Diagnosis of Partial Discharge Based on the Air Components for the 10 kV Air-Insulated Switchgear
Abstract
:1. Introduction
2. Experimental Setup
2.1. Setup of Discharge Model
2.2. Measuring of Characteristic Gases Concentrations
3. Experiment Results
3.1. Partial Discharge
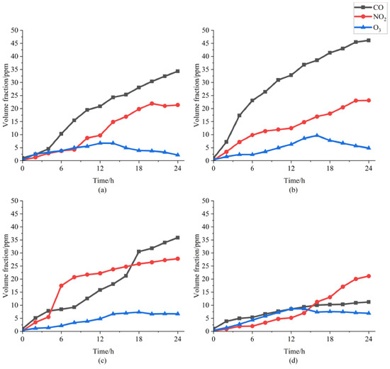
3.2. The Volume Fraction
4. PD Defect Recognition
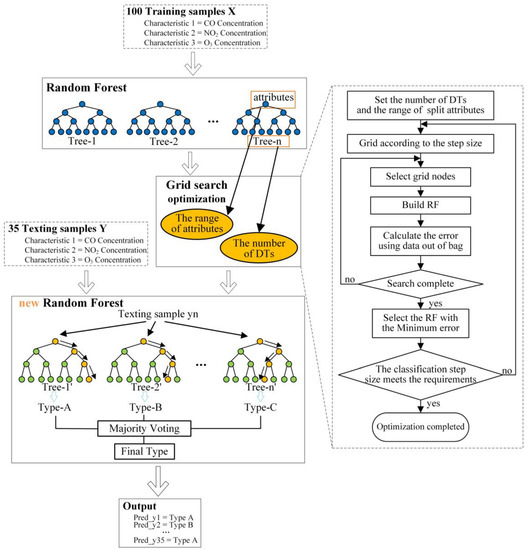
4.1. DT Optimization and RF
4.2. Defect Classification
5. Discussion
6. Conclusions
- (1)
- Selecting CO, NO2, and O3 as the characteristic gases of PD can enable effective identification of the defect types.
- (2)
- The experimental results of the characteristic gases volume fraction were consistent with the previous research results of air decomposition products.
- (3)
- The classification system used the RF algorithm to construct the fault recognition model with the minimum Gini impurity and achieved excellent results in the identification, with an accuracy up to 91.43%.
Author Contributions
Funding
Institutional Review Board Statement
Informed Consent Statement
Data Availability Statement
Conflicts of Interest
References
- Montanari, G.C.; Cavallini, A. Partial discharge diagnostics: From apparatus monitoring to smart grid assessment. IEEE Electr. Insul. Mag. 2013, 29, 8–17. [Google Scholar] [CrossRef]
- Yan, Z.; Zhu, D.H. High Voltage Insulation Technology; China Electric Power Press: Beijing, China, 2015. [Google Scholar]
- Ilkhechi, H.D.; Samimi, M.H. Applications of the Acoustic Method in Partial Discharge Measurement: A Review. IEEE Trans. Dielectr. Electr. Insul. 2021, 28, 42–51. [Google Scholar] [CrossRef]
- Rathod, V.B.; Kumbhar, G.B.; Bhalja, B.R. Partial Discharge Detection and Localization in Power Transformers based on Acoustic Emission: Theory, Methods, and Recent Trends. IETE Tech. Rev. 2021. [Google Scholar] [CrossRef]
- Duan, L.; Hu, J.; Zhao, G.; Chen, K.J.; He, J.L.; Wang, S.X. Identification of Partial Discharge Defects Based on Deep Learning Method. IEEE Trans. Power Deliv. 2019, 34, 1557–1568. [Google Scholar] [CrossRef]
- Tao, S.Y.; Yang, F.Y.; Duan, D.P.; Wang, W.S.; Cheng, X.; Ren, Z.G.; Song, H.; Cui, J. Transient Earth Voltage detection technique for switchgears in distribution network. In Proceedings of the 2016 International Conference on Condition Monitoring and Diagnosis (CMD), Xi’an, China, 25–28 December 2016; pp. 542–545. [Google Scholar]
- Li, J.; Jiang, T.Y.; Wang, C.S.; Cheng, C.K. Optimization of UHF Hilbert Antenna for Partial Discharge Detection of Transformers. IEEE Trans. Antennas Propag. 2012, 60, 2536–2540. [Google Scholar]
- Butt, F.T.; Nazir, M.T.; Hussain, H.; Phung, B.T.; Akram, S.; Bhutta, M.S.; Yasin, G. Physical, thermal and partial discharge evaluation of nano alumina filled silicone rubber in inclined plane test. CSEE J. Power Energy Syst. 2020, 1–8. [Google Scholar] [CrossRef]
- Wang, P.; Ma, S.; Akram, S.; Zhou, K.; Chen, Y.; Nazir, M.T. Design of Archimedes spiral antenna to optimize for partial discharge detection of inverter fed motor insulation. IEEE Access 2020, 8, 193202–193213. [Google Scholar] [CrossRef]
- Nobrega, L.A.M.M.; Xavier, V.R.; Aquino, M.V.D.; Serres, A.J.R.; Albuquerque, C.C.R.; Costa, E.G. Design and development of a bio-inspired UHF sensor for partial discharge detection in power transformers. Sensors 2019, 19, 653. [Google Scholar] [CrossRef] [Green Version]
- Zhang, X.X.; Zhou, L.; Qiu, Y.J.; Chen, L.C. Correlation Character between Switch Gear’s Partial Discharge Quantity and Air Decomposition Components Under Needle-plate Defect Model. High Volt. Eng. 2016, 42, 3948–3954. [Google Scholar]
- Zhuo, R.; Wei, G.; Chen, L.C.; Qiu, Y.J.; Zhang, X.X.; Hu, X.X. Study on the Characteristics of Air Decomposition Components Under PD of Air-gap Insulation Defect. High Volt. Appar. 2017, 53, 139–146. [Google Scholar]
- Zhou, L. The Analysis and Research of Switchgear Characteristic Gas Composition. Master’s Thesis, Chongqing University, Chongqing, China, April 2016. [Google Scholar]
- Liu, B.S.; Wang, D.; Ma, A.J.; Gui, Y.; Zhang, Q.S.; Zhang, J.; Gong, L.; Tian, M.; Wang, X.P. Study on the Components of Air under Partial Discharge Condition in Closed Space. Power Syst. Protec. Control 2021, 49, 21–28. [Google Scholar]
- Wang, D.; Ma, A.J.; Gui, Y.; Zhang, C.; Wang, B.; Zhang, Q.S. Partial discharge Insulation Fault Fusion Diagnosis is based on P CNN. High Volt. Eng. 2020, 46, 2897–2905. [Google Scholar]
- Tang, J.; Chen, C.J.; Liu, F.; Zhang, X.X.; Meng, Q.H. Detection of Constituents from SF6 Decomposition Under Partial Discharge and Recognition of Insulation Defect Coding. Power Syst. Technol. 2011, 35, 110–116. [Google Scholar]
- Dai, D.D.; Wang, X.P.; Zhao, Y.; Zhang, Y.; Zhang, J. GIS insulation fault diagnosis based on detection of SF6 decomposition products. In Proceedings of the 2017 9th International Conference on Measuring Technology and Mechatronics Automation (ICMTMA), Changsha, China, 14–15 Janaury 2017; pp. 60–67. [Google Scholar]
- Muñoz-Muñoz, F.; Rodrigo-Mor, A. Partial discharges and noise discrimination using magnetic antennas, the cross wavelet transform and support vector machines. Sensors 2020, 11, 3180. [Google Scholar] [CrossRef] [PubMed]
- Equbal, M.D.; Khan, S.A.; Islam, T. Transformer incipient fault diagnosis on the basis of energy-weighted DGA using an artificial neural network. Turk. J. Electr. Eng. Comput. Sci. 2018, 26, 77–88. [Google Scholar] [CrossRef]
- Zou, A.J.; Deng, R.; Mei, Q.X.; Zou, L. Fault diagnosis of a transformer based on polynomial neural networks. Clust. Comput. 2019, 22, S9941–S9949. [Google Scholar] [CrossRef]
- Raichura, M.B.; Chothani, N.G.; Patel, D.D. Identification of internal fault against external abnormalities in power transformer using hierarchical ensemble extreme learning machine technique. IET Sci. Meas. Technol. 2020, 14, 111–121. [Google Scholar] [CrossRef]
- Zhang, C.L.; He, Y.G.; Jiang, S.H.; Wang, T.; Yuan, L.F.; Li, B. Transformer fault diagnosis method based on self-powered RFID Sensor Tag, DBN, and MKSVM. IEEE Sens. J. 2019, 19, 8202–8214. [Google Scholar] [CrossRef]
- Xu, Y.Y.; Li, Y.; Wang, Y.J.; Zhong, D.X.; Zhang, G.J. Improved few-shot learning method for transformer fault diagnosis based on approximation space and belief functions. Expert Syst. Appl. 2020, 167, 114105. [Google Scholar] [CrossRef]
- Samaitis, V.; Mažeika, L.; Jankauskas, A.; Rekuvienė, R. Detection and localization of partial discharge in connectors of air power lines by means of ultrasonic measurements and artificial intelligence models. Sensors 2021, 21, 20. [Google Scholar] [CrossRef]
- Breiman, L. Random forests. Mach. Learn. 2001, 45, 5–32. [Google Scholar] [CrossRef] [Green Version]
- Ziegler, A.; König, I.R. Mining data with random forests: Current options for real-world applications. Wiley Interdiscip. Rev. Data Min. Knowl. Discov. 2014, 4, 55–63. [Google Scholar] [CrossRef]
- Filev, D.; Jablkowski, J.; Kacprzyk, J.; Krawczak, M.; Popchev, I.; Rutkowski, L.; Sgurev, V.; Sotirova, E.; Szynkarczyk, P.; Zadrozny, S. Short-term load forecasting using random forests. In Proceedings of the 2014 7th IEEE International Conference on Intelligent Systems (IEEE IS), Warsaw, Poland, 24–26 September 2014; Volume 323, pp. 821–828. [Google Scholar]






| Type | Metal Protrusion | Air Gap between the Metal Conductor and the Insulator | Pollution on the Insulator Surface | Charged Metal Particles |
|---|---|---|---|---|
| Applied Voltage (kV) | 8 | 13 | 8.2 | 12.8 |
| Breakdown Voltage (kV) | 11.4 | 18.6 | 11.8 | 12.8 |
| Type | Metal Protrusion | Air Gap between the Metal Conductor and the Insulator | Pollution on the Insulator Surface | Charged Metal Particles |
|---|---|---|---|---|
| Number | 1 | 2 | 3 | 4 |
| Prediction | Type 1 | Type 2 | Type 3 | Type 4 | |
|---|---|---|---|---|---|
| Actuality | |||||
| Type 1 | 8 | 0 | 0 | 0 | |
| Type 2 | 0 | 13 | 1 | 0 | |
| Type 3 | 2 | 0 | 5 | 0 | |
| Type 4 | 0 | 0 | 0 | 6 | |
| Prediction | Type 1 | Type 2 | Type 3 | Type 4 | |
|---|---|---|---|---|---|
| Actuality | |||||
| Type 1 | 7 | 1 | 0 | 0 | |
| Type 2 | 3 | 9 | 0 | 2 | |
| Type 3 | 0 | 0 | 6 | 1 | |
| Type 4 | 0 | 0 | 2 | 4 | |
| Prediction | Type 1 | Type 2 | Type 3 | Type 4 | |
|---|---|---|---|---|---|
| Actuality | |||||
| Type 1 | 7 | 0 | 0 | 1 | |
| Type 2 | 0 | 14 | 0 | 0 | |
| Type 3 | 2 | 0 | 5 | 0 | |
| Type 4 | 1 | 0 | 0 | 5 | |
Publisher’s Note: MDPI stays neutral with regard to jurisdictional claims in published maps and institutional affiliations. |
© 2022 by the authors. Licensee MDPI, Basel, Switzerland. This article is an open access article distributed under the terms and conditions of the Creative Commons Attribution (CC BY) license (https://creativecommons.org/licenses/by/4.0/).
Share and Cite
Tan, Q.; Zhang, T.; Wu, S.; Gao, J.; Song, B. Diagnosis of Partial Discharge Based on the Air Components for the 10 kV Air-Insulated Switchgear. Sensors 2022, 22, 2395. https://doi.org/10.3390/s22062395
Tan Q, Zhang T, Wu S, Gao J, Song B. Diagnosis of Partial Discharge Based on the Air Components for the 10 kV Air-Insulated Switchgear. Sensors. 2022; 22(6):2395. https://doi.org/10.3390/s22062395
Chicago/Turabian StyleTan, Qipeng, Tiandong Zhang, Shaocheng Wu, Jiachen Gao, and Bin Song. 2022. "Diagnosis of Partial Discharge Based on the Air Components for the 10 kV Air-Insulated Switchgear" Sensors 22, no. 6: 2395. https://doi.org/10.3390/s22062395
APA StyleTan, Q., Zhang, T., Wu, S., Gao, J., & Song, B. (2022). Diagnosis of Partial Discharge Based on the Air Components for the 10 kV Air-Insulated Switchgear. Sensors, 22(6), 2395. https://doi.org/10.3390/s22062395

