A Wideband Cryogenic Readout Amplifier with Temperature-Insensitive Gain for SNSPD
Abstract
:1. Introduction
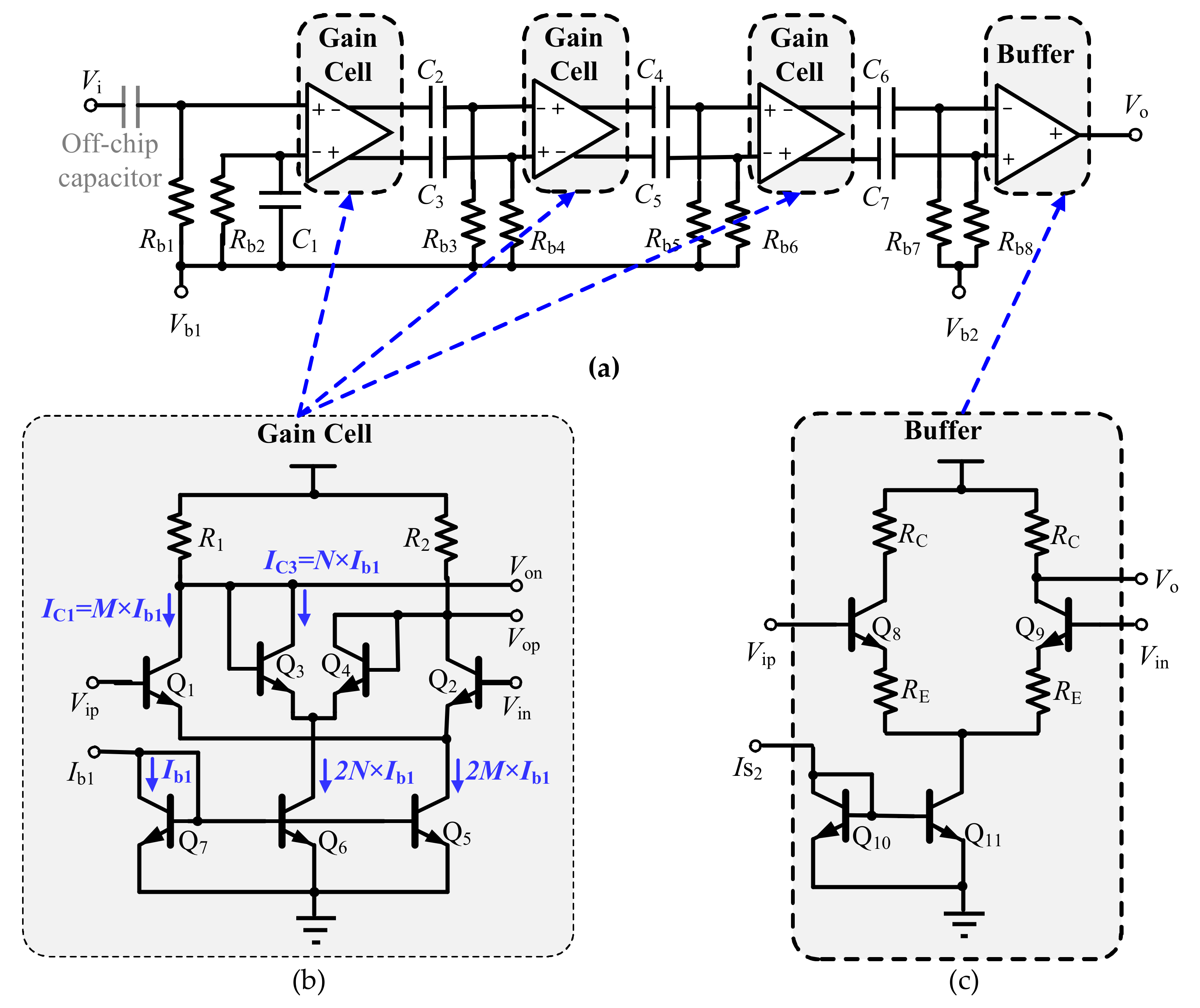
2. The Amplifier Requirements and Topology
3. The Temperature-Insensitive Gain Cell Design
4. Implementation, Simulation and Measurement Results
4.1. Room Temperature Performance
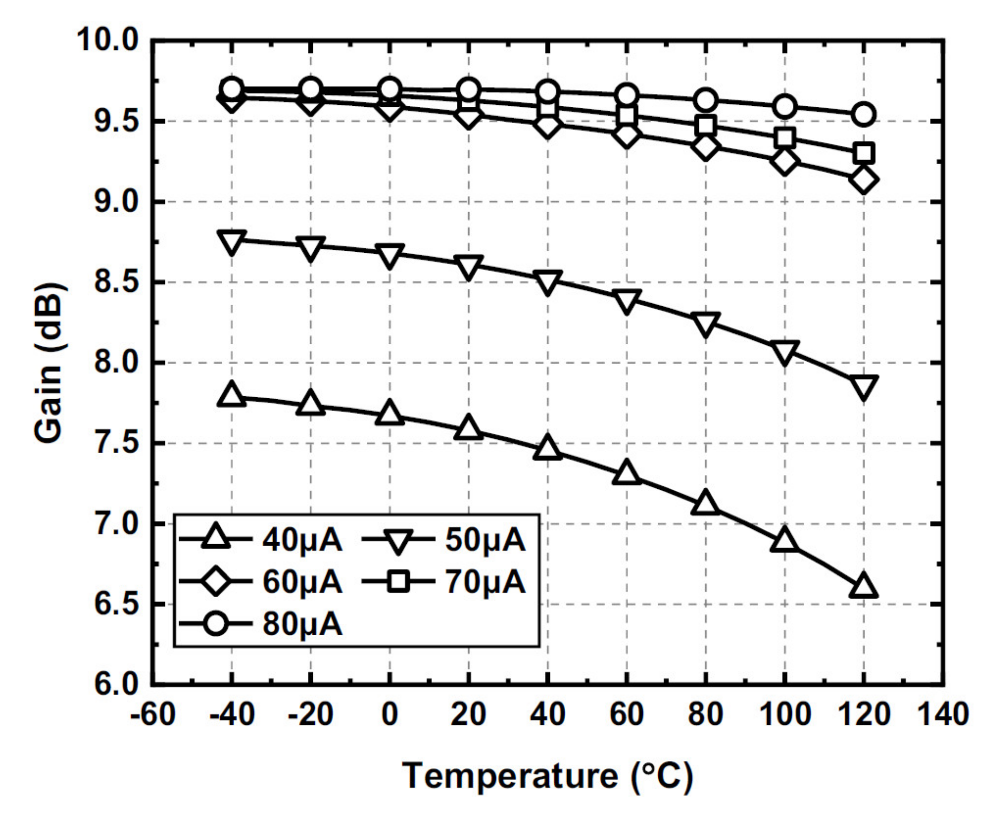
4.2. Cryogenic Performance
5. Conclusions
Author Contributions
Funding
Institutional Review Board Statement
Informed Consent Statement
Data Availability Statement
Acknowledgments
Conflicts of Interest
References
- Jia, T.; Kang, L.; Zhang, L.; Zhao, Q.; Gu, M.; Qiu, J.; Chen, J.; Jin, B. Doped niobium superconducting nanowire single-photon detectors. Appl. Phys. A 2014, 116, 991–995. [Google Scholar] [CrossRef]
- Natarajan, C.M.; Tanner, M.; Hadfield, R. Superconducting nanowire single-photon detectors: Physics and applications. Supercond. Sci. Technol. 2012, 25, 63001. [Google Scholar] [CrossRef]
- Takesue, H.; Nam, S.; Zhang, Q.; Hadfield, R.; Honjo, T.; Tamaki, K.; Yamamoto, Y. Quantum key distribution over a 40-db channel loss using superconducting sin-gle-photon detectors. Nat. Photonics 2007, 1, 343–348. [Google Scholar] [CrossRef] [Green Version]
- Takesue, H.; Dyer, S.D.; Stevens, M.J.; Verma, V.; Mirin, R.P.; Nam, S.W. Quantum tel-eportation over 100 km of fiber using highly efficient superconducting nanowire sin-gle-photon detectors. Optica 2015, 2, 832–835. [Google Scholar] [CrossRef] [Green Version]
- McCarthy, A.; Krichel, N.J.; Gemmell, N.R.; Ren, X.; Tanner, M.; Dorenbos, S.N.; Zwiller, V.; Hadfield, R.; Buller, G. Kilometer-range, high resolution depth imaging via 1560 nm wavelength single-photon detection. Opt. Express 2013, 21, 8904–8915. [Google Scholar] [CrossRef] [Green Version]
- Niwa, K.; Numata, T.; Hattori, K.; Fukuda, D. Few-photon color imaging using ener-gy-dispersive superconducting transition-edge sensor spectrometry. Sci. Rep. 2017, 7, 45660. [Google Scholar] [CrossRef]
- Geissbuehler, S.; Bocchio, N.L.; Dellagiacoma, C.; Berclaz, C.; Leutenegger, M.; Lasser, T. Mapping molecular statistics with balanced super-resolution optical fluctuation imaging (bSOFI). Opt. Nanoscopy 2012, 1, 4. [Google Scholar] [CrossRef] [Green Version]
- Nichols, A.J.; Evans, C.L. Video-rate Scanning Confocal Microscopy and Microendoscopy. J. Vis. Exp. 2011, 56, e3252. [Google Scholar] [CrossRef]
- Crespi, A.; Lobino, M.; Matthews, J.; Politi, A.; Neal, C.R.; Ramponi, R.; Osellame, R.; O’Brien, J. Measuring protein concentration with entangled photons. Appl. Phys. Lett. 2012, 100, 233704. [Google Scholar] [CrossRef] [Green Version]
- Degen, C.; Reinhard, F.; Cappellaro, P. Quantum sensing. Rev. Mod. Phys. 2016, 89, 35002. [Google Scholar] [CrossRef] [Green Version]
- Wuensch, S.; Bruch, D.; Crocoll, E.; Leuther, A.; Kallfass, I.; Siegel, M. Development of Monolithic Microwave Integrated Amplifiers as Readout for Detectors at 4.2 K. IEEE Trans. Appl. Supercond. 2011, 21, 302–305. [Google Scholar] [CrossRef]
- Lotfi, S.; Roshani, S.; Roshani, S.; Shirzadian Gilan, M. A planner Doherty power amplifier with harmonic suppression with open and short ended stubs. Frequenz 2021, 30. [Google Scholar] [CrossRef]
- Hookari, M.; Roshani, S.; Roshani, S. High-efficiency balanced power amplifier using miniaturized harmonics suppressed coupler. Int. J. RF Microw. 2020, 30, e22252. [Google Scholar] [CrossRef]
- Gaggero, A.; Martini, F.; Mattioli, F.; Chiarello, F.; Cernansky, R.; Politi, A.; Leoni, R. Amplitude-multiplexed readout of single photon detectors based on superconducting nanowires. Optica 2019, 6, 823–828. [Google Scholar] [CrossRef]
- Ravindran, P.; Cheng, R.; Tang, H.; Bardin, J.C. Active quenching of superconducting nanowire single photon detectors. Opt. Express 2020, 28, 4099–4114. [Google Scholar] [CrossRef]
- Schleeh, J.; Wadefalk, N.; Nilsson, P.-Å.; Starski, J.P.; Grahn, J. Cryogenic Broadband Ultra-Low-Noise MMIC LNAs for Radio Astronomy Applications. IEEE Trans. Microw. Theory Tech. 2013, 61, 871–877. [Google Scholar] [CrossRef]
- Montazeri, S.; Bardin, J.C. A sub-milliwatt 4–8 GHz SiGe cryogenic low noise amplifier. In Proceedings of the 2017 IEEE MTT-S International Microwave Symposium (IMS), Honololu, HI, USA, 4–9 June 2017; pp. 160–163. [Google Scholar] [CrossRef]
- Cha, E.; Wadefalk, N.; Moschetti, G.; Pourkabirian, A.; Stenarson, J.; Grahn, J. A 300-µW Cryogenic HEMT LNA for Quantum Computing. In Proceedings of the 2020 IEEE MTT-S International Microwave Symposium (IMS2020), Los Angeles, CA, USA, 21–26 June 2020; pp. 1299–1302. [Google Scholar]
- He, L.; Li, L.; Niu, X.; Haiyang, X.; Xie, M.; Wu, X.; Zhang, L.; Kang, L.; Wang, Z. A Low-Power, Inductorless Wideband Cryogenic Amplifier For Supercondcting Nanowire Single Photon Detector. IEEE Trans. Appl. Supercond. 2019, 29, 1–6. [Google Scholar]
- Berggren, K.; Zhao, Q.; Abebe, N.; Chen, M.; Ravindran, P.; McCaughan, N.; Bardin, J. A Superconducting Nanowire can be Modeled by Using SPICE. Supercond. Sci. Technol. 2018, 31, 55010. [Google Scholar] [CrossRef]
- Bardin, J.C.; Ravindran, P.; Chang, S.-W.; Kumar, R.; Stern, J.A.; Shaw, M.D.; Russell, D.S.; Farr, W.H. A high-speed cryogenic SiGe channel combiner IC for large photon-starved SNSPD arrays. In Proceedings of the 2013 IEEE Bipolar/BiCMOS Circuits and Technology Meeting (BCTM), Bordeaux, France, 30 September–3 October 2013. [Google Scholar]
- Bardin, J.C.; Ravindran, P.; Chang, S.-W.; Mohamed, C.; Kumar, R.; Stern, J.A.; Shaw, M.D.; Russell, D.; Marsili, F.; Resta, G.; et al. Cryogenic SiGe integrated circuits for superconducting nanowire single photon detector readout. In Proceedings of the SPIE Sensing Technology + Applications, Baltimore, MD, USA, 5–9 May 2014; p. 911404. [Google Scholar]
- Ramkaj, A.T.; Steyaert, M.S.J.; Tavernier, F. A 13.5-Gb/s 5-mV-Sensitivity 26.8-ps-CLK–OUT Delay Triple-Latch Feedforward Dynamic Comparator in 28-nm CMOS. IEEE Solid-State Circuits Lett. 2019, 2, 167–170. [Google Scholar] [CrossRef]
- Bardin, J.; Weinreb, S. A 0.1-5 GHz cryogenic SiGe MMIC LNA. IEEE Microw. Wirel. Compon. Lett. 2009, 19, 407–409. [Google Scholar] [CrossRef]
- Chang, S.-W.; Bardin, J. A Wideband cryogenic SiGe LNA MMIC with an average noise temperature of 2.8 K from 0.3-3 GHz. In Proceedings of the 2017 IEEE MTT-S International Microwave Symposium (IMS2017), Honolulu, HI, USA, 4–9 June 2017; pp. 157–159. [Google Scholar]
- Weinreb, S.; Bardin, J.; Mani, H. Design of Cryogenic SiGe Low-Noise Amplifiers. IEEE Trans. Microw. Theory Tech. 2007, 55, 2306–2312. [Google Scholar] [CrossRef] [Green Version]
- Russell, D.; Weinreb, S. Low-Power Very Low-Noise Cryogenic SiGe IF Amplifiers for Terahertz Mixer Receivers. IEEE Trans. Microw. Theory Tech. 2012, 60, 1641–1648. [Google Scholar] [CrossRef]
- Bardin, J.C.; Weinreb, S. Experimental cryogenic modeling and noise of SiGe HBTs. Proceedings of 2008 IEEE MTT-S International Microwave Symposium (IMS2008), San Francisco, CA, USA, 15–20 June 2008; pp. 459–462. [Google Scholar]
- Shiao, Y.S.J.; Huang, G.W.; Chiueh, T.H. A 4 GHz cryogenic amplifier in 0.18 μm general purpose BiCMOS technology. Proceedings of 2014 Asia-Pacific Microwave Conference (APMC 2014), Sendai, Japan, 4–7 November 2014; pp. 1181–1183. [Google Scholar]
- Fernandez, J. A noise-temperature measurement system using a cryogenic attenuator. TMO Prog. Rep. 1998, 15, 42–135. [Google Scholar]
- Cahall, C.T.; Gauthier, D.J.; Kim, J. Cryogenic Amplifiers for a Superconducting Nanowire Single Photon Detector System. In Proceedings of the Conference on Lasers and Electro-Optics (CLEO), San Jose, CA, USA, 5–10 June 2016; pp. 5–10. [Google Scholar]
















| References | [19] | [26] | [27] | [30] | [31] | This Work |
|---|---|---|---|---|---|---|
| Technology | SiGe | SiGe | SiGe | SiGe | GaAs | SiGe |
| Gain (dB) | 23 | 29.6 | 22 | 10 | 15 | 26 |
| Bandwidth (GHz) | 3.4 | 4.9 | 2.7 | 3.4 | 1.5 | 1 |
| Power Dissipation (mW) | 4.3 | 20 | 32 | 13.5 | 2.5 | 1.8 |
| Area (mm2) | 0.5 | 0.3 | 0.6 | 0.3 | N/A | 0.5 |
| FOM | 22 | 25 | 1.8 | 2.6 | N/A | 22 |
| fT (GHz) | 210 | 210 | 200 | 120 | N/A | 210 |
| FOM2 | 0.105 | 0.119 | 0.009 | 0.022 | N/A | 0.105 |
Publisher’s Note: MDPI stays neutral with regard to jurisdictional claims in published maps and institutional affiliations. |
© 2022 by the authors. Licensee MDPI, Basel, Switzerland. This article is an open access article distributed under the terms and conditions of the Creative Commons Attribution (CC BY) license (https://creativecommons.org/licenses/by/4.0/).
Share and Cite
Niu, X.; Li, L.; Wu, X.; Wang, D. A Wideband Cryogenic Readout Amplifier with Temperature-Insensitive Gain for SNSPD. Sensors 2022, 22, 1225. https://doi.org/10.3390/s22031225
Niu X, Li L, Wu X, Wang D. A Wideband Cryogenic Readout Amplifier with Temperature-Insensitive Gain for SNSPD. Sensors. 2022; 22(3):1225. https://doi.org/10.3390/s22031225
Chicago/Turabian StyleNiu, Xiaokang, Lianming Li, Xu Wu, and Dongming Wang. 2022. "A Wideband Cryogenic Readout Amplifier with Temperature-Insensitive Gain for SNSPD" Sensors 22, no. 3: 1225. https://doi.org/10.3390/s22031225
APA StyleNiu, X., Li, L., Wu, X., & Wang, D. (2022). A Wideband Cryogenic Readout Amplifier with Temperature-Insensitive Gain for SNSPD. Sensors, 22(3), 1225. https://doi.org/10.3390/s22031225

