google Scholar] [CrossRef]
- Ma, C.; Zhao, L.; Mei, X.; Shi, H.; Yang, J. Thermal error compensation of high-speed spindle system based on a modified BP neural network. Int. J. Adv. Manuf. Technol. 2016, 89, 3071–3085. [Google Scholar] [CrossRef]
- Lu, X.H.; Wang, Y.Q.; Li, J.; Zhou, Y.; Ren, Z.J.; Liang, S.Y. Three-dimensional coordinate measurement algorithm by optimizing BP neural network based on GA. Eng. Comput. 2019, 36, 2066–2083. [Google Scholar] [CrossRef]
- Han, Z.; Hong, L.; Meng, J.; Li, Y.; Gao, Q. Temperature drift modeling and compensation of capacitive accelerometer based on AGA-BP neural network. Measurement 2020, 164, 108019. [Google Scholar] [CrossRef]
- Zheng, S.Q.; Liu, X.M.; Zhang, Y.M.; Han, B.C.; Shi, Y.Y.; Xie, J.J. Temperature Drift Compensation for Exponential Hysteresis Characteristics of High-Temperature Eddy Current Displacement Sensors. Ieee Sens. J. 2019, 19, 11041–11049. [Google Scholar] [CrossRef]
- Liu, P.F.; Zhang, W. A Fault Diagnosis Intelligent Algorithm Based on Improved BP Neural Network. Int. J. Pattern Recognit. Artif. Intell. 2019, 33, 1959028. [Google Scholar] [CrossRef]
- Zhang, L.; Wang, F.L.; Sun, T.; Xu, B. A constrained optimization method based on BP neural network. Neural Comput. Appl. 2018, 29, 413–421. [Google Scholar] [CrossRef]
- Li, Y.Y.; Li, J.T.; Huang, J.; Zhou, H. Fitting analysis and research of measured data of SAW micro-pressure sensor based on BP neural network. Measurement 2020, 155, 107533. [Google Scholar] [CrossRef] [PubMed]
- Zhao, Q.; Wang, L.B.; Zhao, K.; Yang, H.L. Development of a Novel Piezoelectric Sensing System for Pavement Dynamic Load Identification. Sensors 2019, 19, 4668. [Google Scholar] [CrossRef] [PubMed] [Green Version]
- Yang, H.L.; Guo, M.; Wang, L.B.; Hou, Y.; Zhao, Q.; Cao, D.W.; Zhou, B.; Wang, D.W. Investigation on the factors influencing the performance of piezoelectric energy harvester. Road Mater. Pavement Des. 2017, 18, 180–189. [Google Scholar] [CrossRef]
- Song, S.L.; Hou, Y.; Guo, M.; Wang, L.B.; Tong, X.L.; Wu, J.F. An investigation on the aggregate-shape embedded piezoelectric sensor for civil infrastructure health monitoring. Constr. Build. Mater. 2017, 131, 57–65. [Google Scholar] [CrossRef]
- Yang, H.L.; Wei, Y.; Zhang, W.D.; Ai, Y.B.; Ye, Z.J.; Wang, L.B. Development of Piezoelectric Energy Harvester System through Optimizing Multiple Structural Parameters. Sensors 2021, 21, 2876. [Google Scholar] [CrossRef] [PubMed]
- Liang, H.B.; Chen, H.F.; Lu, Y.J. Research on sensor error compensation of comprehensive logging unit based on machine learning. J. Intell. Fuzzy Syst. 2019, 37, 3113–3123. [Google Scholar] [CrossRef]
Publisher’s Note: MDPI stays neutral with regard to jurisdictional claims in published maps and institutional affiliations. |
© 2022 by the authors. Licensee MDPI, Basel, Switzerland. This article is an open access article distributed under the terms and conditions of the Creative Commons Attribution (CC BY) license (https://creativecommons.org/licenses/by/4.0/).


















