Sign in to use this feature.

Years

Between: -

Subjects

remove_circle_outline
remove_circle_outline
remove_circle_outline
remove_circle_outline
remove_circle_outline
remove_circle_outline
remove_circle_outline
remove_circle_outline
remove_circle_outline

Journals

remove_circle_outline
remove_circle_outline
remove_circle_outline
remove_circle_outline
remove_circle_outline
remove_circle_outline
remove_circle_outline
remove_circle_outline
remove_circle_outline
remove_circle_outline
remove_circle_outline
remove_circle_outline
remove_circle_outline
remove_circle_outline
remove_circle_outline

Article Types

Countries / Regions

remove_circle_outline
remove_circle_outline
remove_circle_outline
remove_circle_outline

Search Results (1,934)

Search Parameters:
Keywords = readout

Order results
Result details
Results per page
Select all
Export citation of selected articles as:
23 pages, 1682 KB  
Article
Experimental Mis-Splicing Assessment and ACMG/AMP-Guided Classification of 47 ATM Splice-Site Variants
by Inés Llinares-Burguet, Lara Sanoguera-Miralles, Elena Bueno-Martínez, Ada Esteban-Sanchez, Daniel Romano-Medina, Lobna Ramadane-Morchadi, Alicia García-Álvarez, Pedro Pérez-Segura, Doug F. Easton, Peter Devilee, Maaike P. G. Vreeswijk, Miguel de la Hoya and Eladio A. Velasco-Sampedro
Int. J. Mol. Sci. 2026, 27(2), 765; https://doi.org/10.3390/ijms27020765 - 12 Jan 2026
Abstract
Pathogenic germline variants in the ATM gene are associated with a 20–30% lifetime risk of breast cancer. Crucially, a relevant fraction of loss-of-function variants in breast cancer susceptibility genes disrupts pre-mRNA splicing. We aimed to perform splicing analysis of ATM splice-site variants identified [...] Read more.
Pathogenic germline variants in the ATM gene are associated with a 20–30% lifetime risk of breast cancer. Crucially, a relevant fraction of loss-of-function variants in breast cancer susceptibility genes disrupts pre-mRNA splicing. We aimed to perform splicing analysis of ATM splice-site variants identified in the large-scale sequencing project BRIDGES (Breast Cancer After Diagnostic Gene Sequencing). To this end, we bioinformatically selected 47 splice-site variants across 17 exons that were genetically engineered into three minigenes and assayed in MCF-7 cells. Aberrant splicing was observed in 38 variants. Of these, 30 variants, including 7 missense, yielded no or negligible expression of the minigene full-length (mgFL) transcript. A total of 69 different transcripts were characterized, 48 of which harboured a premature termination codon. Some variants, such as c.2922-1G>A, generated complex patterns with up to 10 different transcripts. Alternative 3′ or 5′ splice-site usage was the predominant event. Integration of ATM minigene read-outs into the ACMG/AMP (American College of Medical Genetics and Genomics/Association for Molecular Pathology)-based specifications for the ATM gene enabled the classification of 30 ATM variants as pathogenic or likely pathogenic and 9 as likely benign. Overall, splicing assays provide key information for variant interpretation and the clinical management of patients. Full article
20 pages, 4195 KB  
Article
Electro-Physical Model of Amorphous Silicon Junction Field-Effect Transistors for Energy-Efficient Sensor Interfaces in Lab-on-Chip Platforms
by Nicola Lovecchio, Giulia Petrucci, Fabio Cappelli, Martina Baldini, Vincenzo Ferrara, Augusto Nascetti, Giampiero de Cesare and Domenico Caputo
Chips 2026, 5(1), 1; https://doi.org/10.3390/chips5010001 - 12 Jan 2026
Abstract
This work presents an advanced electro-physical model for hydrogenated amorphous silicon (a-Si:H) Junction Field Effect Transistors (JFETs) to enable the design of devices with energy-efficient analog interface building blocks for Lab-on-Chip (LoC) systems. The presence of this device can support monolithic integration with [...] Read more.
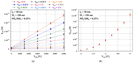
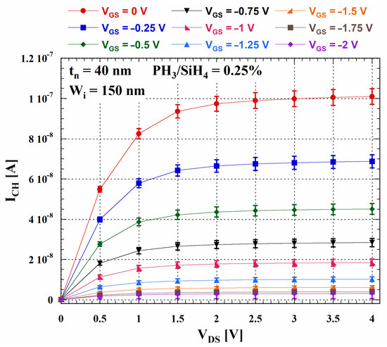
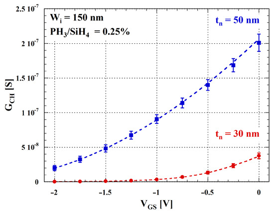
This work presents an advanced electro-physical model for hydrogenated amorphous silicon (a-Si:H) Junction Field Effect Transistors (JFETs) to enable the design of devices with energy-efficient analog interface building blocks for Lab-on-Chip (LoC) systems. The presence of this device can support monolithic integration with thin-film sensors and circuit-level design through a validated compact formulation. The model accurately describes the behavior of a-Si:H JFETs addressing key physical phenomena, such as the channel thickness dependence on the gate-source voltage when the channel approaches full depletion. A comprehensive framework was developed, integrating experimental data and mathematical refinements to ensure robust predictions of JFET performance across operating regimes, including the transition toward full depletion and the associated current-limiting behavior. The model was validated through a broad set of fabricated devices, demonstrating excellent agreement with experimental data in both the linear and saturation regions. Specifically, the validation was carried out at 25 °C on 15 fabricated JFET configurations (12 nominally identical devices per configuration), using the mean characteristics of 9 devices with standard-deviation error bars. In the investigated bias range, the devices operate in a sub-µA regime (up to several hundred nA), which naturally supports µW-level dissipation for low-power interfaces. This work provides a compact, experimentally validated modeling basis for the design and optimization of a-Si:H JFET-based LoC front-end/readout circuits within technology-constrained and energy-efficient operating conditions. Full article
Show Figures

Graphical abstract

25 pages, 3946 KB  
Review
Advancements in Active-Pixel-Type CMOS Image Sensor Design Techniques and Architectures for Wide Dynamic Range
by Sangwoong Sim and Jaehoon Jun
Sensors 2026, 26(2), 489; https://doi.org/10.3390/s26020489 - 12 Jan 2026
Abstract
Advances in CMOS image sensors (CISs) have led to utilization in various industrial fields, including machine vision, medical, surveillance, the automotive industry, and the Internet of Things (IoT). One critical metric for CISs is the dynamic range (DR), which indicates the range of [...] Read more.
Advances in CMOS image sensors (CISs) have led to utilization in various industrial fields, including machine vision, medical, surveillance, the automotive industry, and the Internet of Things (IoT). One critical metric for CISs is the dynamic range (DR), which indicates the range of light intensity that can clearly capture images. As the technology evolves, wide dynamic range (WDR) becomes increasingly required for more diverse applications. To further advance these industries, this paper presents the active-pixel-type CIS design techniques and architectures developed to achieve WDR. These include the following: the basic concepts of the active pixel sensor, readout mechanism, and DR of the CIS; multiple exposure and dual conversion gain (DCG) schemes that are conventionally used to address a trade-off in the CIS; lateral overflow integration capacitor (LOFIC) and dual photodiode (PD) architectures that can improve the DR by utilizing trade-offs in the DR and exposure mechanism; CISs with logarithmic and linear–logarithmic (Lin-Log) responses to enable non-linear characteristics; and techniques that can be employed for higher sensitivity in dark conditions. This comprehensive study of various techniques and architectures can also be utilized for cutting-edge tech advances and future research, including neuromorphic array architecture. Full article
(This article belongs to the Special Issue Sensor Techniques for Signal, Image and Video Processing)
Show Figures

Figure 1

14 pages, 1687 KB  
Article
A Multiplexable Op-Amp Interface for Accurate Readout of Remote Resistive Sensors
by Sanya Kuankid, Jirapong Jittakort and Apinan Aurasopon
Sensors 2026, 26(2), 461; https://doi.org/10.3390/s26020461 - 10 Jan 2026
Viewed by 89
Abstract
This paper presents a compact and accurate readout circuit for remote two-wire resistive sensors, based on an inverting operational amplifier with a fixed bias voltage, diode steering, and unidirectional square-wave excitation generated by a microcontroller. The proposed method determines the sensor resistance by [...] Read more.
This paper presents a compact and accurate readout circuit for remote two-wire resistive sensors, based on an inverting operational amplifier with a fixed bias voltage, diode steering, and unidirectional square-wave excitation generated by a microcontroller. The proposed method determines the sensor resistance by directly sampling two steady-state voltage plateaus at the op-amp output during alternating excitation phases. This approach enables fast, lead-wire-insensitive measurements without the need for analog filtering or precise PWM duty-cycle control. The architecture supports sensor array multiplexing via analog switches, allowing scalable, low-power implementation. Experimental results demonstrate a maximum relative error of 0.23% across a wide resistance range (0.5–3.5 kΩ), confirming the method’s suitability for low-cost, embedded, and remote sensing applications. Full article
(This article belongs to the Section Electronic Sensors)
Show Figures

Figure 1

23 pages, 4098 KB  
Review
Contactless Inductive Sensors Using Glass-Coated Microwires
by Larissa V. Panina, Adrian Acuna, Nikolay A. Yudanov, Alena Pashnina, Valeriya Kolesnikova and Valeria Rodionova
Sensors 2026, 26(2), 428; https://doi.org/10.3390/s26020428 - 9 Jan 2026
Viewed by 150
Abstract
This paper explores the potential of amorphous and nanocrystalline glass-coated microwires as highly versatile, miniaturized sensing elements, leveraging their intrinsic nonlinear magnetization dynamics. In magnetic systems, this approach is particularly advantageous because the degree of nonlinearity can be externally tuned using stimuli such [...] Read more.
This paper explores the potential of amorphous and nanocrystalline glass-coated microwires as highly versatile, miniaturized sensing elements, leveraging their intrinsic nonlinear magnetization dynamics. In magnetic systems, this approach is particularly advantageous because the degree of nonlinearity can be externally tuned using stimuli such as applied magnetic fields, mechanical stress, or temperature variations. From this context, we summarize key properties of microwires—including bistability, a specific easy magnetization direction, internal stress distributions, and magnetostriction—that can be tailored through composition and annealing. In this review, we compare for the first time two key contactless readout methodologies: (i) time-domain detection of the switching field and (ii) frequency-domain harmonic analysis of the induced voltage. These principles have been successfully applied to a broad range of practical sensors, including devices for monitoring mechanical stress in structural materials, measuring temperature in biomedical settings, and detecting magnetic particles. Together, these advances highlight the potential of microwires for embedded, wireless sensing in both engineering and medical applications. Full article
(This article belongs to the Special Issue Recent Trends and Advances in Magnetic Sensors)
Show Figures

Figure 1

22 pages, 6605 KB  
Article
Anisotropic Gold Nanostars Functionalized with 2-Thiouracil: A Multifunctional Platform for Colorimetric Biosensing and Photothermal Cancer Therapy
by Tozivepi Aaron Munyayi, Anine Crous and Heidi Abrahamse
J. Nanotheranostics 2026, 7(1), 2; https://doi.org/10.3390/jnt7010002 - 8 Jan 2026
Viewed by 83
Abstract
This study presents a multifunctional theranostic platform based on anisotropic gold nanostars (AuNSs) functionalized with 2-thiouracil (2-TU) for cancer diagnostics and photothermal therapy (PTT). The unique plasmonic properties of AuNSs, combined with the anticancer and photothermal potential of 2-TU, were harnessed to create [...] Read more.
This study presents a multifunctional theranostic platform based on anisotropic gold nanostars (AuNSs) functionalized with 2-thiouracil (2-TU) for cancer diagnostics and photothermal therapy (PTT). The unique plasmonic properties of AuNSs, combined with the anticancer and photothermal potential of 2-TU, were harnessed to create a system capable of simultaneous colorimetric biosensing and therapeutic action. Under dual-wavelength irradiation (660 nm and 525 nm), the AuNSs–2-TU conjugate demonstrated enhanced photothermal conversion efficiency, selective cancer cell targeting, and signal amplification, resulting in a significant reduction in the IC50 for MCF-7 breast cancer cells. The system exhibited minimal cytotoxicity to normal fibroblasts (WS1), ensuring therapeutic precision. Compared to conventional spherical gold nanoparticles, this platform provides superior multifunctionality, including real-time biosensing with simple, naked-eye colorimetric readouts. These results highlight the potential of the AuNSs–2-TU conjugate as an innovative, minimally invasive nanotheranostic platform suitable for integrated cancer detection and treatment, particularly in resource-constrained settings. Full article
(This article belongs to the Special Issue Advances in Nanoscale Drug Delivery Technologies and Theranostics)
16 pages, 3513 KB  
Communication
Cnidium monnieri Polysaccharides Exhibit Inhibitory Effect on Airborne Transmission of Influenza A Virus
by Heng Wang, Yifei Jin, Yanrui Li, Yan Wang, Yixin Zhao, Shuang Cheng, Zhenyue Li, Mengxi Yan, Zitong Yang, Xiaolong Chen, Yan Zhang, Zhixin Yang, Zhongyi Wang, Kun Liu and Ligong Chen
Viruses 2026, 18(1), 86; https://doi.org/10.3390/v18010086 - 8 Jan 2026
Viewed by 210
Abstract
Influenza A virus (IAV) continues to present a threat to public health, highlighting the need for safe and multi-target antivirals. In this study, anti-influenza activity, airborne transmission blocking capacity, and immunomodulatory effects of Cnidium monnieri polysaccharides (CMP) were evaluated. Cytotoxicity in A549 cells [...] Read more.
Influenza A virus (IAV) continues to present a threat to public health, highlighting the need for safe and multi-target antivirals. In this study, anti-influenza activity, airborne transmission blocking capacity, and immunomodulatory effects of Cnidium monnieri polysaccharides (CMP) were evaluated. Cytotoxicity in A549 cells was assessed by CCK-8 (CC50 = 8.49 mg/mL), antiviral efficacy against A/California/04/2009 (CA04) by dose–response (EC50 = 1.63 mg/mL), and the stage of action by time-of-addition assays (pre-, co-, post-treatment). A guinea pig model infected with CA04 was used for testing the effect of pre-exposure CMP on transmission, with readouts including nasal-wash titers, seroconversion, lung index, and tissue titers (EID50). RT-qPCR was employed to quantify the mRNA expression levels of proinflammatory cytokines, including TNF-α, IL-1β, and IL-6, in lung tissue, while Western blot analysis was performed to assess the expression and phosphorylation status of key proteins involved in the NF-κB signaling pathway. CMP suppressed viral replication in vitro within non-cytotoxic ranges, and pre-treatment—rather than co- or post-treatment—significantly reduced titers and cytopathic effect, consistent with effects at pre-entry steps and/or host priming. In vivo, pre-exposure CMP lowered nasal shedding, reduced aerosol transmission (3/6 seroconverted vs. 6/6 controls), decreased lung indices, and diminished tissue viral loads; IAV was undetectable in trachea at 7 days post-infection in pre-exposed animals, and nasal-turbinate titers declined relative to infection controls. Moreover, during in vivo treatment in mice, CMP significantly suppressed the levels of inflammatory cytokines (TNF-α, IL-1β, and IL-6) in lung tissue. This effect was mechanistically associated with CMP-mediated regulation of the NF-κB signaling pathway, leading to attenuation of inflammatory responses. These data indicate that CMP combines a favorable in vitro safety and efficacy profile with inhibition of airborne spread in vivo, supporting further mechanistic, pharmacokinetic, and fractionation studies toward translational development. Full article
Show Figures

Figure 1

18 pages, 2644 KB  
Article
Microfluidic Chamber Design for Organ-on-a-Chip: A Computational Fluid Dynamics Study of Pillar Geometry and Pulsatile Perfusion
by Andi Liao, Jiwen Xiong, Zhirong Tong, Lin Zhou and Jinlong Liu
Biosensors 2026, 16(1), 49; https://doi.org/10.3390/bios16010049 - 8 Jan 2026
Viewed by 148
Abstract
Organ-on-a-Chip (OOC) platforms are microfluidic systems that recreate key features of human organ physiology in vitro via controlled perfusion. Fluid mechanical stimuli strongly influence cell morphology and function, making this important for cardiovascular OOC applications exposed to pulsatile blood flow. However, many existing [...] Read more.
Organ-on-a-Chip (OOC) platforms are microfluidic systems that recreate key features of human organ physiology in vitro via controlled perfusion. Fluid mechanical stimuli strongly influence cell morphology and function, making this important for cardiovascular OOC applications exposed to pulsatile blood flow. However, many existing OOC devices employ relatively simple chamber geometries and steady inflow assumptions, which may cause non-uniform shear exposure to cells, create stagnant regions with prolonged residence time, and overlook the specific effects of pulsatile perfusion. Here, we used computational fluid dynamics (CFD) to investigate how chamber geometry and inflow conditions shape the near-wall flow environment on a cell culture surface at a matched cycle-averaged volumetric flow rate. Numerical results demonstrated that pillarized chambers markedly reduced relative residence time (RRT) versus the flat chamber, and the small pillar configuration produced the most uniform time-averaged wall shear stress (TAWSS) distribution among the tested designs. Phase-resolved analysis further showed that wall shear stress varies with waveform phase, indicating that steady inflow may not capture features of pulsatile perfusion. These findings provide practical guidance for pillar geometries and perfusion conditions to create more controlled and physiologically relevant microenvironments in OOC platforms, thus improving the reliability of cell experimental readouts. Full article
(This article belongs to the Special Issue Microfluidics for Biomedical Applications (3rd Edition))
Show Figures

Figure 1

21 pages, 2824 KB  
Article
A 3D Microfluidic Paper-Based Analytical Device with Smartphone-Based Colorimetric Readout for Phosphate Sensing
by Jose Manuel Graña-Dosantos, Francisco Pena-Pereira, Carlos Bendicho and Inmaculada de la Calle
Sensors 2026, 26(1), 335; https://doi.org/10.3390/s26010335 - 4 Jan 2026
Viewed by 367
Abstract
In this work, a 3D microfluidic paper-based analytical device (3D-µPAD) was developed for the smartphone-based colorimetric determination of phosphate in environmental samples. The assay relied on the formation of a blue-colored product (molybdenum blue) in the detection area of the 3D-µPAD upon reduction [...] Read more.
In this work, a 3D microfluidic paper-based analytical device (3D-µPAD) was developed for the smartphone-based colorimetric determination of phosphate in environmental samples. The assay relied on the formation of a blue-colored product (molybdenum blue) in the detection area of the 3D-µPAD upon reduction of the heteropolyacid H3PMo12O40 formed in the presence of phosphate. A number of experimental parameters were optimized, including geometric aspects of 3D-µPADs, digitization and image processing conditions, the amount of chemicals deposited in specific areas of the 3D-µPAD, and the reaction time. In addition, the stability of the device was evaluated at three different storage temperatures. Under optimal conditions, the working range was found to be from 4 to 25 mg P/L (12–77 mg PO4−3/L). The limits of detection (LOD) and quantification (LOQ) were 0.015 mg P/L and 0.05 mg P/L, respectively. The repeatability and intermediate precision of a 5 mg P/L standard were 4.8% and 7.1%, respectively. The proposed colorimetric assay has been successfully applied to phosphorous determination in various waters, soils, and sediments, obtaining recoveries in the range of 94 to 107%. The ready-to-use 3D-µPAD showed a greener profile than the standard method for phosphate determination, being affordable, easy-to-use, and suitable for citizen science applications. Full article
Show Figures

Graphical abstract

14 pages, 1362 KB  
Article
Integrated Colorimetric CRISPR/Cas12a Detection of Double-Stranded DNA on Microfluidic Paper-Based Analytical Devices
by Zhiheng Zhang, Qiyu Fu, Tiantai Wen, Youmin Zheng, Yincong Ma, Shixian Liu and Guozhen Liu
Biosensors 2026, 16(1), 32; https://doi.org/10.3390/bios16010032 - 1 Jan 2026
Viewed by 356
Abstract
Early detection of high-risk human papillomavirus (HPV), particularly HPV16 E7, is critical for cervical cancer prevention. Here, we report a novel, portable, and instrument-free biosensing platform that integrates recombinase polymerase amplification (RPA) with CRISPR/Cas12a-mediated detection on a microfluidic paper-based analytical device (μPAD) for [...] Read more.
Early detection of high-risk human papillomavirus (HPV), particularly HPV16 E7, is critical for cervical cancer prevention. Here, we report a novel, portable, and instrument-free biosensing platform that integrates recombinase polymerase amplification (RPA) with CRISPR/Cas12a-mediated detection on a microfluidic paper-based analytical device (μPAD) for colorimetric, visual readout of double-stranded DNA (dsDNA). The μPAD features seven functional zones, including lyophilized RPA and CRISPR reagents, and immobilized streptavidin and anti-FAM antibodies for signal generation. Upon target recognition, Cas12a’s trans-cleavage activity releases biotinylated-FAM-labeled reporters that form a sandwich complex with gold nanoparticle (AuNP)-conjugated anti-FAM antibodies, producing a visible red signal at the test zone. The gray value of the colorimetric signal correlates linearly with target concentration, enabling the quantitative detection of HPV16 E7 dsDNA down to 100 pM within 60 min. The assay demonstrated high accuracy and reproducibility in spiked samples. By combining isothermal amplification, CRISPR specificity, and paper-based microfluidics, this platform offers a rapid, low-cost, and user-friendly solution for point-of-care HPV screening in resource-limited settings. This work advances the integration of CRISPR diagnostics with μPAD, paving the way for scalable point-of-care molecular diagnostics beyond HPV. Full article
(This article belongs to the Special Issue Biomedical Applications of Smart Sensors)
Show Figures

Figure 1

16 pages, 35839 KB  
Article
Apple Seed Extract in Cancer Treatment: Assessing Its Effects on Liver Damage and Recovery
by Min-Jee Oh, Yong-Su Park, Ji-Yeon Mo and Sang-Hwan Kim
Curr. Issues Mol. Biol. 2026, 48(1), 55; https://doi.org/10.3390/cimb48010055 - 1 Jan 2026
Viewed by 230
Abstract
Cancer therapies frequently induce hepatotoxicity, complicating treatment courses and outcomes. Natural products, including polyphenol-rich extracts, have shown hepatoprotective activity via anti-oxidative and anti-inflammatory mechanisms, often linked to NF-κB and PI3K–Akt pathways. Apple-derived polyphenols (e.g., phlorizin/phloretin) also demonstrate liver-protective effects in experimental settings. In [...] Read more.
Cancer therapies frequently induce hepatotoxicity, complicating treatment courses and outcomes. Natural products, including polyphenol-rich extracts, have shown hepatoprotective activity via anti-oxidative and anti-inflammatory mechanisms, often linked to NF-κB and PI3K–Akt pathways. Apple-derived polyphenols (e.g., phlorizin/phloretin) also demonstrate liver-protective effects in experimental settings. In this study, we examined whether ASE mitigates cancer-related liver damage by rebalancing the apoptosis–survival axis and maintaining PI3K-Akt signaling in an endometrial cancer mouse model. Female Institute of Cancer Research mice with induced endometrial cancer received ASE (0–200 mg) over 13 days; liver tissues were analyzed for Caspase-3, p53, LC3, and SQSTM1 using histology stains, Western blot (e.g., Caspase-3/9, Bcl-xL, PI3K, Akt, PCNA, IGF-IR), ELISA, and qRT-PCR (GAPDH). ImageJ (version 1.54f; RRID: SCR_003070) quantification statistical analysis followed (mean ± SD; post-hoc tests). ASE exhibited dose-dependent modulation of apoptosis and survival readouts in liver tissue of cancer-bearing mice: (i) Caspase-9/3 and Bcl-xL showed differential regulation across doses; (ii) PI3K–Akt and IL-2 signals were preserved or restored toward baseline at specific doses; and (iii) histology indicated partial structural recovery. Thus, ASE may mitigate liver injury by re-balancing apoptosis–survival signaling and promoting structural recovery. Our interpretation emphasizes that dose, route, and formulation are critical for translational potential. Full article
Show Figures

Figure 1

23 pages, 1297 KB  
Review
Preclinical PET and SPECT Imaging in Small Animals: Technologies, Challenges and Translational Impact
by Magdalena Bruzgo-Grzybko, Izabela Suwda Kalita, Adam Jan Olichwier, Natalia Bielicka, Ewa Chabielska and Anna Gromotowicz-Poplawska
Cells 2026, 15(1), 73; https://doi.org/10.3390/cells15010073 - 31 Dec 2025
Viewed by 404
Abstract
Molecular imaging in preclinical research using PET and SPECT has become a key component of contemporary biomedicine, enabling noninvasive, quantitative, and longitudinal assessment of biological processes in vivo. Rapid technological progress, including advances in detector design, readout electronics, reconstruction algorithms, and multimodal integration, [...] Read more.
Molecular imaging in preclinical research using PET and SPECT has become a key component of contemporary biomedicine, enabling noninvasive, quantitative, and longitudinal assessment of biological processes in vivo. Rapid technological progress, including advances in detector design, readout electronics, reconstruction algorithms, and multimodal integration, has substantially improved spatial resolution, sensitivity, and quantitative accuracy, thereby enhancing the translational value of animal models. PET and SPECT enable precise characterization of metabolic, molecular, and functional alterations across a wide range of diseases including cancer, cardiovascular disorders, neurodegeneration, and inflammation. Radiopharmaceuticals targeting diverse biological pathways, combined with PET and SPECT systems, allow comprehensive and physiologically relevant evaluation of disease mechanisms and therapeutic responses. Despite these significant advances, important challenges remain, including limitations in quantitative precision, partial-volume effects and inter-laboratory variability in experimental protocols. An additional limitation is the lack of globally standardized quality-control and calibration procedures tailored to preclinical imaging systems. Emerging multimodal imaging platforms and high-fidelity disease models, such as genetically engineered rodents, large animals, and zebrafish, continue to enhance reproducibility, biological relevance, and translational potential. This review summarizes the development, capabilities, and limitations of preclinical PET and SPECT imaging, highlighting their expanding role in advancing molecular diagnostics, radiopharmaceutical development, and translational medicine in both preclinical studies and early-phase clinical research. Full article
Show Figures

Figure 1

32 pages, 2135 KB  
Review
Phase-Specific Evaluation of Sciatic Nerve Regeneration in Preclinical Studies: A Review of Functional Assessment, Emerging Therapies, and Translational Value
by Denisa Mădălina Viezuină, Irina (Mușa) Burlacu, Andrei Greșiță, Irina-Mihaela Matache, Elena-Anca Târtea, Mădălina Iuliana Mușat, Manuel-Ovidiu Amzoiu, Bogdan Cătălin, Veronica Sfredel and Smaranda Ioana Mitran
Int. J. Mol. Sci. 2026, 27(1), 419; https://doi.org/10.3390/ijms27010419 - 31 Dec 2025
Viewed by 317
Abstract
Peripheral nerve injuries, particularly those involving the sciatic nerve, remain a major clinical challenge due to incomplete functional recovery and the limited translation of preclinical advances into effective therapies. This review synthesizes current evidence on the phase-specific evaluation of sciatic nerve regeneration in [...] Read more.
Peripheral nerve injuries, particularly those involving the sciatic nerve, remain a major clinical challenge due to incomplete functional recovery and the limited translation of preclinical advances into effective therapies. This review synthesizes current evidence on the phase-specific evaluation of sciatic nerve regeneration in preclinical models, integrating behavioral, sensory, electrophysiological, and morphological approaches across the acute, subacute (Wallerian degeneration), early regenerative, and late regenerative phases. By mapping functional readouts onto the underlying biological events of each phase, we highlight how tools such as the Sciatic Functional Index, Beam Walk test, Rotarod test, nerve conduction studies, and nociceptive assays provide complementary and often non-interchangeable information about motor, sensory, and neuromuscular recovery. We further examine emerging therapeutic strategies, including intraoperative electrical stimulation, immunomodulation, platelet-rich plasma, bioengineered scaffolds, conductive and piezoelectric conduits, exosome-based hydrogels, tacrolimus delivery systems, and small molecules, emphasizing the importance of aligning their mechanisms of action with the dynamic microenvironment of peripheral nerve repair. Despite substantial advancements in experimental models, an analysis of publication trends and registries reveals a persistent translational gap, with remarkably few clinical trials relative to the high volume of preclinical studies. To illustrate how mechanistic insights can be complemented by molecular-level characterization, we also present a targeted computational analysis of alpha-lipoic acid (ALA,) including frontier orbital energies, physicochemical descriptors, and docking interactions with IL-6, TGF-β, and a growth-factor receptor—performed solely for this molecule due to its documented structural availability and relevance. By presenting an integrated, phase-specific framework for functional assessment and therapeutic evaluation, this review underscores the need for standardized, biologically aligned methodologies to improve the rigor, comparability, and clinical relevance of future studies in sciatic nerve regeneration. Full article
(This article belongs to the Special Issue Advances in Neurorepair and Regeneration)
Show Figures

Figure 1

15 pages, 1510 KB  
Article
Watching Alkaline Phosphatase Catalysis Through Its Vibrational Fingerprint
by Margherita Tamagnini, Haoyue Jiang, Liana Klivansky, Carlos Bustamante and Alessandra Lanzara
Biology 2026, 15(1), 68; https://doi.org/10.3390/biology15010068 - 30 Dec 2025
Viewed by 250
Abstract
Despite decades of structural and kinetic characterization, the full spectral molecular vibrations that accompany the catalysis in alkaline phosphatase (ALP) have remained largely unexplored. In this study, we combine in situ real-time attenuated total reflection Fourier transform infrared (ATR-FTIR) measurements over a large [...] Read more.
Despite decades of structural and kinetic characterization, the full spectral molecular vibrations that accompany the catalysis in alkaline phosphatase (ALP) have remained largely unexplored. In this study, we combine in situ real-time attenuated total reflection Fourier transform infrared (ATR-FTIR) measurements over a large energy range to track the hydrolysis of p-nitrophenyl phosphate (PNPP) and inorganic phosphate (Pi) over a large range of enzyme concentrations. From the static spectra of the pure components (ALP, PNPP, PNP, Pi), we identify their characteristic vibrational frequencies and use them as reference points for the time-resolved spectra. The reaction reveals a monotonic growth of the inorganic-phosphate band at 1077 cm−1. At the highest alkaline phosphatase concentration, we resolve two blue shifts in the nitro/aromatic region (1510 → 1518 cm−1; 1494 → 1499 cm−1), two red shifts in the fingerprint region (1345 → 1340 cm−1; 1294 → 1290 cm−1), and a splitting of the ~1592 cm−1 band into 1595 and 1583 cm−1. In conclusion, by anchoring the time-resolved spectra to the static spectra of individual constituents, we were able to resolve the infrared readout of the enzymatic reaction, offering a generalizable approach for FTIR-based tracking of catalytic processes. Full article
(This article belongs to the Section Biochemistry and Molecular Biology)
Show Figures

Figure 1

19 pages, 1618 KB  
Review
From Gut Dysbiosis to Skin Inflammation in Atopic Dermatitis: Probiotics and the Gut–Skin Axis—Clinical Outcomes and Microbiome Implications
by Adina Elena Micu, Ioana Adriana Popescu, Ioana Alina Halip, Mădălina Mocanu, Dan Vâță, Andreea Luana Hulubencu, Dragoș Florin Gheucă-Solovăstru and Laura Gheucă-Solovăstru
Int. J. Mol. Sci. 2026, 27(1), 365; https://doi.org/10.3390/ijms27010365 - 29 Dec 2025
Viewed by 553
Abstract
Atopic dermatitis (AD) is a chronic inflammatory skin disease in which barrier impairment, immune dysregulation, and gut–skin dysbiosis intersect, prompting growing interest in probiotics as microbiota-modulating adjuncts. We conducted a narrative review of peer-reviewed articles indexed in PubMed, Scopus, and Google Scholar, restricted [...] Read more.
Atopic dermatitis (AD) is a chronic inflammatory skin disease in which barrier impairment, immune dysregulation, and gut–skin dysbiosis intersect, prompting growing interest in probiotics as microbiota-modulating adjuncts. We conducted a narrative review of peer-reviewed articles indexed in PubMed, Scopus, and Google Scholar, restricted to publications from 1 January 2018 to 31 October 2025 (searches last run in December 2025). Eligible evidence included randomized controlled trials (RCTs), observational studies, and mechanistic or conceptual reviews addressing microbiome alterations and microbiota-modulating interventions in AD. Most pediatric RCTs using multistrain, Lactobacillus-dominant formulations (often combined with Bifidobacterium) reported modest improvements in AD severity and pruritus and in selected barrier- and inflammation-related biomarkers. However, direct cutaneous microbiome “restoration” outcomes were reported in a minority of studies, and most clinical evidence relies on clinical endpoints and gut–skin axis plausibility rather than longitudinal skin microbiome readouts. Single-strain regimens showed inconsistent effects, and evidence in adolescents and adults remained heterogeneous. Mechanistically, probiotics may enhance short-chain fatty acid (SCFA) signaling, dampen toll-like receptor 2/4 (TLR2/4)-nuclear factor kappa B (NF-κB) activation, and promote interleukin-10 (IL-10)- and transforming growth factor-β (TGF-β)-driven tolerance. Probiotics are a biologically plausible adjunct targeting the gut–skin axis in AD and are generally well tolerated; however, heterogeneity across trials, limited follow-up, inconsistent adverse-event reporting, and scarce skin microbiome endpoints preclude firm clinical recommendations. Full article
(This article belongs to the Special Issue Skin Microbiome and Skin Health: Molecular Interactions)
Show Figures

Figure 1

Back to TopTop