Panoramic Dental Radiography Image Enhancement Using Multiscale Mathematical Morphology
Abstract
1. Introduction
- 1.
- A novel algorithm for contrast, detail and edge enhancement of panoramic dental radiographs based on multi-scale mathematical morphology is proposed.
- 2.
- Objective clinical evaluation of the results, obtained by the algorithms, was performed by specialists.
2. Materials and Methods
2.1. Dataset
2.2. Proposed Algorithm
2.3. Edge Detection or Segmentation Application
3. Results and Discussion
- To quantify the performance of the proposed algorithm in terms of improving panoramic dental radiography. For this purpose, comparisons were made against other state-of-the-art algorithms and evaluation metrics were used to quantify the numerical results obtained by the algorithms.
- Analyze clinically in an objective way how contrast enhancement algorithms affect panoramic radiographs. For this purpose, dentists performed a visual evaluation and objectively assess a sample of the results obtained.
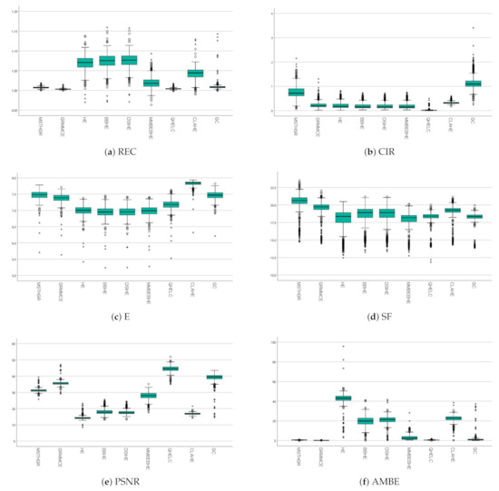
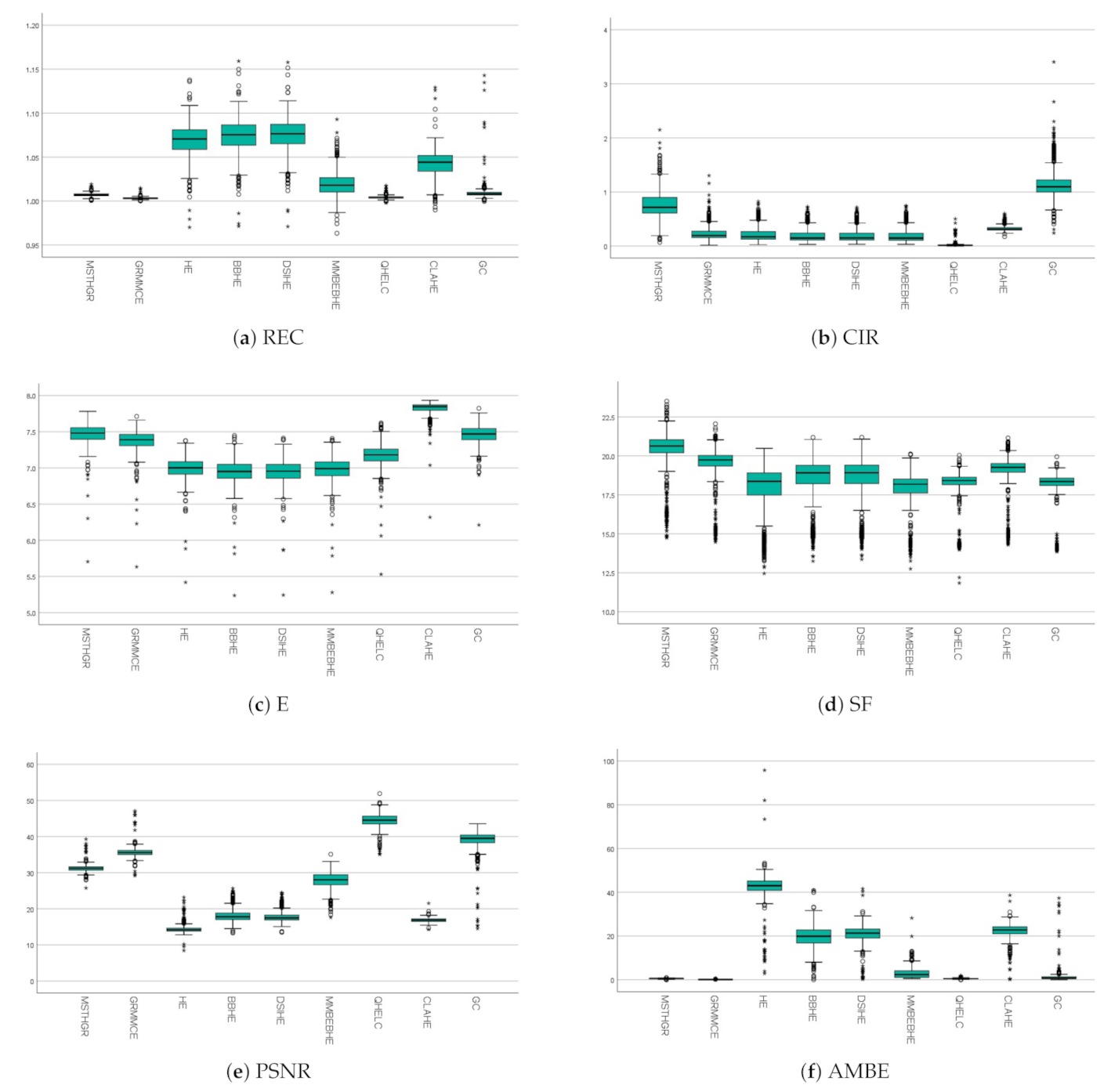
3.1. Assessment Metrics
- Relative Enhancement in Contrast (REC) [35,36] quantifies the contrast of the enhanced panoramic radiography. The greater the REC is, the better contrast the dental image will have. REC is defined as,where I is panoramic dental radiography, is dental imaging with contrast enhancement and C is image contrast. C is defined as,where are the dimensions of the dental image and () are the spatial coordinates.
- Contrast Improvement Ratio (CIR) [37] quantifies the local contrast of the enhanced medical image. The greater the CIR is, the better local contrast the medical image will have. CIR is defined as,where is local contrast of original dental imaging, is local contrast of enhanced dental imaging and D is the domain of values. is defined as,where is center pixel and is the average of the neighboring values in a window of .
- Entropy (E) [11,24,36], in digital image processing, is used to quantify the details or features of the image. The greater is the E, the better is the detail. E is defined as,where k is intensity of the pixel in the image, is probability of occurrence of the k-value in the image, b is number of bits of the image and L is equal to and for grayscale images.
- Spatial Frequency (SF) [38], in digital image processing, is the metric that quantifies the spatial information contained in the image. If has a large value, the enhanced panoramic radiograph is considered to have more spatial information. is defined as follows:where
- Peak signal-to-noise ratio (PSNR) [22,27], in digital image processing, is the metric adopted to quantify the distortion introduced in the image enhancement process. If has a large value, the enhanced panoramic radiograph is considered to have less distortion. is defined as follows:The Mean Squared Error (MSE) is defined as:
- Absolute Mean Brightness Error (AMBE) [22], in digital image processing, is the metric that quantifies the average brightness preservation of enhanced panoramic radiographs. If has a small value, the enhanced panoramic radiograph is considered to have preserved its average brightness. The is defined as follows:where is the average brightness of the panoramic radiographs and is the average brightness of the panoramic radiographs with contrast enhancement.
3.2. Comparator Algorithms
3.3. Numerical and Visual Results
- For the REC metric, MSTHGR was numerically superior to the GRMMCE, QHELC and GC algorithms.
- For the CIR metric, MSTHGR was numerically superior to the GRMMCE, HE, BBHE, DSIHE, MMBEBHE, QHELC and CLAHE algorithms.
- For the E metric, MSTHGR was numerically superior to the GRMMCE, HE, BBHE, DSIHE, MMBEBHE, QHELC and GC algorithms.
- For the SF metric, MSTHGR was numerically superior to all compared algorithms.
- For the PSNR metric, MSTHGR was numerically superior to the HE, BBHE, DSIHE, MMBEBHE and CLAHE algorithms.
- For the AMBE metric, MSTHGR was numerically superior to the HE, BBHE, DSIHE, MMBEBHE, CLAHE and GC algorithms.
3.4. Clinical Validation and Prospects
3.4.1. Statistical Analysis
3.4.2. Descriptive Statistics
3.5. Usefulness for Diagnosis in Clinical Settings
4. Conclusions
Author Contributions
Funding
Institutional Review Board Statement
Informed Consent Statement
Data Availability Statement
Conflicts of Interest
References
- Perschbacher, S. Interpretation of panoramic radiographs. Aust. Dent. J. 2012, 57, 40–45. [Google Scholar] [CrossRef] [PubMed]
- de Oliveira Capote, T.S.; de Almeida Gonçalves, M.; Gonçalves, A.; Gonçalves, M. Panoramic Radiography—Diagnosis of Relevant Structures That Might Compromise Oral and General Health of the Patient. In Emerging Trends in Oral Health Sciences and Dentistry; InTech: London, UK, 2015. [Google Scholar] [CrossRef]
- Resnik, R.R.; Misch, C.E. Radiographic Imaging in Implant Dentistry. In Dental Implant Prosthetics; Elsevier: Amsterdam, The Netherlands, 2015; pp. 126–158. [Google Scholar] [CrossRef]
- Nomir, O.; Abdel-Mottaleb, M. Dental X-Ray Radiographs Enhancement by Combining Morphological Operator and Retinex Theory. In Advances in Computer Science and Engineering; ACTA Press: Calgary, AB, Canada, 2010. [Google Scholar] [CrossRef]
- Jain, K.R.; Chauhan, N.C. Enhancement and Segmentation of Dental Radiographs Using Morphological Operations. In Dental Image Analysis for Disease Diagnosis; Springer International Publishing: Berlin/Heidelberg, Germany, 2019; pp. 39–58. [Google Scholar] [CrossRef]
- Singh, P.; Sehgal, P. Numbering and Classification of Panoramic Dental Images Using 6-Layer Convolutional Neural Network. Pattern Recognit. Image Anal. 2020, 30, 125–133. [Google Scholar] [CrossRef]
- Zuiderveld, K. Contrast Limited Adaptive Histogram Equalization. In Graphic Gems IV; Elsevier: Amsterdam, The Netherlands, 1994; pp. 474–485. [Google Scholar] [CrossRef]
- Kim, Y.T. Contrast enhancement using brightness preserving bi-histogram equalization. IEEE Trans. Consum. Electron. 1997, 43, 1–8. [Google Scholar] [CrossRef]
- Wang, Y.; Chen, Q.; Zhang, B. Image enhancement based on equal area dualistic sub-image histogram equalization method. IEEE Trans. Consum. Electron. 1999, 45, 68–75. [Google Scholar] [CrossRef]
- Chen, S.D.; Ramli, A. Minimum mean brightness error bi-histogram equalization in contrast enhancement. IEEE Trans. Consum. Electron. 2003, 49, 1310–1319. [Google Scholar] [CrossRef]
- Khan, M.F.; Khan, E.; Abbasi, Z. Segment dependent dynamic multi-histogram equalization for image contrast enhancement. Digit. Signal Process. 2014, 25, 198–223. [Google Scholar] [CrossRef]
- Rahmi-Fajrin, H.; Puspita, S.; Riyadi, S.; Sofiani, E. Dental radiography image enhancement for treatment evaluation through digital image processing. J. Clin. Exp. Dent. 2018. [Google Scholar] [CrossRef]
- Pineda, I.A.B.; Caballero, R.D.M.; Silva, J.J.C.; Román, J.C.M.; Noguera, J.L.V. Quadri-histogram equalization using cutoff limits based on the size of each histogram with preservation of average brightness. Signal Image Video Process. 2019, 13, 843–851. [Google Scholar] [CrossRef]
- Vijayalakshmi, D.; Nath, M.K.; Acharya, O.P. A Comprehensive Survey on Image Contrast Enhancement Techniques in Spatial Domain. Sens. Imaging 2020, 21. [Google Scholar] [CrossRef]
- Vijayalakshmi, D.; Nath, M.K. A Compendious Analysis of Advances in HE Methods for Contrast Enhancement. In Lecture Notes in Electrical Engineering; Springer: Singapore, 2020; pp. 325–346. [Google Scholar] [CrossRef]
- Ahmad, S.A.; Taib, M.N.; Khalid, N.E.A.; Taib, H. An Analysis of Image Enhancement Techniques for Dental X-ray Image Interpretation. Int. J. Mach. Learn. Comput. 2012, 292–297. [Google Scholar] [CrossRef]
- Soille, P. Opening and Closing. In Morphological Image Analysis; Springer: Berlin/Heidelberg, Germany, 2004; pp. 105–137. [Google Scholar] [CrossRef]
- Gonzalez, R.; Woods, R. Digital Image Processing, 2nd ed.; Prentice Hall: Hoboken, NJ, USA, 2002; Volume 793. [Google Scholar]
- Hassanpour, H.; Samadiani, N.; Salehi, S.M. Using morphological transforms to enhance the contrast of medical images. Egypt. J. Radiol. Nucl. Med. 2015, 46, 481–489. [Google Scholar] [CrossRef]
- Mukhopadhyay, S.; Chanda, B. A multiscale morphological approach to local contrast enhancement. Signal Process. 2000, 80, 685–696. [Google Scholar] [CrossRef]
- Bai, X.; Zhou, F.; Xue, B. Image enhancement using multi scale image features extracted by top-hat transform. Opt. Laser Technol. 2012, 44, 328–336. [Google Scholar] [CrossRef]
- Román, J.C.M.; Noguera, J.L.V.; Legal-Ayala, H.; Pinto-Roa, D.; Gomez-Guerrero, S.; García-Torres, M. Entropy and Contrast Enhancement of Infrared Thermal Images Using the Multiscale Top-Hat Transform. Entropy 2019, 21, 244. [Google Scholar] [CrossRef]
- Bai, X. Image enhancement through contrast enlargement using the image regions extracted by multiscale top-hat by reconstruction. Optik 2013, 124, 4421–4424. [Google Scholar] [CrossRef]
- Wang, G.; Wang, J.; Li, M.; Zheng, Y.; Wang, K. Hand Vein Image Enhancement Based on Multi-Scale Top-Hat Transform. Cybern. Inf. Technol. 2016, 16, 125–134. [Google Scholar] [CrossRef]
- Pillai, A.; Rajkumar, S.; Marimuthu, K.; Rajasekaran, G. Adaptive new top-hat transform and multi-scale sequential toggle operator based infrared image enhancement. In Proceedings of the 2017 Innovations in Power and Advanced Computing Technologies (i-PACT), Vellore, India, 21–22 April 2017. [Google Scholar] [CrossRef]
- Arya, A.; Bhateja, V.; Nigam, M.; Bhadauria, A.S. Enhancement of Brain MR-T1/T2 Images Using Mathematical Morphology. In Information and Communication Technology for Sustainable Development; Springer: Singapore, 2019; pp. 833–840. [Google Scholar] [CrossRef]
- Román, J.C.M.; Escobar, R.; Martínez, F.; Noguera, J.L.V.; Legal-Ayala, H.; Pinto-Roa, D.P. Medical Image Enhancement with Brightness and Detail Preserving Using Multiscale Top-hat Transform by Reconstruction. Electron. Notes Theor. Comput. Sci. 2020, 349, 69–80. [Google Scholar] [CrossRef]
- Liao, M.; qian Zhao, Y.; hong Wang, X.; shan Dai, P. Retinal vessel enhancement based on multi-scale top-hat transformation and histogram fitting stretching. Opt. Laser Technol. 2014, 58, 56–62. [Google Scholar] [CrossRef]
- Georgieva, V.M.; Mihaylova, A.D.; Petrov, P.P. An application of dental X-ray image enhancement. In Proceedings of the 2017 13th International Conference on Advanced Technologies, Systems and Services in Telecommunications (TELSIKS), Nis, Serbia, 18–20 October 2017. [Google Scholar] [CrossRef]
- Li, D.; Zhang, L.; Sun, C.; Yin, T.; Liu, C.; Yang, J. Robust Retinal Image Enhancement via Dual-Tree Complex Wavelet Transform and Morphology-Based Method. IEEE Access 2019, 7, 47303–47316. [Google Scholar] [CrossRef]
- Soille, P. Erosion and Dilation. In Morphological Image Analysis; Springer: Berlin/Heidelberg, Germany, 2004; pp. 63–103. [Google Scholar] [CrossRef]
- Soille, P. Geodesic Transformations. In Morphological Image Analysis; Springer: Berlin/Heidelberg, Germany, 2004; pp. 183–218. [Google Scholar] [CrossRef]
- Jochems, T. Morphologie Mathématique Appliquée au Contrôle Industriel de Pièces Coulées. Ph.D. Thesis, ENMP, Paris, France, 1994. [Google Scholar]
- Sahoo, P.; Soltani, S.; Wong, A. A survey of thresholding techniques. Comput. Vis. Graph. Image Process. 1988, 41, 233–260. [Google Scholar] [CrossRef]
- Joseph, J.; Periyasamy, R. A fully customized enhancement scheme for controlling brightness error and contrast in magnetic resonance images. Biomed. Signal Process. Control 2018, 39, 271–283. [Google Scholar] [CrossRef]
- Zhao, C.; Wang, Z.; Li, H.; Wu, X.; Qiao, S.; Sun, J. A new approach for medical image enhancement based on luminance-level modulation and gradient modulation. Biomed. Signal Process. Control 2019, 48, 189–196. [Google Scholar] [CrossRef]
- Wang, Y.P.; Wu, Q.; Castleman, K.; Xiong, Z. Chromosome image enhancement using multiscale differential operators. IEEE Trans. Med. Imaging 2003, 22, 685–693. [Google Scholar] [CrossRef]
- Shapley, R.; Lennie, P. Spatial Frequency Analysis in the Visual System. Annu. Rev. Neurosci. 1985, 8, 547–581. [Google Scholar] [CrossRef]
- Gonzalez, R.C.; Woods, R.E.; Masters, B.R. Digital Image Processing, Third Edition. J. Biomed. Opt. 2009, 14, 029901. [Google Scholar] [CrossRef]
- Schneider, C.A.; Rasband, W.S.; Eliceiri, K.W. NIH Image to ImageJ: 25 years of image analysis. Nat. Methods 2012, 9, 671–675. [Google Scholar] [CrossRef]
- Legland, D.; Arganda-Carreras, I.; Andrey, P. MorphoLibJ: Integrated library and plugins for mathematical morphology with ImageJ. Bioinformatics 2016. [Google Scholar] [CrossRef]
- Bai, X. Morphological feature extraction for detail maintained image enhancement by using two types of alternating filters and threshold constrained strategy. Optik 2015, 126, 5038–5043. [Google Scholar] [CrossRef]
- Wilcoxon, F. Breakthroughs in Statistics. Individ. Comp. Rank. Methods 1992, 196–202. [Google Scholar] [CrossRef]
- Koo, T.K.; Li, M.Y. A Guideline of Selecting and Reporting Intraclass Correlation Coefficients for Reliability Research. J. Chiropr. Med. 2016, 15, 155–163. [Google Scholar] [CrossRef]










| Algorithms | REC | CIR | E | SF | PSNR | AMBE |
|---|---|---|---|---|---|---|
| I | - | - | 7.209 | 17.681 | - | - |
| MSTHGR | 1.007 | 0.773 | 7.462 | 20.019 | 31.242 | 0.548 |
| GRMMCE | 1.003 | 0.245 | 7.369 | 19.051 | 35.700 | 0.103 |
| HE | 1.069 | 0.220 | 6.989 | 17.802 | 14.437 | 42.027 |
| BBHE | 1.074 | 0.197 | 6.943 | 18.314 | 18.147 | 19.601 |
| DSIHE | 1.075 | 0.197 | 6.942 | 18.327 | 17.801 | 20.741 |
| MMBEBHE | 1.019 | 0.194 | 6.975 | 17.588 | 27.787 | 3.081 |
| QHELC | 1.004 | 0.029 | 7.169 | 17.745 | 44.536 | 0.529 |
| CLAHE | 1.042 | 0.335 | 7.820 | 18.590 | 16.857 | 22.288 |
| GC | 1.010 | 1.151 | 7.458 | 17.705 | 38.690 | 1.508 |
| Algorithms | Metrics | ||||||
|---|---|---|---|---|---|---|---|
| REC | CIR | E | SF | PSNR | AMBE | ||
| MSTHGR—GRMMCE | Negative ranks | 0 | 0 | 4 | 0 | 598 | 4 |
| Positive ranks | 598 | 598 | 594 | 598 | 0 | 594 | |
| Z | −21.187 | −21.187 | −21.184 | −24.413 | −24.413 | −24.086 | |
| Sig. asymptotic (bilateral) | ≈0 | ≈0 | ≈0 | ≈0 | ≈0 | ≈0 | |
| MSTHGR—HE | Negative ranks | 595 | 20 | 0 | 0 | 0 | 598 |
| Positive ranks | 3 | 578 | 598 | 598 | 598 | 0 | |
| Z | −21.171 | −20.85 | −21.187 | −24.413 | −24.413 | −24.413 | |
| Sig. asymptotic (bilateral) | ≈0 | ≈0 | ≈0 | ≈0 | ≈0 | ≈0 | |
| MSTHGR—BBHE | Negative ranks | 595 | 20 | 0 | 1 | 0 | 597 |
| Positive ranks | 3 | 578 | 598 | 597 | 598 | 1 | |
| Z | −21.171 | −20.924 | −21.187 | −24.331 | −24.413 | −24.331 | |
| Sig. asymptotic (bilateral) | ≈0 | ≈0 | ≈0 | ≈0 | ≈0 | ≈0 | |
| MSTHGR—DSIHE | Negative ranks | 595 | 20 | 0 | 1 | 0 | 598 |
| Positive ranks | 3 | 578 | 598 | 597 | 598 | 0 | |
| Z | −21.178 | −20.935 | −21.187 | −24.331 | −24.413 | −24.413 | |
| Sig. asymptotic (bilateral) | ≈0 | ≈0 | ≈0 | ≈0 | ≈0 | ≈0 | |
| MSTHGR—MMBEBHE | Negative ranks | 499 | 21 | 0 | 0 | 32 | 595 |
| Positive ranks | 99 | 577 | 598 | 598 | 566 | 3 | |
| Z | −17.355 | −20.922 | −21.187 | −24.413 | −21.796 | −24.168 | |
| Sig. asymptotic (bilateral) | ≈0 | ≈0 | ≈0 | ≈0 | ≈0 | ≈0 | |
| MSTHGR—QHELC | Negative ranks | 35 | 11 | 0 | 0 | 598 | 268 |
| Positive ranks | 563 | 587 | 598 | 598 | 0 | 330 | |
| Z | −19.734 | −21.159 | −21.187 | −24.413 | −24.413 | −2.494 | |
| Sig. asymptotic (bilateral) | ≈0 | ≈0 | ≈0 | ≈0 | ≈0 | 0.013 | |
| MSTHGR—CLAHE | Negative ranks | 589 | 26 | 598 | 0 | 0 | 596 |
| Positive ranks | 9 | 572 | 0 | 598 | 598 | 2 | |
| Z | −23.677 | −22.287 | −24.413 | −24.413 | −24.413 | −24.250 | |
| Sig. asymptotic (bilateral) | ≈0 | ≈0 | ≈0 | ≈0 | ≈0 | ≈0 | |
| MSTHGR—GC | Negative ranks | 416 | 566 | 167 | 4 | 580 | 408 |
| Positive ranks | 182 | 32 | 431 | 594 | 18 | 190 | |
| Z | −9.528 | −21.796 | −10.755 | −24.086 | −22.941 | −8.874 | |
| Sig. asymptotic (bilateral) | ≈0 | ≈0 | ≈0 | ≈0 | ≈0 | ≈0 | |
| Algorithm | Sample | Average | Standard Deviation | Minimum | Median | Maximum | ||
|---|---|---|---|---|---|---|---|---|
| BBHE | 20 | 3.60 | 1.789 | 1 | 2 | 3.5 | 4.50 | 7 |
| DSIHE | 20 | 3.85 | 1.843 | 1 | 2 | 4.0 | 6.00 | 7 |
| HE | 20 | 4.25 | 1.713 | 1 | 3 | 4.0 | 6.00 | 7 |
| MMBEBHE | 20 | 3.00 | 2.200 | 1 | 1 | 2.0 | 4.25 | 7 |
| MSTHGR | 20 | 10.00 | 2.077 | 6 | 9 | 10.0 | 12.00 | 14 |
| GRMMCE | 20 | 6.80 | 0.616 | 5 | 7 | 7.0 | 7.00 | 7 |
| QHELC | 20 | 6.90 | 0.308 | 6 | 7 | 7.0 | 7.00 | 7 |
| CLAHE | 20 | 7.00 | 0.000 | 7 | 7 | 7.0 | 7.00 | 7 |
| GC | 20 | 7.55 | 0.826 | 6 | 7 | 8.0 | 8.00 | 9 |
Publisher’s Note: MDPI stays neutral with regard to jurisdictional claims in published maps and institutional affiliations. |
© 2021 by the authors. Licensee MDPI, Basel, Switzerland. This article is an open access article distributed under the terms and conditions of the Creative Commons Attribution (CC BY) license (https://creativecommons.org/licenses/by/4.0/).
Share and Cite
Román, J.C.M.; Fretes, V.R.; Adorno, C.G.; Silva, R.G.; Noguera, J.L.V.; Legal-Ayala, H.; Mello-Román, J.D.; Torres, R.D.E.; Facon, J. Panoramic Dental Radiography Image Enhancement Using Multiscale Mathematical Morphology. Sensors 2021, 21, 3110. https://doi.org/10.3390/s21093110
Román JCM, Fretes VR, Adorno CG, Silva RG, Noguera JLV, Legal-Ayala H, Mello-Román JD, Torres RDE, Facon J. Panoramic Dental Radiography Image Enhancement Using Multiscale Mathematical Morphology. Sensors. 2021; 21(9):3110. https://doi.org/10.3390/s21093110
Chicago/Turabian StyleRomán, Julio César Mello, Vicente R. Fretes, Carlos G. Adorno, Ricardo Gariba Silva, José Luis Vázquez Noguera, Horacio Legal-Ayala, Jorge Daniel Mello-Román, Ricardo Daniel Escobar Torres, and Jacques Facon. 2021. "Panoramic Dental Radiography Image Enhancement Using Multiscale Mathematical Morphology" Sensors 21, no. 9: 3110. https://doi.org/10.3390/s21093110
APA StyleRomán, J. C. M., Fretes, V. R., Adorno, C. G., Silva, R. G., Noguera, J. L. V., Legal-Ayala, H., Mello-Román, J. D., Torres, R. D. E., & Facon, J. (2021). Panoramic Dental Radiography Image Enhancement Using Multiscale Mathematical Morphology. Sensors, 21(9), 3110. https://doi.org/10.3390/s21093110

