Dynamic Noise Reduction with Deep Residual Shrinkage Networks for Online Fault Classification
Abstract
:1. Introduction
2. Stockwell Transform
Discrete Stockwell Transform
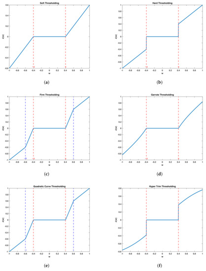
3. Thresholding Methods
3.1. Soft Thresholding
3.2. Hard Thresholding
3.3. Garrote Thresholding
3.4. Firm Thresholding
3.5. Hyper-Trim Thresholding
3.6. Quadratic Curve Thresholding
4. Model Architecture
4.1. RSBU-1
4.2. RSBU-2
5. Experimental Set-Up
5.1. Data Set
5.2. Model Training & Testing
6. Results & Discussion
7. Conclusions
Author Contributions
Funding
Institutional Review Board Statement
Informed Consent Statement
Data Availability Statement
Conflicts of Interest
Abbreviations
| HV | High-voltage |
| EMI | Electro-magnetic interference |
| DRSN | Deep residual shrinkage networks |
| RSBU | Residual shrinkage building unit |
| PD | Partial discharge |
| ML | Machine Learning |
| S | Stockwell |
| ResNet | Residual Neural Network |
| CWT | Continuous wavelet transform |
| TF | Time-frequency |
| QCT | Quadratic curve thresholding |
| ECG | Electrocardiogram |
| CNN | Convolutional neural network |
| GAP | Global average pooling |
| FC | Fully connected |
| CISPR | Comité International Spécial des Pertrubations Radioélectriques |
| SNR | Signal-to-noise-ratio |
| VGG | Visual Geometry Group |
References
- Barrios, S.; Buldian, D.; Comech, M.P.; Gilbert, I.; Orue, I. Partial Discharge Classification Using Deep Learning Methods—Survey of Recent Progress. Energies 2019, 12, 2485. [Google Scholar] [CrossRef] [Green Version]
- Timperley, J.E.; Vallejo, J.M. Condition assessment of electrical apparatus with emi diagnostics. In Proceedings of the IEEE Petroleum and Chemical Industry Committee Conference (PCIC), Houston, TX, USA, 5–7 October 2015; pp. 1–8. [Google Scholar]
- Timperley, J.E.; Buchanan, D.; Vallejo, J. Electric generation condition assessment with electromagnetic interference analysis. IEEE Trans. Ind. Appl. 2017, 54, 1921–1929. [Google Scholar] [CrossRef]
- Timperley, J.E. Audio spectrum analysis of EMI patterns. In Proceedings of the 2007 Electrical Insulation Conference and Electrical Manufacturing Expo, Nashville, TN, USA, 22–24 October 2007; pp. 39–41. [Google Scholar]
- Mitiche, I.; Morison, G.; Hughes-Narborough, M.; Nesbitt, A.; Boreham, P.; Stewart, B.G. Classification of Partial Discharge Signals by Combining Adaptive Local Iterative Filtering and Entropy Features. Sensors 2018, 18, 406. [Google Scholar] [CrossRef] [PubMed] [Green Version]
- Mitiche, I.; Jenkins, M.D.; Boreham, P.; Nesbitt, A.; Morison, G. Deep complex neural network learning for high-voltage insulation fault classification from complex bispectrum representation. In Proceedings of the 27th European Signal Processing Conference (EUSIPCO), A Coruna, Spain, 2–6 September 2019. [Google Scholar]
- Salimy, A.; Mitiche, I.; Boreham, P.; Nesbitt, A.; Morison, G. Low Complexity Classification of Power Asset Faults for Real Time IoT-based Diagnostics. In Proceedings of the IEEE Global Conference on Artificial Intelligence and Internet of Things (GCAIoT), Dubai, United Arab Emirates, 12–16 December 2020. [Google Scholar]
- Stockwell, R.G.; Mansinha, L.; Lowe, R.P. Localization of the complex spectrum: The S transform. IEEE Trans. Signal Process. 1996, 44, 998–1001. [Google Scholar] [CrossRef]
- He, K.; Zhang, X.; Ren, S.; Sun, J. Deep Residual Learning for Image Recognition. In Proceedings of the IEEE Conference on Computer Vision and Pattern Recognition (CVPR), Las Vegas, NV, USA, 23–26 June 2016; pp. 770–778. [Google Scholar]
- Zhao, M.; Zhong, S.; Fu, X.; Tang, B.; Pecht, M. Deep Residual Shrinkage Networks for Fault Diagnosis. IEEE Trans. Ind. Informat. 2020, 16, 4681–4690. [Google Scholar] [CrossRef]
- Donoho, D.L. De-noising by soft-thresholding. IEEE Trans. Inf. Theory 1995, 41, 613–627. [Google Scholar] [CrossRef] [Green Version]
- Isogawa, K.; Ida, T.; Shiodera, T.; Takeguchi, T. Deep shrinkage convolutional neural network for adaptive noise reduction. IEEE Signal Process. Lett. 2018, 25, 224–228. [Google Scholar] [CrossRef]
- Donoho, D.L.; Johnstone, I.M. Ideal Spatial Adaptation via Wavelet Shrinkage. Biometrica 1994, 81, 425–455. [Google Scholar] [CrossRef]
- Gao, H.; Bruce, A.G. Waveshrink with Firm Shrinkage. Stat. Sin. 1997, 7, 855–874. [Google Scholar]
- Gao, H. Wavelet Shrinkage Denoising Using the Non-Negative Garrote. J. Comput. Graph. Stat. 1998, 7, 469–488. [Google Scholar]
- He, H.; Wang, Z.; Tan, Y. Noise reduction of ECG signals through genetic optimized wavelet threshold filtering. In Proceedings of the 2015 IEEE International Conference on Computational Intelligence and Virtual Environments for Measurement Systems and Applications (CIVEMSA), Shenzhen, China, 12–14 June 2015; pp. 1–6. [Google Scholar]
- Poornachandra, S.; Kumaravel, N. Hyper-trim shrinkage for denoising of ECG signal. Digit. Signal Process 2005, 15, 317–327. [Google Scholar] [CrossRef]
- Hewitt, E.; Hewitt, R.E. The Gibbs-Wilbraham phenomenon: An episode in fourier analysis. Arch. Hist. Exact Sci. 1979, 21, 129–160. [Google Scholar] [CrossRef]
- Specification for Radio Disturbance and Immunity Measurement Apparatus and Methods-Part 1: Radio Disturbance and Immunity Measuring Apparatus, IEC: 2015, CISPR 16-1-1, Part 1-1. Available online: https://webstore.iec.ch/publication/23387 (accessed on 7 January 2022).
- Timperley, J.E.; Vallejo, J. Condition assessment of electrical apparatus with emi diagnostics. IEEE Trans. Ind. Appl. 2017, 53, 693–699. [Google Scholar] [CrossRef]
- Johnstone, I.M.; Silverman, B.W. Needles and Straw in Haystacks: Empirical Bayes Estimates of Possibly Sparse Sequences. Ann. Stat. 2004, 32, 1594–1649. [Google Scholar] [CrossRef] [Green Version]
- Simonyan, K.; Zisserman, A. Very Deep Convolutional Networks for Large-Scale Image Recognition. arXiv 2014, arXiv:1409.1556. [Google Scholar]
- Abadi, M.; Agarwal, A.; Barham, P.; Brevdo, E.; Chen, Z.; Citro, C.; Corrado, G.S.; Davis, A.; Dean, J.; Devin, M.; et al. TensorFlow: A System for Large-scale Machine Learning. In Proceedings of the 12th USENIX Symposium on Operating Systems Design and Implementation (OSDI ’16), Savannah, GA, USA, 2–4 November 2016; pp. 265–283. [Google Scholar]
- LeCun, Y.; Bengio, Y.; Hinton, G. Deep Learning. Nature 2015, 521, 436–444. [Google Scholar] [CrossRef] [PubMed]










| Data Set (dB SNR) | Soft | Hard | Garrote | H-trim | Firm | QCT | ResNet50 | VGG16 |
|---|---|---|---|---|---|---|---|---|
| −5 | 53.54% | 52.63% | 53.72% | 53.94% | 54.71% | 56.09% | 43.21% | 42.12% |
| −4 | 58.10% | 55.51% | 57.59% | 57.48% | 60.07% | 60.84% | 43.25% | 42.34% |
| −3 | 58.32% | 59.74% | 60.62% | 58.61% | 60.15% | 61.68% | 45.84% | 43.98% |
| −2 | 62.85% | 60.18% | 63.10% | 61.39% | 60.88% | 64.42% | 45.69% | 44.27% |
| −1 | 62.48% | 60.29% | 61.13% | 60.36% | 62.85% | 62.70% | 47.78% | 46.75% |
| 0 | 67.12% | 67.15% | 67.77% | 65.77% | 68.50% | 67.59% | 51.02% | 52.52% |
| 1 | 75.07% | 74.56% | 76.06% | 73.91% | 74.64% | 76.13% | 49.42% | 51.75% |
| 2 | 79.12% | 77.15% | 77.70% | 76.02% | 77.52% | 74.38% | 54.34% | 59.34% |
| 3 | 79.31% | 76.53% | 80.55% | 77.88% | 78.72% | 79.20% | 58.94% | 62.26% |
| 4 | 85.84% | 83.21% | 86.42% | 83.58% | 85.00% | 85.00% | 65.36% | 70.99% |
| 5 | 84.38% | 80.47% | 83.58% | 81.57% | 81.28% | 83.83% | 68.14% | 72.48% |
Publisher’s Note: MDPI stays neutral with regard to jurisdictional claims in published maps and institutional affiliations. |
© 2022 by the authors. Licensee MDPI, Basel, Switzerland. This article is an open access article distributed under the terms and conditions of the Creative Commons Attribution (CC BY) license (https://creativecommons.org/licenses/by/4.0/).
Share and Cite
Salimy, A.; Mitiche, I.; Boreham, P.; Nesbitt, A.; Morison, G. Dynamic Noise Reduction with Deep Residual Shrinkage Networks for Online Fault Classification. Sensors 2022, 22, 515. https://doi.org/10.3390/s22020515
Salimy A, Mitiche I, Boreham P, Nesbitt A, Morison G. Dynamic Noise Reduction with Deep Residual Shrinkage Networks for Online Fault Classification. Sensors. 2022; 22(2):515. https://doi.org/10.3390/s22020515
Chicago/Turabian StyleSalimy, Alireza, Imene Mitiche, Philip Boreham, Alan Nesbitt, and Gordon Morison. 2022. "Dynamic Noise Reduction with Deep Residual Shrinkage Networks for Online Fault Classification" Sensors 22, no. 2: 515. https://doi.org/10.3390/s22020515
APA StyleSalimy, A., Mitiche, I., Boreham, P., Nesbitt, A., & Morison, G. (2022). Dynamic Noise Reduction with Deep Residual Shrinkage Networks for Online Fault Classification. Sensors, 22(2), 515. https://doi.org/10.3390/s22020515

