Charge Sharing and Charge Loss in High-Flux Capable Pixelated CdZnTe Detectors
Abstract
1. Introduction
2. Materials and Methods
2.1. The Semiconductor Detectors
2.1.1. HF-CdZnTe
2.1.2. CdTe
2.2. The HEXITEC Detector System
2.3. Experimental Data Collection and Calibration
2.3.1. HF-CdZnTe Calibration and Data
2.3.2. Frame Occupancy Measurements with the HF-CdZnTe Detector
2.3.3. DAQ Operation for the HF-CdZnTe Detector
2.3.4. CdTe Data
2.4. Simulated Data from Monte Carlo Modelling
2.5. Photon Event Types and Event Reconstruction
3. Results
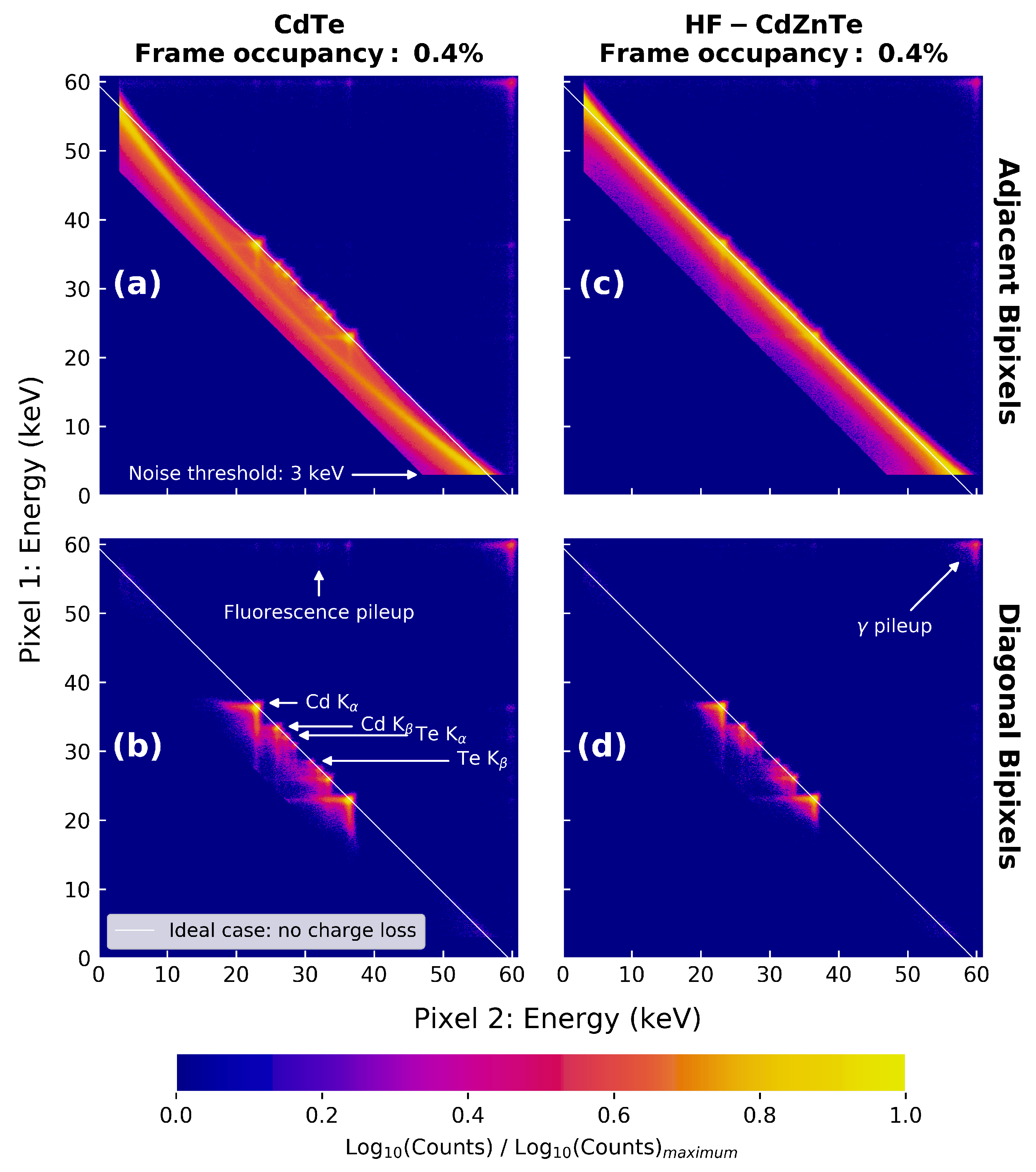
3.1. Diagonal Bipixels
3.1.1. Energy Response
3.1.2. Event Reconstruction Method
3.2. Energy Resolution and Charge Loss of Multi-Pixel Events
3.2.1. Event Type Spectra
3.2.2. Energy Resolution Calculations
3.2.3. Charge Loss Calculations
3.2.4. Depth of Interaction and Charge Loss Correlation
3.3. Charge Sharing Proportions
3.4. True Charge Sharing Proportions
4. Discussion
5. Conclusions
Author Contributions
Funding
Institutional Review Board Statement
Informed Consent Statement
Data Availability Statement
Acknowledgments
Conflicts of Interest
Abbreviations
| STFC | Science and Technology Facilities Council |
| HEXITEC | High Energy X-ray Imaging Technology |
| ASIC | Application Specific Integrated Circuit |
| DAQ | Data acquisitions system |
| XRF | X-ray fluorescence |
| CdTe | Cadmium telluride |
| HF-CdZnTe | High-flux cadmium zinc telluride |
| Cd(Zn)Te | CdTe and CdZnTe |
| ADU | Analogue-to-digital unit |
| FWHM | Full width at half maximum |
| LHS | Left hand side |
References
- Hermon, H.; Schieber, M.; James, R.B.; Lund, J.; Antolak, A.J.; Morse, D.H.; Kolesnikov, N.N.P.; Ivanov, Y.N.; Goorsky, M.S.; Yoon, H.; et al. Homogeneity of CdZnTe detectors. Nucl. Inst. Methods Phys. Res. A 1998, 410, 100–106. [Google Scholar] [CrossRef]
- Chu, T.L.; Chu, S.S.; Ferekides, C.; Britt, J. Films and junctions of cadmium zinc telluride. J. Appl. Phys. 1992, 71, 5635–5640. [Google Scholar] [CrossRef]
- Carvalho, A.; Tagantsev, A.; Öberg, S.; Briddon, P.R.; Setter, N. Intrinsic defects in CdTe and CdZnTe alloys. Phys. B Condens. Matter 2009, 404, 5019–5021. [Google Scholar] [CrossRef]
- Schlesinger, T.E.; Toney, J.E.; Yoon, H.; Lee, E.Y.; Brunett, B.A.; Franks, L.; James, R.B. Cadmium zinc telluride and its use as a nuclear radiation detector material. Mater. Sci. Eng. R Rep. 2001, 32, 103–189. [Google Scholar] [CrossRef]
- Cola, A.; Farella, I.; Mancini, A.M.; Donati, A. Electric Field Properties of CdTe Nuclear Detectors. IEEE Trans. Nucl. Sci. 2007, 54, 868–872. [Google Scholar] [CrossRef]
- Del Sordo, S.; Abbene, L.; Caroli, E.; Mancini, A.M.; Zappettini, A.; Ubertini, P. Progress in the development of CdTe and CdZnTe semiconductor radiation detectors for astrophysical and medical applications. Sensors 2009, 9, 3491–3526. [Google Scholar] [CrossRef]
- Goshen, E.; Beilin, L.; Stern, E. Feasibility study of a novel general purpose CZT-based digital SPECT camera: Initial clinical results. EJNMMI Phys. 2018, 14. [Google Scholar] [CrossRef]
- Herzog, B.A.; Buechel, R.R.; Katz, R.; Brueckner, M.; Husmann, L.; Burger, I.A.; Pazhenkottil, A.P.; Valenta, I.; Gaemperli, O.; Treyer, V.; et al. Nuclear Myocardial Perfusion Imaging with a Cadmium-Zinc-Telluride Detector Technique: Optimized Protocol for Scan Time Reduction. J. Nucl. Med. 2010, 51, 46–51. [Google Scholar] [CrossRef]
- Meuris, A. Semiconductor detector developments for high energy space astronomy. J. Inst. 2014, 9, C05019. [Google Scholar] [CrossRef][Green Version]
- Barrett, H.H.; Eskin, J.D.; Barber, H.B. Charge Transport in Arrays of Semiconductor Gamma-Ray Detectors. Phys. Rev. Lett. 1995, 75, 156–159. [Google Scholar] [CrossRef] [PubMed]
- He, Z. Review of the Shockley-Ramo theorem and its application in semiconductor gamma-ray detectors. Nucl. Inst. Methods Phys. Res. A 2001, 463, 250–267. [Google Scholar] [CrossRef]
- Owens, A.; Peacock, A. Compound semiconductor radiation detectors. Nucl. Inst. Methods Phys. Res. A 2004, 531, 18–37. [Google Scholar] [CrossRef]
- Shockley, W. Currents to Conductors Induced by a Moving Point Charge. J. Appl. Phys. 1938, 9, 635–636. [Google Scholar] [CrossRef]
- Bolotnikov, A.E.; Camarda, G.C.; Wright, G.W.; James, R.B. Factors limiting the performance of CdZnTe detectors. IEEE Trans. Nucl. Sci. 2005, 52, 589–598. [Google Scholar] [CrossRef]
- Veale, M.C.; Bell, S.J.; Duarte, D.D.; Schneider, A.; Seller, P.; Wilson, M.D.; Iniewski, K. Measurements of charge sharing in small pixel CdTe detectors. Nucl. Inst. Methods Phys. Res. A 2014, 767, 218–226. [Google Scholar] [CrossRef]
- Abbene, L.; Gerardi, G.; Principato, F.; Bettelli, M.; Seller, P.; Veale, M.C.; Fox, O.; Sawhney, K.; Zambelli, N.; Benassi, G.; et al. Dual-polarity pulse processing and analysis for charge-loss correction in cadmium–zinc–telluride pixel detectors. J. Synchrotron Radiat. 2018, 25, 1078–1092. [Google Scholar] [CrossRef] [PubMed]
- Bolotnikov, A.E.; Cook, W.R.; Harrison, F.A.; Wong, A.S.; Schindler, S.M.; Eichelberger, A.C. Charge loss between contacts of CdZnTe pixel detectors. Nucl. Inst. Methods Phys. Res. A 1999, 432, 326–331. [Google Scholar] [CrossRef]
- Bolotnikov, A.E.; Chen, C.M.H.; Cook, W.R.; Harrison, F.A.; Kuvvetli, I.; Schindler, S.M. Effects of bulk and surface conductivity on the performance of CdZnTe pixel detectors. IEEE Trans. Nucl. Sci. 2002, 49, 1941–1949. [Google Scholar] [CrossRef]
- Iniewski, K. CZT sensors for Computed Tomography: From crystal growth to image quality. J. Inst. 2016, 11, C12034. [Google Scholar] [CrossRef]
- Owens, A. Compound Semiconductor Radiation Detectors, 1st ed.; Taylor & Francis Group: Noordwijk, The Netherlands, 2012. [Google Scholar] [CrossRef]
- Veale, M.C.; Angelsen, C.; Booker, P.; Coughlan, J.; French, M.J.; Hardie, A.; Hart, M.; Lipp, J.; Nicholls, T.; Schneider, A.; et al. Cadmium zinc telluride pixel detectors for high-intensity x-ray imaging at free electron lasers. J. Phys. D Appl. Phys. 2019, 52. [Google Scholar] [CrossRef]
- Tsigaridas, S.; Ponchut, C. X-ray imaging with high-Z sensors for the ESRF-EBS Upgrade. J. Inst. 2019, 14, C04009. [Google Scholar] [CrossRef]
- Tsigaridas, S.; Ponchut, C.; Zanettini, S.; Zappettini, A. Characterisation of pixelated CdZnTe sensors using MAXIPIX. J. Inst. 2019, 14, C12009. [Google Scholar] [CrossRef]
- Thomas, B.; Veale, M.C.; Wilson, M.D.; Seller, P.; Schneider, A.; Iniewski, K. Characterisation of Redlen high-flux CdZnTe. J. Inst. 2017, 12, C12045. [Google Scholar] [CrossRef]
- Jones, L.; Seller, P.; Wilson, M.D.; Hardie, A. HEXITEC ASIC-a pixellated readout chip for CZT detectors. Nucl. Inst. Methods Phys. Res. A 2009, 604, 34–37. [Google Scholar] [CrossRef]
- Koch-Mehrin, K.A.L.; Lees, J.E.; Bugby, S.L. A spectroscopic Monte-Carlo model to simulate the response of pixelated CdTe based detectors. Nucl. Inst. Methods Phys. Res. A 2020, 976, 164241. [Google Scholar] [CrossRef]
- Iniewski, K.; Chen, H.; Bindley, G.; Kuvvetli, I.; Budtz-Jørgensen, C. Modeling charge-sharing effects in pixellated CZT detectors. IEEE Nucl. Sci. Symp. Conf. Rec. 2007, 6, 4608–4611. [Google Scholar] [CrossRef]
- Veale, M.C.; Booker, P.; Cross, S.; Hart, M.D.; Jowitt, L.; Lipp, J.; Schneider, A.; Seller, P.; Wheater, R.M.; Wilson, M.D.; et al. Characterization of the Uniformity of High-Flux CdZnTe Material. Sensors 2020, 20, 2747. [Google Scholar] [CrossRef] [PubMed]
- Veale, M.C.; Bell, S.J.; Seller, P.; Wilson, M.D.; Kachkanov, V. X-ray micro-beam characterization of a small pixel spectroscopic CdTe detector. J. Inst. 2012, 7, P07017. [Google Scholar] [CrossRef]
- Zambon, P.; Radicci, V. Spectral response characterization of CdTe sensors of different pixel size with IBEX ASIC. Nucl. Inst. Methods Phys. Res. A 2018, 892, 106–113. [Google Scholar] [CrossRef]
- Maier, D.; Blondel, C.; Delisle, C.; Limousin, O.; Martignac, J.; Meuris, A.; Visticot, F.; Daniel, G.; Bausson, P.A.; Gevin, O.; et al. Second generation of portable gamma camera based on Caliste CdTe hybrid technology. Nucl. Inst. Methods Phys. Res. A 2018, 912, 338–342. [Google Scholar] [CrossRef]
- Seller, P.; Bell, S.; Cernik, R.J.; Christodoulou, C.; Egan, C.K.; Gaskin, J.A.; Jacques, S.; Pani, S.; Ramsey, B.D.; Reid, C.; et al. Pixellated Cd(Zn)Te high-energy X-ray instrument. J. Inst. 2011, 6, C12009. [Google Scholar] [CrossRef] [PubMed]
- Veale, M.C.; Seller, P.; Wilson, M.; Liotti, E. HEXITEC: A High-Energy X-ray Spectroscopic Imaging Detector for Synchrotron Applications. Synchrotron Radiat. News 2018, 31, 28–32. [Google Scholar] [CrossRef]
- Scuffham, J.; Veale, M.C.; Wilson, M.D.; Seller, P. Algorithms for spectral calibration of energy-resolving small-pixel detectors. J. Inst. 2013, 8, P10024. [Google Scholar] [CrossRef]
- Cola, A.; Farella, I. The polarization mechanism in CdTe Schottky detectors. Appl. Phys. Lett. 2009, 94, 102113. [Google Scholar] [CrossRef]
- Bugby, S.L.; Koch-Mehrin, K.A.; Veale, M.C.; Wilson, M.D.; Lees, J.E. Energy-loss correction in charge sharing events for improved performance of pixellated compound semiconductors. Nucl. Inst. Methods Phys. Res. A 2019, 940, 142–151. [Google Scholar] [CrossRef]
- Principato, F.; Abbene, L.; Gerardi, G.; Cascio, D. Charge loss correction in CZT pixel detectors at low and high fluxes: Analysis of positive and negative pulses. In Proceedings of the 2018 IEEE Nuclear Science Symposium and Medical Imaging Conference, The 25th International Symposium on Room-Temperature Semiconductor Detectors (RTSD), Sydney, Australia, 10–17 November 2018. [Google Scholar]
- Benoit, M.; Hamel, L.A. Simulation of charge collection processes in semiconductor CdZnTe γ-ray detectors. Nucl. Inst. Methods Phys. Res. A 2009, 606, 508–516. [Google Scholar] [CrossRef]
- Redus, R.H.; Pantazis, J.A.; Pantazis, T.J.; Huber, A.C.; Cross, B.J. Characterization of CdTe Detectors for Quantitative X-ray Spectroscopy. IEEE Trans. Nucl. Sci. 2009, 56, 2524–2532. [Google Scholar] [CrossRef]
- Arino-Estrada, G.; Chmeissani, M.; De Lorenzo, G.; Kolstein, M.; Puigdengoles, C.; García, J.; Cabruja, E. Measurement of mobility and lifetime of electrons and holes in a Schottky CdTe diode. J. Inst. 2014, 9, C12032. [Google Scholar] [CrossRef] [PubMed]
- Berger, M.J.; Hubbell, J.H.; Seltzer, S.; Chang, J.; Coursey, J.S.; Sukumar, R.; Zucker, D.S.; Olsen, K. XCOM: Photon Cross Sections Database; version 1.5; National Institute of Standards and Technology: Gaithersburg, MD, USA. Available online: http://physics.nist.gov/xcom (accessed on 7 May 2021). [CrossRef]
- Franc, J.; Kubat, J.; Grill, R.; Hoschl, P. Influence of Space Charge and Potential Fluctuations on Photoconductivity Spectra of Semiinsulating CdTe. IEEE Trans. Nucl. Sci. 2007, 54, 1416–1420. [Google Scholar] [CrossRef]
- Duarte, D.D.; Lipp, J.D.; Schneider, A.; Seller, P.; Veale, M.C.; Wilson, M.D.; Baker, M.A.; Sellin, P.J. Simulation of active-edge pixelated CdTe radiation detectors. Nucl. Inst. Methods Phys. Res. A 2016, 806, 139–145. [Google Scholar] [CrossRef]
- Kalemci, E.; Matteson, J.L. Investigation of charge sharing among electrode strips for a CdZnTe detector. Nucl. Inst. Methods Phys. Res. A 2002, 478, 527–537. [Google Scholar] [CrossRef]
- Veale, M.C.; Jones, L.L.; Thomas, B.; Seller, P.; Wilson, M.D.; Iniewski, K. Improved spectroscopic performance in compound semiconductor detectors for high rate X-ray and gamma-ray imaging applications: A novel depth of interaction correction technique. Nucl. Inst. Methods Phys. Res. A 2019, 927, 37–45. [Google Scholar] [CrossRef]
- Greiffenberg, D.; Andrä, M.; Barten, R.; Bergamaschi, A.; Brückner, M.; Busca, P.; Chiriotti, S.; Chsherbakov, I.; Dinapoli, R.; Fajardo, P.; et al. Characterization of chromium compensated gaas sensors with the charge-integrating jungfrau readout chip by means of a highly collimated pencil beam. Sensors 2021, 21, 1150. [Google Scholar] [CrossRef] [PubMed]
- Veale, M.C.; Bell, S.J.; Duarte, D.D.; Schneider, A.; Seller, P.; Wilson, M.D.; Kachkanov, V.; Sawhney, K.J.S. Synchrotron characterisation of non-uniformities in a small pixel cadmium zinc telluride imaging detector. Nucl. Inst. Methods Phys. Res. A 2013, 729, 265–272. [Google Scholar] [CrossRef]
- Prekas, G.; Sellin, P.J.; Veeramani, P.; Davies, A.W.; Lohstroh, A.; Zsan, M.E.; Veale, M.C. Investigation of the internal electric field distribution under in situ x-ray irradiation and under low temperature conditions by the means of the Pockels effect. J. Phys. D Appl. Phys. 2010, 43. [Google Scholar] [CrossRef]












| Radioisotope Source | Photopeak Energies (keV) | Frame Occupancy (%) |
|---|---|---|
| Fe | 5.95 ± 0.01 | 0.4 |
| Cd | 22.00 ± 0.10 | 0.2 |
| 24.90 ± 0.01 | ||
| 88.00 ± 0.01 | ||
| Am | 59.54 ± 0.01 | 0.4 |
| Co | 14.40 ± 0.10 | 0.3 |
| 122.10 ± 0.05 | ||
| 136.50 ± 0.10 | ||
| Tc | 18.30 ± 0.10 | 0.1 |
| 140.50 ± 0.10 |
| Source Distance (cm) | Frame Rate (Hz) | Photon Flux (10 ph s mm) | Frame Occupancy (%) |
|---|---|---|---|
| 38 | 1600 | 0.2 | 0.4 |
| 22 | 1600 | 0.6 | 1.3 |
| 18.5 | 1600 | 0.8 | 2.2 |
| 13.5 | 1600 | 1.5 | 4.0 |
| 11 | 1600 | 2.3 | 5.9 |
| 7 | 1600 | 5.5 | 13.2 |
| 6.5 | 1600 | 6.4 | 13.9 |
| 5 | 1600 | 10.7 | 20.1 |
| 3 | 1600 | 27.8 | 31.1 |
| 7 | 560 | 5.5 | 32.8 |
| 7 | 440 | 5.5 | 39.5 |
| 7 | 378 | 5.5 | 44.7 |
| 7 | 312 | 5.5 | 51.1 |
| Isolated () | Bipixel () | Quadpixel () | |
|---|---|---|---|
| (keV) | (keV) | (keV) | |
| CdTe | 0.36 ± 0.03 | - | - |
| HF-CdZnTe | 0.37 ± 0.03 | 0.41 ± 0.12 | 0.64 ± 0.16 |
Publisher’s Note: MDPI stays neutral with regard to jurisdictional claims in published maps and institutional affiliations. |
© 2021 by the authors. Licensee MDPI, Basel, Switzerland. This article is an open access article distributed under the terms and conditions of the Creative Commons Attribution (CC BY) license (https://creativecommons.org/licenses/by/4.0/).
Share and Cite
Koch-Mehrin, K.A.L.; Bugby, S.L.; Lees, J.E.; Veale, M.C.; Wilson, M.D. Charge Sharing and Charge Loss in High-Flux Capable Pixelated CdZnTe Detectors. Sensors 2021, 21, 3260. https://doi.org/10.3390/s21093260
Koch-Mehrin KAL, Bugby SL, Lees JE, Veale MC, Wilson MD. Charge Sharing and Charge Loss in High-Flux Capable Pixelated CdZnTe Detectors. Sensors. 2021; 21(9):3260. https://doi.org/10.3390/s21093260
Chicago/Turabian StyleKoch-Mehrin, Kjell A. L., Sarah L. Bugby, John E. Lees, Matthew C. Veale, and Matthew D. Wilson. 2021. "Charge Sharing and Charge Loss in High-Flux Capable Pixelated CdZnTe Detectors" Sensors 21, no. 9: 3260. https://doi.org/10.3390/s21093260
APA StyleKoch-Mehrin, K. A. L., Bugby, S. L., Lees, J. E., Veale, M. C., & Wilson, M. D. (2021). Charge Sharing and Charge Loss in High-Flux Capable Pixelated CdZnTe Detectors. Sensors, 21(9), 3260. https://doi.org/10.3390/s21093260

