Frequency Domain Specifications Based Robust Decentralized PI/PID Control Algorithm for Benchmark Variable-Area Coupled Tank Systems
Abstract
1. Introduction
- Design of the reduced order FOPDT model for the coupled tank systems using frequency domain specifications.
- Design of a decentralized PI/PID controller for achieving both servo and regulatory responses.
- Analysis of the efficacious behavior of the developed control algorithm by comparing the proposed technique with existing methods.
- Verification of the robust behavior in presence of model uncertainties.
2. Problem Statement
2.1. Decoupled System Design
2.2. Reduced Order FOPDT Model
3. Controller Design
3.1. Design of PI Controller
3.2. Design of PID Controller
3.3. Analysis of Robustness
4. Results and Discussion
4.1. Coupled Conical Tank System
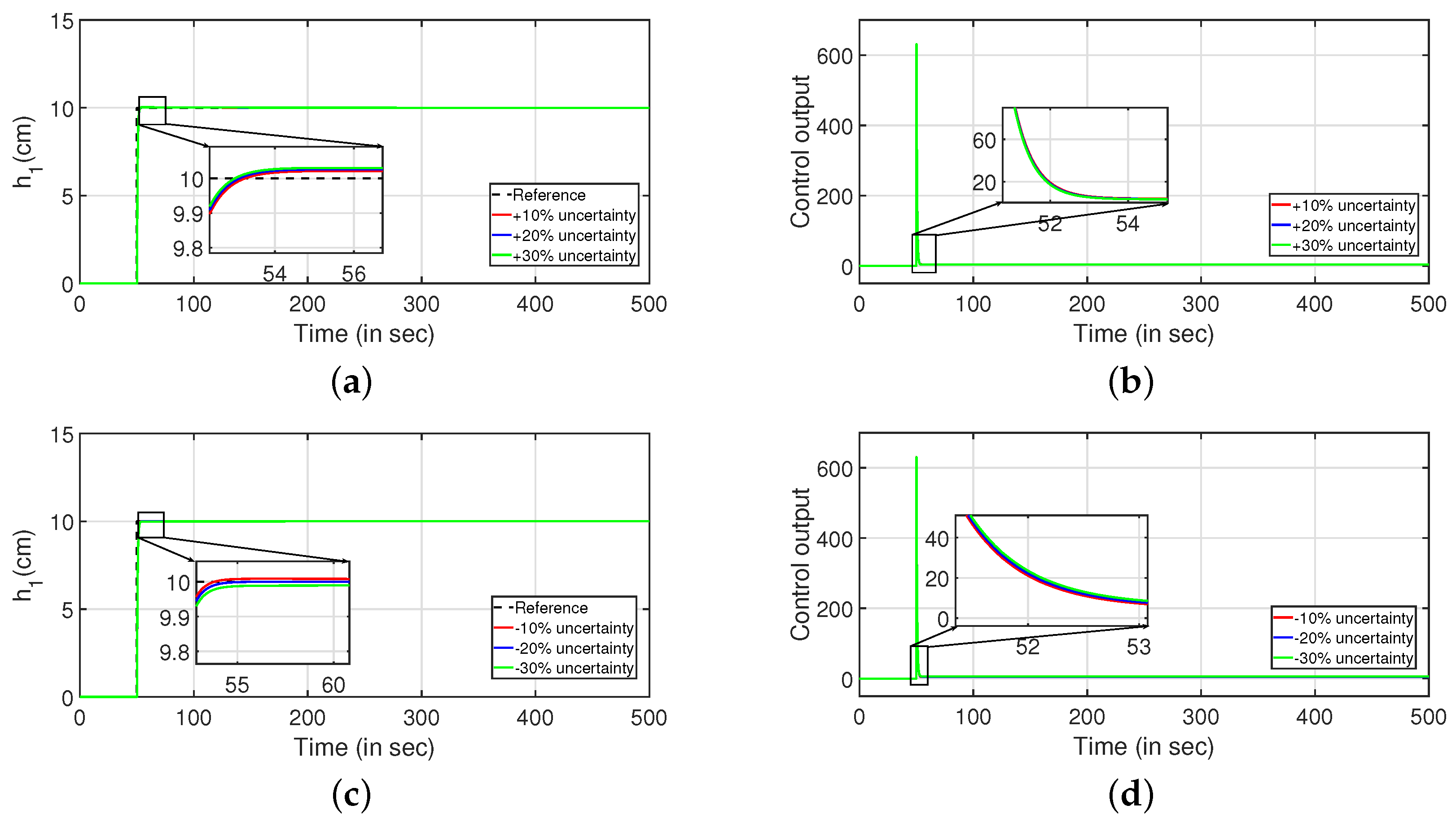
Robustness Analysis
4.2. Coupled Spherical Tank System
Robustness Analysis
4.3. Quadruple Tank System
Robustness Analysis
5. Conclusions
Author Contributions
Funding
Conflicts of Interest
Nomenclature
| Phase crossover frequency | |
| Gain margin | |
| Phase margin | |
| Gain crossover frequency | |
| Phase crossover frequency | |
| Proportional gain | |
| Integral time | |
| Proportional gain | |
| Filter time constant | |
| Integral time | |
| Derivative time |
References
- Zhou, J.; Xue, L.; Li, Y.; Cao, L.; Chen, C. A Novel Fuzzy Controller for Visible-Light Camera Using RBF-ANN: Enhanced Positioning and Autofocusing. Sensors 2022, 22, 8657. [Google Scholar] [CrossRef] [PubMed]
- Solis-Cisneros, H.; Sevilla-Camacho, P.; Robles-Ocampo, J.; Zuñiga-Reyes, M.; Rodríguez-Resendíz, J.; Muñiz-Soria, J.; Hernández-Gutiérrez, C. A dynamic reconfiguration method based on neuro-fuzzy control algorithm for partially shaded PV arrays. Sustain. Energy Technol. Assess. 2022, 52, 102147. [Google Scholar] [CrossRef]
- Torres-Salinas, H.; Rodríguez-Reséndiz, J.; Cruz-Miguel, E.E.; Ángeles-Hurtado, L. Fuzzy Logic and Genetic-Based Algorithm for a Servo Control System. Micromachines 2022, 13, 586. [Google Scholar] [CrossRef] [PubMed]
- Tamilselvan, G.; Aarthy, P. Online tuning of fuzzy logic controller using Kalman algorithm for conical tank system. J. Appl. Res. Technol. 2017, 15, 492–503. [Google Scholar] [CrossRef]
- Travieso Torres, J.C.; Duarte Mermoud, M.; Beytia, O. Combining fractional order operators and adaptive passivity-based controllers: An application to the level regulation of a conical tank. J. Control Eng. Appl. Inform. 2017, 19, 3–10. [Google Scholar]
- Ramanathan, P.; Mangla, K.K.; Satpathy, S. Smart controller for conical tank system using reinforcement learning algorithm. Measurement 2018, 116, 422–428. [Google Scholar] [CrossRef]
- Rajesh, R. Optimal tuning of FOPID controller based on PSO algorithm with reference model for a single conical tank system. SN Appl. Sci. 2019, 1, 1–14. [Google Scholar] [CrossRef]
- Amuthambigaiyin Sundari, K.; Maruthupandi, P. Optimal Design of PID Controller for the analysis of Two TANK System Using Metaheuristic Optimization Algorithm. J. Electr. Eng. Technol. 2022, 17, 627–640. [Google Scholar] [CrossRef]
- Sreepradha, C.; Deepa, P.; Panda, R.C.; Manamali, M.; Shivakumar, R. Synthesis of fuzzy sliding mode controller for liquid level control in spherical tank. Cogent Eng. 2016, 3, 1222042. [Google Scholar] [CrossRef]
- Lakshmanan, M.; Chitra, K.; Kamatchi, K.V.; Srinivasan, S. Online Tuning of PI Controller for Spherical Tank System Using Root Locus Technique with Regulatory Operation. In Proceedings of the 2020 Second International Conference on Inventive Research in Computing Applications (ICIRCA), Coimbatore, India, 15–17 July 2020; pp. 1035–1041. [Google Scholar]
- Prasad, G.M.; Rao, A.S. Evaluation of gap-metric based multi-model control schemes for nonlinear systems: An experimental study. ISA Trans. 2019, 94, 246–254. [Google Scholar] [CrossRef]
- Prasad, G.M.; Adithya, A.; Rao, A.S. Design of multi model fractional controllers for nonlinear systems: An experimental investigation. In Computer Aided Chemical Engineering; Elsevier: Amsterdam, The Netherlands, 2019; Volume 46, pp. 1423–1428. [Google Scholar]
- Priya, C.; Lakshmi, P. Particle swarm optimisation applied to real time control of spherical tank system. Int. J. Bio-Inspired Comput. 2012, 4, 206–216. [Google Scholar] [CrossRef]
- Soni, D.; Gagrani, M.; Rathore, A.; Chakravarthi, M.K. Study of Different Controller’s Performance for a Real Time Non-Linear System. Int. J. Adv. Electron. Electr. Eng. ISSN 2014, 3, 2319–7498. [Google Scholar]
- Reshma, K.; Sumathi, S. Modelling and Simulation of Non Linear Spherical Tank Level Process. Asian J. Res. Soc. Sci. Humanit. 2016, 6, 18–40. [Google Scholar] [CrossRef]
- Pradeepkannan, D.; Sathiyamoorthy, S. Control of a non-linear coupled spherical tank process using GA tuned PID controller. In Proceedings of the 2014 IEEE International Conference on Advanced Communications, Control and Computing Technologies, Ramanathapuram, India, 8–10 May 2014; pp. 130–135. [Google Scholar]
- Shneiderman, D.; Palmor, Z. Properties and control of the quadruple-tank process with multivariable dead-times. J. Process. Control 2010, 20, 18–28. [Google Scholar] [CrossRef]
- Mirakhorli, E.; Farrokhi, M. Sliding-mode state-feedback control of non-minimum phase quadruple tank system using fuzzy logic. IFAC Proc. Vol. 2011, 44, 13546–13551. [Google Scholar] [CrossRef]
- Sutha, S.; Lakshmi, P.; Sankaranarayanan, S. Fractional-Order sliding mode controller design for a modified quadruple tank process via multi-level switching. Comput. Electr. Eng. 2015, 45, 10–21. [Google Scholar] [CrossRef]
- Nacusse, M.A.; Junco, S.J. Bond-graph-based controller design for the quadruple-tank process. Int. J. Simul. Process. Model. 2015, 10, 179–191. [Google Scholar] [CrossRef]
- Rajhans, C.; Gupta, S. Practical implementable controller design with guaranteed asymptotic stability for nonlinear systems. Comput. Chem. Eng. 2022, 163, 107827. [Google Scholar] [CrossRef]
- Garrido, J.; Ruz, M.L.; Morilla, F.; Vázquez, F. Iterative Design of Centralized PID Controllers Based on Equivalent Loop Transfer Functions and Linear Programming. IEEE Access 2021, 10, 1440–1450. [Google Scholar] [CrossRef]
- Ravi, V.; Thyagarajan, T. Adaptive decentralized PI controller for two conical tank interacting level system. Arab. J. Sci. Eng. 2014, 39, 8433–8451. [Google Scholar] [CrossRef]
- Ravi, V.; Thyagarajan, T.; Maheshwaran, G.U. Dynamic Matrix Control of a Two Conical Tank Interacting Level System. Procedia Eng. 2012, 38, 2601–2610. [Google Scholar] [CrossRef]
- Lakshmanaprabu, S.; Elhoseny, M.; Shankar, K. Optimal tuning of decentralized fractional order PID controllers for TITO process using equivalent transfer function. Cogn. Syst. Res. 2019, 58, 292–303. [Google Scholar] [CrossRef]
- Patel, H.R.; Shah, V.A. A metaheuristic approach for interval type-2 fuzzy fractional order fault-tolerant controller for a class of uncertain nonlinear system. Automatika 2022, 63, 656–675. [Google Scholar] [CrossRef]
- Chakravarthi, M.K.; Pannem, V.K.; Venkatesan, N. Real time implementation of gain scheduled controller design for higher order nonlinear system using LabVIEW. Int. J. Eng. Technol. 2014, 6, 2031–2038. [Google Scholar]
- Jegatheesh, A.; Kumar, C.A. Novel fuzzy fractional order PID controller for non linear interacting coupled spherical tank system for level process. Microprocess. Microsystems 2020, 72, 102948. [Google Scholar] [CrossRef]
- Balakrishnaa, A.; Arun, N. Liquid Level Control of Interacting Coupled Spherical Tank System using PI and Fuzzy PI Controller. In Proceedings of the 2022 3rd International Conference for Emerging Technology (INCET), Belgaum, India, 27–29 May 2022; pp. 1–5. [Google Scholar]
- Maruthi Prasad, G.; Seshagiri Rao, A. Multi-model cascade control strategy design based on gap metric for nonlinear processes. Indian Chem. Eng. 2022, 64, 183–196. [Google Scholar] [CrossRef]
- Kirubakaran, V.; Radhakrishnan, T.; Sivakumaran, N. Distributed multiparametric model predictive control design for a quadruple tank process. Measurement 2014, 47, 841–854. [Google Scholar] [CrossRef]
- Ionescu, C.M.; Maxim, A.; Copot, C.; De Keyser, R. Robust PID auto-tuning for the quadruple tank system. IFAC-PapersOnLine 2016, 49, 919–924. [Google Scholar] [CrossRef]
- Shah, D.; Patel, D.M. Design of sliding mode control for quadruple-tank MIMO process with time delay compensation. J. Process. Control. 2019, 76, 46–61. [Google Scholar] [CrossRef]
- Gurjar, B.; Chaudhari, V.; Kurode, S. Parameter estimation based robust liquid level control of quadruple tank system—Second order sliding mode approach. J. Process. Control 2021, 104, 1–10. [Google Scholar] [CrossRef]
- Meng, X.; Yu, H.; Zhang, J.; Xu, T.; Wu, H.; Yan, K. Disturbance observer-based feedback linearization control for a quadruple-tank liquid level system. ISA Trans. 2022, 122, 146–162. [Google Scholar] [CrossRef]
- Olejnik, P.; Awrejcewicz, J. Intelligent Mechatronics in the Measurement, Identification, and Control of Water Level Systems: A Review and Experiment. Machines 2022, 10, 960. [Google Scholar] [CrossRef]
- Euzébio, T.A.; Da Silva, M.T.; Yamashita, A.S. Decentralized PID controller tuning based on nonlinear optimization to minimize the disturbance effects in coupled loops. IEEE Access 2021, 9, 156857–156867. [Google Scholar] [CrossRef]
- Euzébio, T.A.; Yamashita, A.S.; Pinto, T.V.; Barros, P.R. SISO approaches for linear programming based methods for tuning decentralized PID controllers. J. Process Control 2020, 94, 75–96. [Google Scholar] [CrossRef]
- Sun, L.; Dong, J.; Li, D.; Lee, K.Y. A practical multivariable control approach based on inverted decoupling and decentralized active disturbance rejection control. Ind. Eng. Chem. Res. 2016, 55, 2008–2019. [Google Scholar] [CrossRef]
- Hu, W.; Xiao, G.; Li, X. An analytical method for PID controller tuning with specified gain and phase margins for integral plus time delay processes. ISA Trans. 2011, 50, 268–276. [Google Scholar] [CrossRef]
- Lakshmanaprabu, S.; Banu, U.S. Real time implementation of multivariable centralised FOPID controller for TITO process. Int. J. Reason.-Based Intell. Syst. 2018, 10, 242–251. [Google Scholar] [CrossRef]
- Ogunba, K.; Fasiku, D.; Fakunle, A.; Taiwo, O. Analytical Triangular Decoupling Internal Model Control of a Class of Two-Input, Two-Output (TITO) Systems with Delays. IFAC-PapersOnLine 2020, 53, 4774–4779. [Google Scholar] [CrossRef]
- Hang, C.; Astrom, K.; Wang, Q. Relay feedback auto-tuning of process controllers—A tutorial review. J. Process. Control 2002, 12, 143–162. [Google Scholar] [CrossRef]
- Vavilala, S.K.; Thirumavalavan, V.; Chandrasekaran, K. Level control of a conical tank using the fractional order controller. Comput. Electr. Eng. 2020, 87, 106690. [Google Scholar] [CrossRef]
- Rosinova, D.; Kozakova, A. Decentralized robust control of mimo systems: Quadruple tank case study. IFAC Proc. Vol. 2012, 45, 72–77. [Google Scholar] [CrossRef]
- Osman, A.; Kara, T.; Arıcı, M. Robust adaptive control of a quadruple tank process with sliding mode and pole placement control strategies. IETE J. Res. 2021, 1–14. [Google Scholar] [CrossRef]




























| Controller | u − y | IAE | ISE | ITAE |
|---|---|---|---|---|
| Proposed PI | 84.54 | 1167 | 5620 | |
| 109.4 | 1514 | 6426 | ||
| Proposed PID | 84.54 | 1167 | 5620 | |
| 109.4 | 1514 | 6426 | ||
| Multiloop PID [41] | 681.2 | 5390 | 7.16 × 10 | |
| 431.4 | 3576 | 3.58 × 10 | ||
| MCFOPID [41] | 917.9 | 7478 | 1.172 × 10 | |
| 713.1 | 5893 | 8.228 × 10 | ||
| GA PI [23] | 208.7 | 2203 | 1.612 × 10 | |
| 173.9 | 1499 | 2.29 × 10 | ||
| PSO PI [44] | 818.9 | 6815 | 9.513 × 10 | |
| 794.1 | 6797 | 8.968 × 10 |
| Controller | u − y | IAE | ISE | ITAE |
|---|---|---|---|---|
| Proposed PI | 103.8 | 753.9 | 7087 | |
| 184.6 | 2248 | 1.23 × 10 | ||
| Proposed PID | 103.8 | 753.7 | 7088 | |
| 184.6 | 2248 | 1.234 × 10 | ||
| Ziegler Nichols [29] | 398.7 | 2268 | 3.799 × 10 | |
| PID | 789.4 | 6693 | 1.175 × 10 | |
| Sliding Mode [29] | 353.4 | 1795 | 3.778 × 10 | |
| (SMC PID) | 369.2 | 3335 | 4.531 × 10 | |
| Fuzzy PID [28] | 130.1 | 877 | 1.079 × 10 | |
| 288.7 | 2960 | 3.052 × 10 | ||
| Fuzzy SMC [9] | 210.5 | 983.3 | 2.713 × 10 | |
| 338.3 | 3839 | 2.865 × 10 |
| Controller | u − y | IAE | ISE | ITAE |
|---|---|---|---|---|
| Proposed PI | 6.962 | 33.02 | 432.7 | |
| 7.311 | 36.63 | 433.4 | ||
| Proposed PID | 6.962 | 32.81 | 432.7 | |
| 7.311 | 36.5 | 433.5 | ||
| Decentralized PI [45] | 1131 | 6611 | 1.571 × 10 | |
| 1559 | 8904 | 2.723 × 10 | ||
| SMC PI [46] | 1440 | 8496 | 2.32 × 10 | |
| 1021 | 5486 | 1.606 × 10 | ||
| ASMC PID [46] | 138 | 420.9 | 1.09 × 10 | |
| 192 | 626.4 | 1.67 × 10 | ||
| DR PID [35] | 332.4 | 1090 | 3.791 × 10 | |
| 452.5 | 1569 | 5.927 × 10 |
Publisher’s Note: MDPI stays neutral with regard to jurisdictional claims in published maps and institutional affiliations. |
© 2022 by the authors. Licensee MDPI, Basel, Switzerland. This article is an open access article distributed under the terms and conditions of the Creative Commons Attribution (CC BY) license (https://creativecommons.org/licenses/by/4.0/).
Share and Cite
Govind K.R., A.; Mahapatra, S. Frequency Domain Specifications Based Robust Decentralized PI/PID Control Algorithm for Benchmark Variable-Area Coupled Tank Systems. Sensors 2022, 22, 9165. https://doi.org/10.3390/s22239165
Govind K.R. A, Mahapatra S. Frequency Domain Specifications Based Robust Decentralized PI/PID Control Algorithm for Benchmark Variable-Area Coupled Tank Systems. Sensors. 2022; 22(23):9165. https://doi.org/10.3390/s22239165
Chicago/Turabian StyleGovind K.R., Achu, and Subhasish Mahapatra. 2022. "Frequency Domain Specifications Based Robust Decentralized PI/PID Control Algorithm for Benchmark Variable-Area Coupled Tank Systems" Sensors 22, no. 23: 9165. https://doi.org/10.3390/s22239165
APA StyleGovind K.R., A., & Mahapatra, S. (2022). Frequency Domain Specifications Based Robust Decentralized PI/PID Control Algorithm for Benchmark Variable-Area Coupled Tank Systems. Sensors, 22(23), 9165. https://doi.org/10.3390/s22239165

