Self-Stabilizing Capacitated Vertex Cover Algorithms for Internet-of-Things-Enabled Wireless Sensor Networks
Abstract
1. Introduction
- We provide two self-stabilizing capacitated vertex cover algorithms that are based on new heuristics for WSNs. The first proposed algorithm (SS-CVC) is a modification of Ikeda’s [13] algorithm. The second proposed algorithm, which uses the greedy technique (SS-CVC), is a novel algorithm for the problem. To the best of our knowledge, this paper is the first attempt to solve distributed self-stabilizing capacitated vertex cover problem for WSNs in the literature.
- We theoretically analyze our proposed capacitated vertex cover algorithms to ensure their proof of correctness in the self-stabilizing setting. We also analyze the step complexity of our algorithms in order to obtain the efficiency of their resource consumption.
- We simulate our proposed capacitated vertex cover algorithms and comprehensively evaluate the measured performance results along with the existing self-stabilizing algorithms, where these previous algorithms are modified to provide the capacitated solution. We reveal that our proposed algorithms clearly outperform their counterparts in terms of vertex cover size, the energy consumption (the total energy required for the algorithm execution in sensor nodes) and the time required for stabilization process.
2. Related Work
3. Problem Formulation
- Each node is represented by a distinct identifier (i.e., id).
- The communication channels between nodes function in both directions.
- Nodes do not include any GPS-based position tracking; hence, they are unaware of their positions in the network.
- All nodes are equipped with the same hardware and run the same algorithm.
- For the SS-CVC algorithm, each node knows its 1-hop (degree-1) neighbors that are one hop away from the node and directly communicates with them.
- For the SS-CVC, we assume that each node knows 2-hop (degree-2) neighbors and can send messages to them through 1-hop neighbors.
- To fulfill the convergence property, the algorithms must reach the stable configuration (in which nodes do not make a move) as fast as they can within a minimum number of moves and steps. Hence, wallclock execution times of algorithms (the time passed during the execution) should be low. In a stable configuration, <precondition> predicates of all nodes are false when the rules are defined in <name>:<precondition>→<action> form.
- Having become stabilized, the network should preserve capacitated vertex cover until a fault happens in order to satisfy the closure property.
- The algorithms should be energy-efficient for the sake of increasing the lifetime of the network. The energy consumption of an algorithm is the total energy required for its execution in sensor nodes.
- When a failure occurs, such as the shut down of a node, each active node should be able to initiate the self-stabilization procedure itself.
- Since WSNs are deployed over harsh areas, some nodes can leave and new nodes can join the network. In such cases, the self-stabilization process should occur without any external intervention.
- The VC construction process should be independent of the location information of the nodes.
4. Proposed Algorithms
4.1. Ss-Cvc Algorithm
| Algorithm 1: SS-CVC |
|
4.2. SS-CVC Algorithm
| Algorithm 2: SS-CVC. |
![]() |
5. Theoretical Analysis of Algorithms
5.1. Theoretical Analysis of SS-CVC
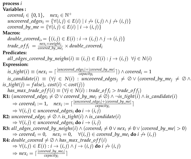
5.2. Theoretical Analysis of SS-CVC
- If expression of i is false and neither nor are empty, i executes R1 and updates . After the execution of R1, all edges of are covered by i.
- If vertex i is tight but it has at least one edge in , it executes R2 to sets and covers all edges in .
- If all incident edges to i are covered by , i executes R3 and sets and uncovers all edges that are covered by itself.
- If an edge is covered by both endpoints, the edge is considered as a double-covered edge. The vertex i that has the maximum among its one-hop local neighborhood, uncovers the double covered edges and updates its by .
6. Performance Evaluation
6.1. Experimental Setup
| Algorithm 3: Additional rules. |
|
6.2. Evaluations
7. Conclusions
Author Contributions
Funding
Acknowledgments
Conflicts of Interest
References
- Khalilpour Akram, V.; Akusta Dagdeviren, Z.; Dagdeviren, O.; Challenger, M. PINC: Pickup Non-Critical Node Based k-Connectivity Restoration in Wireless Sensor Networks. Sensors 2021, 21, 6418. [Google Scholar] [CrossRef] [PubMed]
- Catelani, M.; Ciani, L.; Bartolini, A.; Del Rio, C.; Guidi, G.; Patrizi, G. Reliability Analysis of Wireless Sensor Network for Smart Farming Applications. Sensors 2021, 21, 7683. [Google Scholar] [CrossRef] [PubMed]
- Majid, M.; Habib, S.; Javed, A.R.; Rizwan, M.; Srivastava, G.; Gadekallu, T.R.; Lin, J.C.W. Applications of Wireless Sensor Networks and Internet of Things Frameworks in the Industry Revolution 4.0: A Systematic Literature Review. Sensors 2022, 22, 2087. [Google Scholar] [CrossRef]
- Dijkstra, E.W. Self-stabilizing systems in spite of distributed control. Commun. ACM 1974, 17, 643–644. [Google Scholar] [CrossRef]
- Tixeuil, S. Self-stabilizing Algorithms. In Algorithms and Theory of Computation Handbook; Chapman & Hall/CRC: London, UK, 2009; pp. 26.1–26.45. [Google Scholar]
- Kumar, R.; Kaur, J. Efficient beacon placement for network tomography. In Proceedings of the 4th ACM SIGCOMM Conference on Internet Measurement—IMC’04, Taormina, Italy, 25–27 October 2004; p. 181. [Google Scholar] [CrossRef]
- Delle Donne, D.; Tagliavini, G. Star Routing: Between Vehicle Routing and Vertex Cover. In Combinatorial Optimization and Applications; Kim, D., Uma, R.N., Zelikovsky, A., Eds.; Springer International Publishing: Cham, Switzerland, 2018; pp. 522–536. [Google Scholar]
- Filiol, E.; Franc, E.; Gubbioli, A.; Moquet, B.; Roblot, G. Combinatorial Optimisation of Worm Propagation on an Unknown Network. World Acad. Sci. Eng. Technol. 2007, 23, 41–47. [Google Scholar]
- Arora, S.; Chakaravarthy, V.T.; Gupta, N.; Mukherjee, K.; Sabharwal, Y. Replica Placement via Capacitated Vertex Cover. In Proceedings of the IARCS Annual Conference on Foundations of Software Technology and Theoretical Computer Science (FSTTCS 2013); Guwahati, India, 12–14 December 2013, Seth, A., Vishnoi, N.K., Eds.; Leibniz International Proceedings in Informatics (LIPIcs); Schloss Dagstuhl–Leibniz-Zentrum fuer Informatik: Dagstuhl, Germany, 2013; Volume 24, pp. 263–274. [Google Scholar] [CrossRef]
- Yigit, Y.; Akram, V.K.; Dagdeviren, O. Breadth-first search tree integrated vertex cover algorithms for link monitoring and routing in wireless sensor networks. Comput. Netw. 2021, 194, 108144. [Google Scholar] [CrossRef]
- Karp, R. Reducibility among combinatorial problems. In Complexity of Computer Computations; Miller, R., Thatcher, J., Eds.; Plenum Press: New York, NY, USA, 1972; pp. 85–103. [Google Scholar]
- Guha, S.; Hassin, R.; Khuller, S.; Or, E. Capacitated vertex covering. J. Algorithms 2003, 48, 257–270. [Google Scholar] [CrossRef]
- Ikeda, M.; Kamei, S.; Kakugawa, H. A Space-Optimal Self-Stabilizing Algorithm for the Maximal Independent Set Problem. In Proceedings of the The Third International Conference on Parallel and Distributed Computing, Applications and Technologies (PDCAT), Kanazawa, Japan, 3–6 September 2002; pp. 70–74. [Google Scholar]
- Sarwar, M.; Akram, M. Certain Algorithms for Computing Strength of Competition in Bipolar Fuzzy Graphs. Int. J. Uncertain. Fuzziness -Knowl.-Based Syst. 2017, 25, 877–896. [Google Scholar] [CrossRef]
- Akram, M.; Habib, A.; Alcantud, J.C. An optimization study based on Dijkstra algorithm for a network with trapezoidal picture fuzzy numbers. Neural Comput. Appl. 2021, 33, 1329–1342. [Google Scholar] [CrossRef]
- Dinur, I.; Safra, S. The Importance of Being Biased. In Proceedings of the Thiry-Fourth Annual ACM Symposium on Theory of Computing, Montreal, QC, Canada, 19–21 May 2002; ACM: New York, NY, USA, 2002. STOC’02. pp. 33–42. [Google Scholar] [CrossRef]
- Karakostas, G. A better approximation ratio for the vertex cover problem. ACM Trans. Algorithms 2009, 5, 1–8. [Google Scholar] [CrossRef]
- Savage, C. Depth-first search and the vertex cover problem. Inf. Process. Lett. 1982, 14, 233–235. [Google Scholar] [CrossRef]
- Cai, S.; Li, Y.; Hou, W.; Wang, H. Towards faster local search for minimum weight vertex cover on massive graphs. Inf. Sci. 2019, 471, 64–79. [Google Scholar] [CrossRef]
- Chen, Y.; Hao, J.K. Dynamic thresholding search for minimum vertex cover in massive sparse graphs. Eng. Appl. Artif. Intell. 2019, 82, 76–84. [Google Scholar] [CrossRef]
- Halperin, E. Improved Approximation Algorithms for the Vertex Cover Problem in Graphs and Hypergraphs. SIAM J. Comput. 2002, 31, 1608–1623. [Google Scholar] [CrossRef]
- Håstad, J. Some optimal inapproximability results. J. ACM 2001, 48, 798–859. [Google Scholar] [CrossRef]
- Pelofske, E.; Hahn, G.; Djidjev, H. Solving Large Minimum Vertex Cover Problems on a Quantum Annealer; Association for Computing Machinery: New York, NY, USA, 2019. [Google Scholar] [CrossRef]
- Dagdeviren, Z.A. Weighted Connected Vertex Cover Based Energy-Efficient Link Monitoring for Wireless Sensor Networks Towards Secure Internet of Things. IEEE Access 2021, 9, 10107–10119. [Google Scholar] [CrossRef]
- Polishchuk, V.; Suomela, J. A simple local 3-approximation algorithm for vertex cover. Inf. Process. Lett. 2009, 109, 642–645. [Google Scholar] [CrossRef]
- Hanckowiak, M.; Karonski, M.; Panconesi, A. On the Distributed Complexity of Computing Maximal Matchings. SIAM J. Discret. Math. 2001, 15, 41–57. [Google Scholar] [CrossRef]
- Hoepman, J.H. Simple distributed weighted matchings. arXiv 2004, arXiv:cs/0410047. [Google Scholar]
- Kavalci, V.; Ural, A.; Dagdeviren, O. Distributed Vertex Cover Algorithms for Wireless Sensor Networks. Int. J. Comput. Netw. Commun. 2014, 6, 95–110. [Google Scholar] [CrossRef][Green Version]
- Guo, P.; Quan, C.; Chen, H. MEAMVC: A Membrane Evolutionary Algorithm for Solving Minimum Vertex Cover Problem. IEEE Access 2019, 7, 60774–60784. [Google Scholar] [CrossRef]
- Javad-Kalbasi, M.; Dabiri, K.; Valaee, S.; Sheikholeslami, A. Digitally Annealed Solution for the Vertex Cover Problem with Application in Cyber Security. In Proceedings of the ICASSP 2019—2019 IEEE International Conference on Acoustics, Speech and Signal Processing (ICASSP), Brighton, UK, 12–17 May 2019; pp. 2642–2646. [Google Scholar] [CrossRef]
- Ghaffari, M.; Jin, C.; Nilis, D. A Massively Parallel Algorithm for Minimum Weight Vertex Cover; Association for Computing Machinery: New York, NY, USA, 2020. [Google Scholar] [CrossRef]
- Dagdeviren, O.; Erciyes, K. Graph Matching-Based Distributed Clustering and Backbone Formation Algorithms for Sensor Networks. Comput. J. 2010, 53, 1553–1575. [Google Scholar] [CrossRef]
- Bokal, D.; Brešar, B.; Jerebic, J. A generalization of Hungarian method and Hall’s theorem with applications in wireless sensor networks. Discret. Appl. Math. 2012, 160, 460–470. [Google Scholar] [CrossRef]
- Ersin, I.; Ileri, C.U.; Dagdeviren, O. Synchronous Distributed Greedy Weighted Graph Matching Algorithms For Wireless Sensor Networks. In Proceedings of the 2019 4th International Conference on Computer Science and Engineering (UBMK), Samsun, Turkey, 11–15 September 2019; pp. 607–611. [Google Scholar] [CrossRef]
- Chuzhoy, J.; Naor, J. Covering Problems with Hard Capacities. SIAM J. Comput. 2006, 36, 498–515. [Google Scholar] [CrossRef]
- Gandhi, R.; Halperin, E.; Khuller, S.; Kortsarz, G.; Srinivasan, A. An Improved Approximation Algorithm for Vertex Cover with Hard Capacities. J. Comput. Syst. Sci. 2003, 72, 164–175. [Google Scholar] [CrossRef]
- Yigit, Y.; Dagdeviren, Z.A.; Dagdeviren, O.; Challenger, M. Performance Evaluation of Capacitated Vertex Cover Algorithms for Security Applications in Wireless Sensor Networks. In Proceedings of the 2021 7th International Conference on Electrical, Electronics and Information Engineering (ICEEIE), Malang, Indonesia, 2 October 2021; pp. 619–624. [Google Scholar] [CrossRef]
- Kiniwa, J. Approximation of Self-stabilizing Vertex Cover Less than 2. In Self-Stabilizing Systems; Tixeuil, S., Herman, T., Eds.; Springer: Berlin/Heidelberg, Germany, 2005; pp. 171–182. [Google Scholar]
- Turau, V.; Hauck, B. A fault-containing self-stabilizing (3-2/Δ+1)-approximation algorithm for vertex cover in anonymous networks. Theor. Comput. Sci. 2011, 412, 4361–4371. [Google Scholar] [CrossRef]
- Angluin, D. Local and global properties in networks of processors (Extended Abstract). In Proceedings of the Twelfth Annual ACM Symposium on Theory of Computing—STOC’80, Los Angeles, CA, USA, 28–30 April 1980; pp. 82–93. [Google Scholar] [CrossRef]
- Shukla, S.K.; Rosenkrantz, D.J.; Ravi, S.S. Observations on Self-Stabilizing Graph Algorithms 1 Introduction. 1995. Volume 1. pp. 1–15. Available online: http://citeseerx.ist.psu.edu/viewdoc/download?doi=10.1.1.47.1027&rep=rep1&type=pdf (accessed on 20 March 2022).
- Goddard, W.; Hedetniemi, S.T.; Jacobs, D.P.; Srimani, P.K. Self-stabilizing protocols for maximal matching and maximal independent sets for ad hoc networks. In Proceedings of the Parallel and Distributed Processing Symposium, Nice, France, 22–26 April 2003; p. 14. [Google Scholar]
- Turau, V. Linear self-stabilizing algorithms fotr the independent and dominating set problems using an unfair distributed scheduler. Inf. Process. Lett. 2007, 103, 88–93. [Google Scholar] [CrossRef]
- Arapoglu, O.; Akram, V.K.; Dagdeviren, O. An energy-efficient, self-stabilizing and distributed algorithm for maximal independent set construction in wireless sensor networks. Comput. Stand. Interfaces 2019, 62, 32–42. [Google Scholar] [CrossRef]
- Yigit, Y.; Ileri, C.U.; Dagdeviren, O. Fault tolerance performance of self-stabilizing independent set algorithms on a covering-based problem: The case of link monitoring in WSNs. In Proceedings of the 2018 5th International Conference on Electrical and Electronic Engineering (ICEEE), Istanbul, Turkey, 3–5 May 2018; pp. 423–427. [Google Scholar] [CrossRef]
- Turau, V. Efficient transformation of distance-2 self-stabilizing algorithms. J. Parallel Distrib. Comput. 2012, 72, 603–612. [Google Scholar] [CrossRef]
- Ileri, C.U.; Dagdeviren, O. Evaluating Fault Tolerance Properties of Self-Stabilizing Matching Algorithms in Wireless Sensor Networks. In Proceedings of the 2018 IEEE International Black Sea Conference on Communications and Networking (BlackSeaCom), Batumi, Georgia, 4–7 June 2018; pp. 1–5. [Google Scholar] [CrossRef]
- Dagdeviren, O.; Akram, V.K.; Tavli, B. Design and Evaluation of Algorithms for Energy Efficient and Complete Determination of Critical Nodes for Wireless Sensor Network Reliability. IEEE Trans. Reliab. 2019, 68, 280–290. [Google Scholar] [CrossRef]
- Memsic. IRIS Sensor Node Module. 2011, pp. 1–2. Available online: https://www.instrumentation.it/gallery/5646/2010_11_24_11_58_37_iris_datasheet_id_NEW.pdf (accessed on 20 March 2022).
















| SS-CVC | SS-CVC | KINIWA | TURAU | TURAU | |
|---|---|---|---|---|---|
| 50 | 1.55 | 1.71 | 2.17 | 2.50 | 2.88 |
| 100 | 1.53 | 1.65 | 2.16 | 2.48 | 2.90 |
| 150 | 1.56 | 1.69 | 2.19 | 2.56 | 2.92 |
| 200 | 1.56 | 1.71 | 2.18 | 2.54 | 2.92 |
| SS-CVC | SS-CVC | KINIWA | TURAU | TURAU | |
|---|---|---|---|---|---|
| 50 | 1.62 | 2.03 | 2.61 | 2.77 | 3.06 |
| 100 | 1.61 | 1.98 | 2.56 | 2.75 | 3.03 |
| 150 | 1.61 | 1.93 | 2.54 | 2.70 | 2.99 |
| 200 | 1.62 | 1.96 | 2.55 | 2.74 | 3.03 |
| SS-CVC | SS-CVC | KINIWA | TURAU | TURAU | |
|---|---|---|---|---|---|
| 50 | 1.67 | 2.23 | 2.78 | 2.99 | 3.18 |
| 100 | 1.66 | 2.18 | 2.74 | 2.84 | 3.07 |
| 150 | 1.63 | 2.16 | 2.68 | 2.83 | 3.03 |
| 200 | 1.62 | 2.11 | 2.67 | 2.78 | 3.01 |
Publisher’s Note: MDPI stays neutral with regard to jurisdictional claims in published maps and institutional affiliations. |
© 2022 by the authors. Licensee MDPI, Basel, Switzerland. This article is an open access article distributed under the terms and conditions of the Creative Commons Attribution (CC BY) license (https://creativecommons.org/licenses/by/4.0/).
Share and Cite
Yigit, Y.; Dagdeviren, O.; Challenger, M. Self-Stabilizing Capacitated Vertex Cover Algorithms for Internet-of-Things-Enabled Wireless Sensor Networks. Sensors 2022, 22, 3774. https://doi.org/10.3390/s22103774
Yigit Y, Dagdeviren O, Challenger M. Self-Stabilizing Capacitated Vertex Cover Algorithms for Internet-of-Things-Enabled Wireless Sensor Networks. Sensors. 2022; 22(10):3774. https://doi.org/10.3390/s22103774
Chicago/Turabian StyleYigit, Yasin, Orhan Dagdeviren, and Moharram Challenger. 2022. "Self-Stabilizing Capacitated Vertex Cover Algorithms for Internet-of-Things-Enabled Wireless Sensor Networks" Sensors 22, no. 10: 3774. https://doi.org/10.3390/s22103774
APA StyleYigit, Y., Dagdeviren, O., & Challenger, M. (2022). Self-Stabilizing Capacitated Vertex Cover Algorithms for Internet-of-Things-Enabled Wireless Sensor Networks. Sensors, 22(10), 3774. https://doi.org/10.3390/s22103774


